Suppr超能文献

评估预测慢性肝衰竭急性发作患者死亡率的预后评分:一项回顾性研究。

Assessing the prognostic scores for the prediction of the mortality of patients with acute-on-chronic liver failure: a retrospective study.

作者信息

Zhang Yue, Nie Yuan, Liu Linxiang, Zhu Xuan

机构信息

Department of Gastroenterology, The First Affiliated Hospital of Nanchang University, Nanchang, Jiangxi, China.

出版信息

PeerJ. 2020 Sep 15;8:e9857. doi: 10.7717/peerj.9857. eCollection 2020.

Abstract

BACKGROUND

Acute-on-chronic liver failure (ACLF), which is characterized by rapid deterioration of liver function and multiorgan failure, has high mortality. This study was designed to identify prognostic scores to predict short-term and long-term outcome in patients with ACLF to facilitate early treatment and thereby improve patient survival.

MATERIALS AND METHODS

We retrospectively analyzed 102 ACLF patients who were hospitalized in the gastroenterology department. The EASL-CLIF criteria were used to define the ACLF. The demographic characteristics and biochemical examination results of the patients were acquired, and seven scores (CTP score, MELD score, MELD-Na, CLIF ACLF score, CLIF-C OF score, and CLIF SOFA score) were calculated 24 h after admission. All patients were observed until loss to follow-up, death, or specific follow-up times (28 days, 3 months, and 6 months), which were calculated after the initial hospital admission. The receiver operating characteristic (ROC) curve was employed to estimate the power of six scores to forecast ACLF patients' outcome.

RESULTS

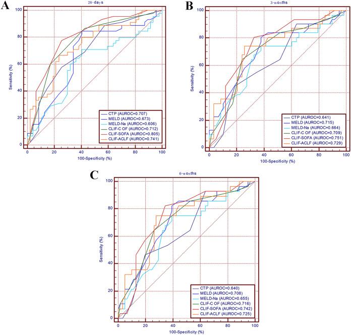
All scores were distinctly higher in nonsurviving patients than in surviving patients and had predictive value for outcome in patients with ACLF at all time points ( < 0.050). The areas under the ROC curve (AUROCs) of the CLIF-SOFA score were higher than those of other scores at all time points. The comparison of the AUROC of the CLIF-SOFA score with other scores was statistically significant at 28 days ( < 0.050), which was the only time point at which it was greater than 0.800.

CONCLUSION

Patients with ACLF have high mortality. These six scores are effective tools for assessing the prognosis of ACLF patients. The CLIF-SOFA score is especially effective for evaluating 28-day mortality.

摘要

背景

慢加急性肝衰竭(ACLF)以肝功能迅速恶化和多器官功能衰竭为特征,死亡率很高。本研究旨在确定预测ACLF患者短期和长期预后的预后评分,以促进早期治疗,从而提高患者生存率。

材料与方法

我们回顾性分析了102例在消化内科住院的ACLF患者。采用欧洲肝脏研究学会慢加急性肝衰竭(EASL-CLIF)标准来定义ACLF。收集患者的人口统计学特征和生化检查结果,并在入院24小时后计算七个评分(CTP评分、MELD评分、MELD-Na、CLIF ACLF评分、CLIF-C OF评分和CLIF SOFA评分)。观察所有患者直至失访、死亡或特定随访时间(入院后计算的28天、3个月和6个月)。采用受试者工作特征(ROC)曲线来评估六个评分预测ACLF患者预后的能力。

结果

所有评分在未存活患者中均明显高于存活患者,并且在所有时间点对ACLF患者的预后均具有预测价值(<0.050)。CLIF-SOFA评分在所有时间点的ROC曲线下面积(AUROC)均高于其他评分。CLIF-SOFA评分与其他评分的AUROC比较在28天时具有统计学意义(<0.050),这是其大于0.800的唯一时间点。

结论

ACLF患者死亡率很高。这六个评分是评估ACLF患者预后的有效工具。CLIF-SOFA评分在评估28天死亡率方面尤其有效。

https://cdn.ncbi.nlm.nih.gov/pmc/blobs/0267/7500347/93896972b023/peerj-08-9857-g001.jpg

文献检索

告别复杂PubMed语法,用中文像聊天一样搜索,搜遍4000万医学文献。AI智能推荐,让科研检索更轻松。

立即免费搜索

文件翻译

保留排版,准确专业,支持PDF/Word/PPT等文件格式,支持 12+语言互译。

免费翻译文档

深度研究

AI帮你快速写综述,25分钟生成高质量综述,智能提取关键信息,辅助科研写作。

立即免费体验