Kirke Brian
University of South Australia, Adelaide, SA, Australia.
Energy Sustain Dev. 2020 Oct;58:182-195. doi: 10.1016/j.esd.2020.08.003. Epub 2020 Sep 13.
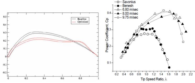
If hydrokinetic turbines are to make a significant contribution to small scale off-grid power supply, they will need to be affordable, reliable and easily deployed at many sites, not just a few with exceptional combinations of depth and high flow velocity. Few if any products currently on the market meet these criteria. This paper addresses the challenge of providing small scale electrical power and pumping from rivers, in particular for villages in high rainfall tropical areas where there is no mains power, not much wind or sunny weather in the wet season, and not enough elevation for conventional micro-hydro. Hydrokinetic power is proposed, and candidate turbines are evaluated, including multiple small axial flow turbines, various forms of horizontal axis Darrieus turbines, water wheels, and belt turbines. The importance of channel blockage in enhancing turbine power output is discussed.
如果水动力涡轮机想要对小规模离网供电做出重大贡献,它们就需要价格实惠、可靠且能够在许多地点轻松部署,而不仅仅是在少数深度和高流速特殊组合的地点。目前市场上几乎没有产品能满足这些标准。本文探讨了从河流中提供小规模电力和抽水的挑战,特别是针对高降雨热带地区没有市电、湿季风力不足或阳光不足且传统微型水电海拔不够的村庄。文中提出了水动力发电,并对候选涡轮机进行了评估,包括多个小型轴流涡轮机、各种形式的水平轴达里厄斯涡轮机、水轮和带式涡轮机。还讨论了通道堵塞对提高涡轮机功率输出的重要性。