Suppr超能文献

GTF2IRD1 过表达促进胰腺癌的肿瘤进展,并与较少的 CD8+T 细胞浸润相关。

GTF2IRD1 overexpression promotes tumor progression and correlates with less CD8+ T cells infiltration in pancreatic cancer.

机构信息

Department of General Surgery, Guangdong Provincial People's Hospital, Guangdong Academy of Medical Sciences, Guangzhou 510080, China.

出版信息

Biosci Rep. 2020 Sep 30;40(9). doi: 10.1042/BSR20202150.

Abstract

BACKGROUND

General Transcription Factor II-I Repeat Domain-Containing Protein 1 (GTF2IRD1) is a member of the GTF21 gene family, which encodes a set of multifunctional transcription factors. However, the potential function of GTF2IRD1 in pancreatic cancer (PC) still remains unknown. Study on GTF2IRD1 might provide a new insight into the carcinogenesis and therapeutics of PC.

METHODS

In the current study, the clinical significance and potential biological of GTF2IRD1 were evaluated by bioinformatics analysis. The oncogenic role of GTF2IRD1 in PC was also determined using in vitro studies. Possible associations between GTF2IRD1 expression and tumor immunity were analyzed using ESTIMATE algorithm and single-sample Gene Set Enrichment Analysis (ssGSEA).

RESULTS

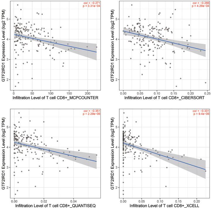
GTF2IRD1 expression was significantly up-regulated in tumor tissues, and positively associated with higher histologic grade, higher American Joint Committee on Cancer (AJCC) stage, and worse prognosis. Function enrichment analysis demonstrated that GTF2IRD1 may be involved in pancreatic adenocarcinoma pathway, TGF-β signaling pathway, and tumor-infiltrating lymphocyte (TIL) related biological functions, such as T-cell receptor signaling pathway, leukocyte transendothelial migration, resistin as a regulator of inflammation, and regulation of leukocyte-mediated cytotoxicity. Knockdown of GTF2IRD1 expression inhibited cancer cell proliferation, colony formation, and invasion in vitro. ESTIMATE algorithm and ssGSEA demonstrated that GTF2IRD1 expression negatively correlated with the infiltration and anti-tumor activity of TILs, especially for CD8+ T cells.

CONCLUSION

The study demonstrates that GTF2IRD1 overexpression promotes tumor progression and correlates with less CD8+ T cells infiltration in PC.

摘要

背景

通用转录因子 II-I 重复结构域包含蛋白 1(GTF2IRD1)是 GTF21 基因家族的成员,该基因家族编码一组多功能转录因子。然而,GTF2IRD1 在胰腺癌(PC)中的潜在功能仍不清楚。对 GTF2IRD1 的研究可能为 PC 的发生机制和治疗提供新的见解。

方法

在本研究中,通过生物信息学分析评估了 GTF2IRD1 的临床意义和潜在生物学功能。还通过体外研究确定了 GTF2IRD1 在 PC 中的致癌作用。使用 ESTIMATE 算法和单样本基因集富集分析(ssGSEA)分析了 GTF2IRD1 表达与肿瘤免疫之间的可能关联。

结果

GTF2IRD1 在肿瘤组织中表达明显上调,与较高的组织学分级、较高的美国癌症联合委员会(AJCC)分期和较差的预后呈正相关。功能富集分析表明,GTF2IRD1 可能参与胰腺腺癌途径、TGF-β 信号通路以及与肿瘤浸润淋巴细胞(TIL)相关的生物学功能,如 T 细胞受体信号通路、白细胞跨内皮迁移、抵抗素作为炎症调节剂和调节白细胞介导的细胞毒性。GTF2IRD1 表达下调抑制了体外癌细胞的增殖、集落形成和侵袭。ESTIMATE 算法和 ssGSEA 表明,GTF2IRD1 表达与 TIL 的浸润和抗肿瘤活性呈负相关,特别是与 CD8+T 细胞呈负相关。

结论

本研究表明 GTF2IRD1 过表达促进肿瘤进展,并与 PC 中 CD8+T 细胞浸润减少相关。

https://cdn.ncbi.nlm.nih.gov/pmc/blobs/c233/7527428/f827f62ec7ee/bsr-40-bsr20202150-g1.jpg

文献检索

告别复杂PubMed语法,用中文像聊天一样搜索,搜遍4000万医学文献。AI智能推荐,让科研检索更轻松。

立即免费搜索

文件翻译

保留排版,准确专业,支持PDF/Word/PPT等文件格式,支持 12+语言互译。

免费翻译文档

深度研究

AI帮你快速写综述,25分钟生成高质量综述,智能提取关键信息,辅助科研写作。

立即免费体验