• 文献检索
  • 文档翻译
  • 深度研究
  • 学术资讯
  • Suppr Zotero 插件Zotero 插件
  • 邀请有礼
  • 套餐&价格
  • 历史记录
应用&插件
Suppr Zotero 插件Zotero 插件浏览器插件Mac 客户端Windows 客户端微信小程序
定价
高级版会员购买积分包购买API积分包
服务
文献检索文档翻译深度研究API 文档MCP 服务
关于我们
关于 Suppr公司介绍联系我们用户协议隐私条款
关注我们

Suppr 超能文献

核心技术专利:CN118964589B侵权必究
粤ICP备2023148730 号-1Suppr @ 2026

文献检索

告别复杂PubMed语法,用中文像聊天一样搜索,搜遍4000万医学文献。AI智能推荐,让科研检索更轻松。

立即免费搜索

文件翻译

保留排版,准确专业,支持PDF/Word/PPT等文件格式,支持 12+语言互译。

免费翻译文档

深度研究

AI帮你快速写综述,25分钟生成高质量综述,智能提取关键信息,辅助科研写作。

立即免费体验

类风湿关节炎患者膝关节疼痛与功能的手法治疗(等长收缩后放松和关节松动术):一项随机临床试点研究

Manual Therapy (Postisometric Relaxation and Joint Mobilization) in Knee Pain and Function Experienced by Patients with Rheumatoid Arthritis: A Randomized Clinical Pilot Study.

作者信息

Romanowski Mateusz Wojciech, Špiritović Maja, Romanowski Wojciech, Straburzyńska-Lupa Anna

机构信息

Department of Physiotherapy, Poznan University of Medical Sciences, Poznań, Poland.

Rheumatological Centre, Śrem, Poland.

出版信息

Evid Based Complement Alternat Med. 2020 Aug 19;2020:1452579. doi: 10.1155/2020/1452579. eCollection 2020.

DOI:10.1155/2020/1452579
PMID:32922504
原文链接:https://pmc.ncbi.nlm.nih.gov/articles/PMC7453239/
Abstract

OBJECTIVES

The purpose of this study was to evaluate the impact of manual therapy on the management of rheumatoid arthritis (RA) patients with knee pain.

MATERIALS AND METHODS

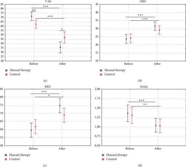
This was a small, randomized clinical pilot study. Subjects were 46 patients with diagnosed RA, randomly assigned to the manual therapy group (postisometric relaxation and joint mobilization) or control group (standard exercise). Subjects in each group had 10 sessions of interventions, once a day with one day break after the sixth day. Outcomes included the pain intensity of knee, Knee Society Score, Oxford Knee Score, and Health Assessment Questionnaire.

RESULTS

There were no statistically significant differences between groups, except for the pain intensity of the knee.

CONCLUSIONS

This study suggests that manual therapy (postisometric relaxation and joint mobilization) may have clinical benefits for treating knee pain and function in rheumatoid patients. Further extended studies are expected to determine the effectiveness of manual therapy in RA patients with knee pain.

摘要

目的

本研究旨在评估手法治疗对类风湿关节炎(RA)膝关节疼痛患者治疗的影响。

材料与方法

这是一项小型随机临床试验研究。受试者为46例确诊为RA的患者,随机分为手法治疗组(等长收缩后放松和关节松动术)或对照组(标准运动)。每组受试者接受10次干预,每天1次,第6天后休息1天。观察指标包括膝关节疼痛强度、膝关节协会评分、牛津膝关节评分和健康评估问卷。

结果

除膝关节疼痛强度外,两组之间无统计学显著差异。

结论

本研究表明,手法治疗(等长收缩后放松和关节松动术)可能对类风湿患者膝关节疼痛和功能的治疗具有临床益处。期望进一步的扩展性研究来确定手法治疗对RA膝关节疼痛患者的有效性。

https://cdn.ncbi.nlm.nih.gov/pmc/blobs/3e16/7453239/05acf0968588/ECAM2020-1452579.002.jpg
https://cdn.ncbi.nlm.nih.gov/pmc/blobs/3e16/7453239/84c57cc66bd9/ECAM2020-1452579.001.jpg
https://cdn.ncbi.nlm.nih.gov/pmc/blobs/3e16/7453239/05acf0968588/ECAM2020-1452579.002.jpg
https://cdn.ncbi.nlm.nih.gov/pmc/blobs/3e16/7453239/84c57cc66bd9/ECAM2020-1452579.001.jpg
https://cdn.ncbi.nlm.nih.gov/pmc/blobs/3e16/7453239/05acf0968588/ECAM2020-1452579.002.jpg

相似文献

1
Manual Therapy (Postisometric Relaxation and Joint Mobilization) in Knee Pain and Function Experienced by Patients with Rheumatoid Arthritis: A Randomized Clinical Pilot Study.类风湿关节炎患者膝关节疼痛与功能的手法治疗(等长收缩后放松和关节松动术):一项随机临床试点研究
Evid Based Complement Alternat Med. 2020 Aug 19;2020:1452579. doi: 10.1155/2020/1452579. eCollection 2020.
2
Arthroscopic lavage and debridement for osteoarthritis of the knee: an evidence-based analysis.膝关节骨关节炎的关节镜灌洗与清创术:一项循证分析
Ont Health Technol Assess Ser. 2005;5(12):1-37. Epub 2005 Sep 1.
3
Effectiveness of Inclusion of Dry Needling in a Multimodal Therapy Program for Patellofemoral Pain: A Randomized Parallel-Group Trial.多模式疗法方案中纳入干针疗法治疗髌股疼痛综合征的疗效:一项随机平行组试验。
J Orthop Sports Phys Ther. 2017 Jun;47(6):392-401. doi: 10.2519/jospt.2017.7389. Epub 2017 May 13.
4
A comparison of two manual physical therapy approaches and electrotherapy modalities for patients with knee osteoarthritis: A randomized three arm clinical trial.两种手法物理治疗方法与电疗法治疗膝骨关节炎患者的比较:一项随机三臂临床试验。
Physiother Theory Pract. 2018 Aug;34(8):600-612. doi: 10.1080/09593985.2018.1423591. Epub 2018 Jan 8.
5
The Combination of Exercise and Manual Therapy Versus Exercise Alone in Total Knee Arthroplasty Rehabilitation: A Randomized Controlled Clinical Trial.运动联合手法治疗与单纯运动在全膝关节置换康复中的比较:一项随机对照临床试验。
PM R. 2021 Oct;13(10):1069-1078. doi: 10.1002/pmrj.12542. Epub 2021 Feb 3.
6
Effectiveness of local exercise therapy versus spinal manual therapy in patients with patellofemoral pain syndrome: medium term follow-up results of a randomized controlled trial.局部运动疗法与脊柱手法治疗对髌股疼痛综合征患者的疗效:一项随机对照试验的中期随访结果。
BMC Musculoskelet Disord. 2021 May 15;22(1):446. doi: 10.1186/s12891-021-04310-9.
7
The effectiveness of a manual therapy and exercise protocol in patients with thumb carpometacarpal osteoarthritis: a randomized controlled trial.手法治疗和运动方案治疗拇指腕掌关节炎患者的疗效:一项随机对照试验。
J Orthop Sports Phys Ther. 2013 Apr;43(4):204-13. doi: 10.2519/jospt.2013.4524. Epub 2013 Mar 13.
8
Joint Mobilization of the Hands of Patients With Rheumatoid Arthritis: Results From an Assessor-Blinded, Randomized Crossover Trial.类风湿关节炎患者手部关节松动术:一项评估者盲法随机交叉试验的结果
J Manipulative Physiol Ther. 2019 Jan;42(1):34-46. doi: 10.1016/j.jmpt.2018.04.007. Epub 2019 Mar 14.
9
The effect of nerve mobilization exercise in patients with rheumatoid arthritis: a pilot study.神经松动训练对类风湿关节炎患者的影响:一项初步研究。
Reumatismo. 2017 Sep 21;69(3):111-118. doi: 10.4081/reumatismo.2017.918.
10
The clinical effects of mobilization with passive ankle dorsiflexion using a passive ankle dorsiflexion apparatus on older patients with knee osteoarthritis: A randomized trial.使用被动踝关节背屈仪进行被动踝关节背屈运动对老年膝骨关节炎患者的临床效果:一项随机试验。
J Back Musculoskelet Rehabil. 2021;34(6):1007-1014. doi: 10.3233/BMR-191799.

引用本文的文献

1
Physical activity of older patients with rheumatoid arthritis.老年类风湿关节炎患者的身体活动
Rheumatol Int. 2025 Jun 25;45(7):157. doi: 10.1007/s00296-025-05901-8.
2
Effectiveness of myofascial therapy on hemophilic arthropathy: A systematic review and meta-analysis of clinical trials.肌筋膜疗法对血友病性关节病的疗效:一项临床试验的系统评价和荟萃分析
Heliyon. 2022 Dec 22;8(12):e12552. doi: 10.1016/j.heliyon.2022.e12552. eCollection 2022 Dec.
3
Non-pharmacological treatment in difficult-to-treat rheumatoid arthritis.难治性类风湿关节炎的非药物治疗

本文引用的文献

1
The efficacy of muscle energy techniques in symptomatic and asymptomatic subjects: a systematic review.肌肉能量技术在有症状和无症状受试者中的疗效:一项系统综述。
Chiropr Man Therap. 2019 Aug 27;27:35. doi: 10.1186/s12998-019-0258-7. eCollection 2019.
2
Joint Mobilization of the Hands of Patients With Rheumatoid Arthritis: Results From an Assessor-Blinded, Randomized Crossover Trial.类风湿关节炎患者手部关节松动术:一项评估者盲法随机交叉试验的结果
J Manipulative Physiol Ther. 2019 Jan;42(1):34-46. doi: 10.1016/j.jmpt.2018.04.007. Epub 2019 Mar 14.
3
Effect of Manual Therapy on Pain Sensation and Hand Dexterity and Grip Strength in a Patient with RA. Didactic Case Study.
Front Med (Lausanne). 2022 Aug 29;9:991677. doi: 10.3389/fmed.2022.991677. eCollection 2022.
手法治疗对类风湿关节炎患者疼痛感觉、手部灵活性及握力的影响。教学病例研究。
Ortop Traumatol Rehabil. 2018 Apr 30;20(2):157-162. doi: 10.5604/01.3001.0012.0433.
4
Comparison of Deep Tissue Massage and Therapeutic Massage for Lower Back Pain, Disease Activity, and Functional Capacity of Ankylosing Spondylitis Patients: A Randomized Clinical Pilot Study.深层组织按摩与治疗性按摩对强直性脊柱炎患者下背痛、疾病活动度和功能能力的比较:一项随机临床试验研究
Evid Based Complement Alternat Med. 2017;2017:9894128. doi: 10.1155/2017/9894128. Epub 2017 Aug 6.
5
Joint Mobilization Enhances Mechanisms of Conditioned Pain Modulation in Individuals With Osteoarthritis of the Knee.关节松动术增强膝骨关节炎患者条件性疼痛调制的机制。
J Orthop Sports Phys Ther. 2016 Mar;46(3):168-76. doi: 10.2519/jospt.2016.6259. Epub 2016 Jan 1.
6
Comparison of the Short-Term Outcomes after Postisometric Muscle Relaxation or Kinesio Taping Application for Normalization of the Upper Trapezius Muscle Tone and the Pain Relief: A Preliminary Study.等长收缩后肌肉放松或肌内效贴扎应用对上斜方肌肌张力正常化及疼痛缓解的短期效果比较:一项初步研究。
Evid Based Complement Alternat Med. 2015;2015:721938. doi: 10.1155/2015/721938. Epub 2015 Aug 12.
7
Use of spinal manipulation in a rheumatoid patient presenting with acute thoracic pain: a case report.脊柱推拿术在一名患有急性胸痛的类风湿性关节炎患者中的应用:病例报告。
J Can Chiropr Assoc. 2015 Jun;59(2):143-9.
8
The Role of Power Doppler Ultrasonography as Disease Activity Marker in Rheumatoid Arthritis.能量多普勒超声检查在类风湿关节炎中作为疾病活动标志物的作用
Dis Markers. 2015;2015:325909. doi: 10.1155/2015/325909. Epub 2015 May 3.
9
Effect of isometric quadriceps exercise on muscle strength, pain, and function in patients with knee osteoarthritis: a randomized controlled study.等长股四头肌锻炼对膝骨关节炎患者肌肉力量、疼痛及功能的影响:一项随机对照研究
J Phys Ther Sci. 2014 May;26(5):745-8. doi: 10.1589/jpts.26.745. Epub 2014 May 29.
10
The comparison of the effects of three physiotherapy techniques on hamstring flexibility in children: a prospective, randomized, single-blind study.三种物理治疗技术对儿童腘绳肌柔韧性影响的比较:前瞻性、随机、单盲研究。
PLoS One. 2013 Aug 12;8(8):e72026. doi: 10.1371/journal.pone.0072026. eCollection 2013.