Suppr超能文献

早期失聪个体在触觉运动处理过程中,右侧后颞上沟激活增强但方向调谐未增强。

Increased Right Posterior STS Recruitment Without Enhanced Directional-Tuning During Tactile Motion Processing in Early Deaf Individuals.

作者信息

Scurry Alexandra N, Huber Elizabeth, Matera Courtney, Jiang Fang

机构信息

Department of Psychology, University of Nevada, Reno, Reno, NV, United States.

Department of Speech and Hearing Sciences, Institute for Learning & Brain Sciences, University of Washington, Seattle, WA, United States.

出版信息

Front Neurosci. 2020 Aug 25;14:864. doi: 10.3389/fnins.2020.00864. eCollection 2020.

Abstract

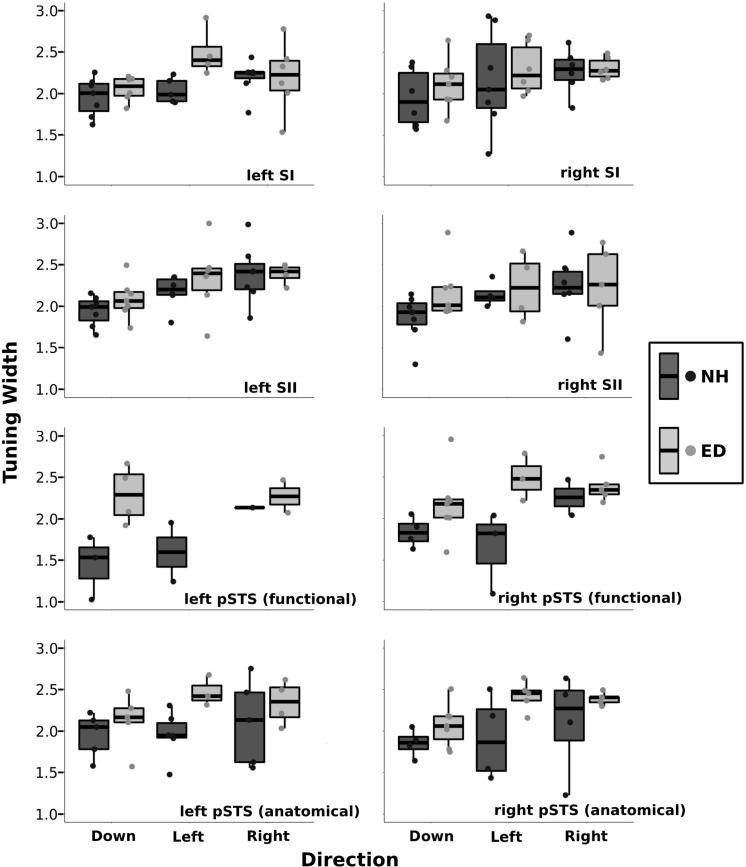
Upon early sensory deprivation, the remaining modalities often exhibit cross-modal reorganization, such as primary auditory cortex (PAC) recruitment for visual motion processing in early deafness (ED). Previous studies of compensatory plasticity in ED individuals have given less attention to tactile motion processing. In the current study, we aimed to examine the effects of early auditory deprivation on tactile motion processing. We simulated four directions of tactile motion on each participant's right index finger and characterized their tactile motion responses and directional-tuning profiles using population receptive field analysis. Similar tactile motion responses were found within primary (SI) and secondary (SII) somatosensory cortices between ED and hearing control groups, whereas ED individuals showed a reduced proportion of voxels with directionally tuned responses in SI contralateral to stimulation. There were also significant but minimal responses to tactile motion within PAC for both groups. While early deaf individuals show significantly larger recruitment of right posterior superior temporal sulcus (pSTS) region upon tactile motion stimulation, there was no evidence of enhanced directional tuning. Greater recruitment of right pSTS region is consistent with prior studies reporting reorganization of multimodal areas due to sensory deprivation. The absence of increased directional tuning within the right pSTS region may suggest a more distributed population of neurons dedicated to processing tactile spatial information as a consequence of early auditory deprivation.

摘要

在早期感觉剥夺的情况下,其余感觉模态通常会出现跨模态重组,例如在早期耳聋(ED)中,初级听觉皮层(PAC)会参与视觉运动处理。先前对ED个体代偿性可塑性的研究较少关注触觉运动处理。在本研究中,我们旨在研究早期听觉剥夺对触觉运动处理的影响。我们在每位参与者的右手食指上模拟了四个方向的触觉运动,并使用群体感受野分析来表征他们的触觉运动反应和方向调谐曲线。在ED组和听力正常的对照组之间,在初级(SI)和次级(SII)体感皮层中发现了相似的触觉运动反应,而ED个体在与刺激对侧的SI中,具有方向调谐反应的体素比例降低。两组在PAC内对触觉运动也有显著但微小的反应。虽然早期耳聋个体在触觉运动刺激时,右侧颞上沟后部(pSTS)区域的激活明显增加,但没有证据表明方向调谐增强。右侧pSTS区域更大程度的激活与先前关于感觉剥夺导致多模态区域重组的研究一致。右侧pSTS区域内方向调谐没有增加,这可能表明由于早期听觉剥夺,有更多分散的神经元群体专门用于处理触觉空间信息。

https://cdn.ncbi.nlm.nih.gov/pmc/blobs/8cf4/7477335/07e92a36bbe6/fnins-14-00864-g001.jpg

文献AI研究员

20分钟写一篇综述,助力文献阅读效率提升50倍。

立即体验

用中文搜PubMed

大模型驱动的PubMed中文搜索引擎

马上搜索

文档翻译

学术文献翻译模型,支持多种主流文档格式。

立即体验