Suppr超能文献

使用不同的术前用药对麻醉犬进行预处理时,副交感神经张力活动(PTA)指数评估术中伤害感受的性能。

Performance of the Parasympathetic Tone Activity (PTA) index to assess the intraoperative nociception using different premedication drugs in anaesthetised dogs.

作者信息

Mansour Christelle, El Hachem Nour, Jamous Patrick, Saade Georges, Boselli Emmanuel, Allaouchiche Bernard, Bonnet Jeanne-Marie, Junot Stéphane, Chaaya Rana

机构信息

VetAgro Sup, APCSE unit, Campus Vétérinaire De Lyon, Université De Lyon, Marcy-L'étoile, France.

Lebanese Faculty of Agronomy and Veterinary Medicine, Beirut, Lebanon.

出版信息

Int J Vet Sci Med. 2020 Jul 7;8(1):49-55. doi: 10.1080/23144599.2020.1783090.

Abstract

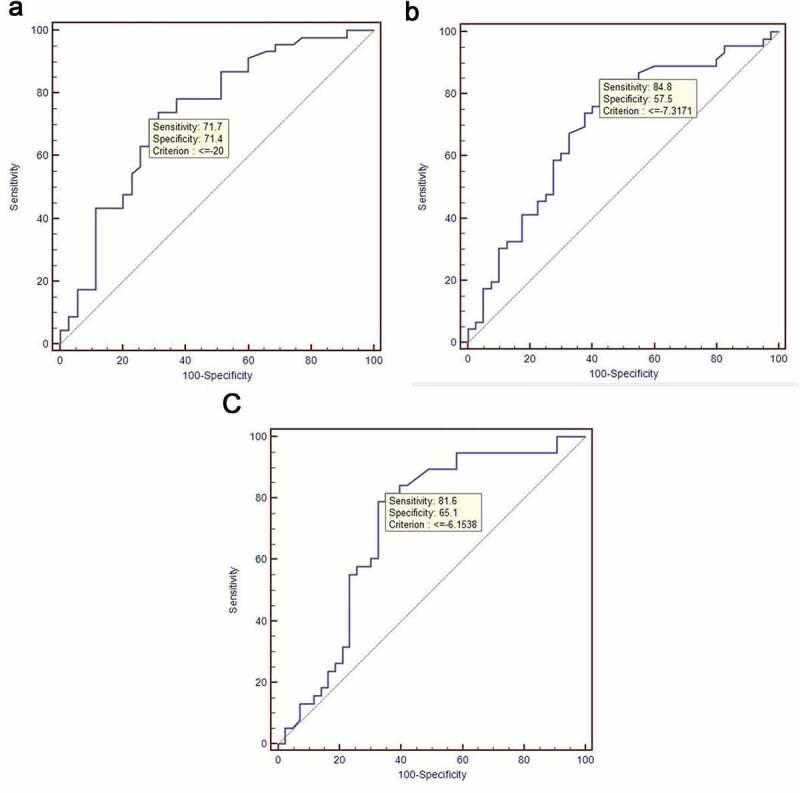
The dynamic variations of the Parasympathetic Tone Activity (PTA) index were evaluated to assess nociception in dogs undergoing anaesthetic protocols with different premedication drugs. Sixty-six dogs, divided into three groups of 22 dogs each, were given different premedication drugs "morphine" (0.2 mg/kg), "morphine + medetomidine (5 μg/kg)", "morphine + acepromazine (0.03 mg/kg)", then similarly induced and maintained under general anaesthesia. The PTA, HR (heart rate) and MAP (mean arterial pressure) were assessed at S (steady-state), Cut (cutaneous incision), PTA (PTA Event, assessed 1 min before a significant PTA decrease), HDR (Haemodynamic reaction, assessed 5 min before an increase of ≥ 20% in HR and/or MAP). For each group, the dynamic variation of PTA (ΔPTA) was calculated and a Receiver Operating Characteristics (ROC) curve was performed to detect if any of the premedication drugs may alter the performance of PTA index to predict intraoperative haemodynamic reactions. In all groups, a haemodynamic reaction was detected after Cut, PTA and HDR and was preceded with a significant decrease of PTA, except for "morphine + medetomidine" group which showed a significant drop of PTA only at PTA and HDR. The ΔPTA showed a fair performance in all groups (a mean [95% CI] AUC of 0.73 [0.62-0.82], 0.70 [0.59-0.79] and 0.71 [0.59-0.80] respectively in morphine, morphine + ACP and morphine + medetomidine). Although ΔPTA was rather altered by the premedication drug, it was able to predict, to a certain extent, haemodynamic reactions in all groups.

摘要

评估副交感神经张力活动(PTA)指数的动态变化,以评估接受不同术前用药的麻醉方案的犬的痛觉感受。66只犬分为三组,每组22只,分别给予不同的术前用药“吗啡”(0.2mg/kg)、“吗啡+美托咪定(5μg/kg)”、“吗啡+乙酰丙嗪(0.03mg/kg)”,然后同样进行全身麻醉诱导和维持。在S(稳态)、Cut(皮肤切口)、PTA(PTA事件,在PTA显著下降前1分钟评估)、HDR(血流动力学反应,在心率和/或平均动脉压增加≥20%前5分钟评估)时评估PTA、HR(心率)和MAP(平均动脉压)。计算每组PTA的动态变化(ΔPTA),并绘制受试者工作特征(ROC)曲线,以检测是否有任何术前用药会改变PTA指数预测术中血流动力学反应的性能。在所有组中,Cut、PTA和HDR后均检测到血流动力学反应,且在反应之前PTA显著下降,但“吗啡+美托咪定”组仅在PTA和HDR时出现PTA显著下降。ΔPTA在所有组中表现良好(吗啡组、吗啡+乙酰丙嗪组和吗啡+美托咪定组的平均[95%CI]AUC分别为0.73[0.62-0.82]、0.70[0.59-0.79]和0.71[0.59-0.80])。尽管术前用药会使ΔPTA发生相当大的改变,但它在一定程度上仍能够预测所有组的血流动力学反应。

https://cdn.ncbi.nlm.nih.gov/pmc/blobs/5969/7476537/aab0a37ff40f/TVSM_A_1783090_F0001_OC.jpg

相似文献

2
Evaluation of the Parasympathetic Tone Activity (PTA) index to assess the analgesia/nociception balance in anaesthetised dogs.
Res Vet Sci. 2017 Dec;115:271-277. doi: 10.1016/j.rvsc.2017.05.009. Epub 2017 May 10.
3
Evaluation of the nociception-antinociception balance using the Parasympathetic Tone Activity index in dogs anaesthetized for castration.
Vet Anaesth Analg. 2022 Nov;49(6):597-607. doi: 10.1016/j.vaa.2022.08.009. Epub 2022 Aug 30.
6
Evaluation of the analgesic effects of diclofenac as a premedication drug in dogs undergoing ovariohysterectomy.
Top Companion Anim Med. 2024 Mar-Apr;59:100861. doi: 10.1016/j.tcam.2024.100861. Epub 2024 Mar 19.
8
Efficacy of the Parasympathetic Tone Activity monitor to assess nociception in healthy dogs anaesthetized with propofol and sevoflurane.
Vet Anaesth Analg. 2020 Jan;47(1):103-110. doi: 10.1016/j.vaa.2019.05.014. Epub 2019 Aug 27.

本文引用的文献

1
Hemodynamic, respiratory and sedative effects of progressively increasing doses of acepromazine in conscious dogs.
Vet Anaesth Analg. 2020 Jul;47(4):447-453. doi: 10.1016/j.vaa.2020.02.007. Epub 2020 Mar 23.
2
Intraoperative nociception-antinociception monitors: A review from the veterinary perspective.
Vet Anaesth Analg. 2020 Mar;47(2):152-159. doi: 10.1016/j.vaa.2019.09.006. Epub 2019 Nov 16.
3
Review of different methods used for clinical recognition and assessment of pain in dogs and cats.
Int J Vet Sci Med. 2019 Nov 18;7(1):43-54. doi: 10.1080/23144599.2019.1680044. eCollection 2019.
4
Current concepts of perioperative monitoring in high-risk surgical patients: a review.
Patient Saf Surg. 2019 Oct 23;13:32. doi: 10.1186/s13037-019-0213-5. eCollection 2019.
5
Efficacy of the Parasympathetic Tone Activity monitor to assess nociception in healthy dogs anaesthetized with propofol and sevoflurane.
Vet Anaesth Analg. 2020 Jan;47(1):103-110. doi: 10.1016/j.vaa.2019.05.014. Epub 2019 Aug 27.
6
Evaluation of the Parasympathetic Tone Activity (PTA) index to assess the analgesia/nociception balance in anaesthetised dogs.
Res Vet Sci. 2017 Dec;115:271-277. doi: 10.1016/j.rvsc.2017.05.009. Epub 2017 May 10.
7
Evaluation of the analgesic properties of acepromazine maleate, oxymorphone, medetomidine and a combination of acepromazine-oxymorphone.
Vet Anaesth Analg. 2000 Jul;27(2):89-96. doi: 10.1046/j.1467-2995.2000.00024.x. Epub 2016 Nov 16.
9
Alpha-2 adrenergic receptor agonists: a review of current clinical applications.
Anesth Prog. 2015 Spring;62(1):31-9. doi: 10.2344/0003-3006-62.1.31.

文献AI研究员

20分钟写一篇综述,助力文献阅读效率提升50倍。

立即体验

用中文搜PubMed

大模型驱动的PubMed中文搜索引擎

马上搜索

文档翻译

学术文献翻译模型,支持多种主流文档格式。

立即体验