Suppr超能文献

Oncological Outcomes of Non-Urothelial Bladder Cancers in a Specialized Cancer Hospital of a Developing Country.

作者信息

Adnan Siddique, Khalil Muhammad Arshad Irshad, Fiaz Shaukat, Abu Bakar Muhammad, Ali Azfar, Ahmad Cheema Zubair, Mir Khurram

机构信息

Surgical Oncology, Shaukat Khanum Memorial Cancer Hospital and Research Centre, Lahore, PAK.

Urology, Institute of Kidney Diseases, Peshawar, PAK.

出版信息

Cureus. 2020 Aug 23;12(8):e9957. doi: 10.7759/cureus.9957.

Abstract

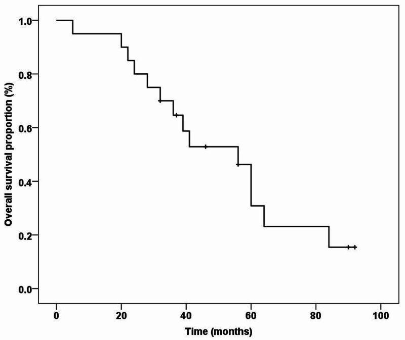
Background Non-urothelial bladder cancers (NUBCs) constitute only 5% of all bladder cancers. Because of the scarcity of data, no standardized treatment can be offered to these patients. Surgical treatment can be offered to patients with localized disease; however, generally, the prognosis is unfavorable. Methodology Patients with histology-proven NUBC presenting to the Department of Uro-oncology, Shaukat Khanum Memorial Cancer Hospital and Research Center, Lahore, Pakistan, from January 2002 to July 2017 were identified and assessed retrospectively. Results A total of 20 patients with a median presenting age of 52 years (range: 34-87 years) were identified. Clinically, T3 was the commonest stage of presentation, i.e., in 11 (55%), whereas 1 (7.1%) patient had metastatic disease. Four types of NUBCs were identified: adenocarcinoma, squamous cell carcinoma, small cell carcinoma, and inflammatory myofibroblastic tumor. Most of the patients with adenocarcinoma were offered surgical treatment in the form of either partial (64.3%) or radical (28.6%) cystectomy. Two patients with small cell carcinoma and two of the three patients with SCC could only be offered palliative chemotherapy. During a median follow-up of 40 months, 14 (70%) patients developed disease progression or recurrence. All these patients succumbed to their disease during a median period of 37.5 months (range: 5-84 months). Furthermore, three- and five-year disease-free survival was 60% and 51%, respectively, and overall survival was 65% and 31%, respectively. Conclusions NUBC is a rare but aggressive disease that presents at an advanced stage in many cases. Treatment protocols are not uniform; therefore, further collaborative research is needed to improve survival outcomes.

摘要
https://cdn.ncbi.nlm.nih.gov/pmc/blobs/12b6/7510515/91451a26cea9/cureus-0012-00000009957-i01.jpg

相似文献

5
Clinical characteristics and outcomes of nonurothelial cell carcinoma of the bladder: Results from the National Cancer Data Base.
Urol Oncol. 2018 Feb;36(2):78.e1-78.e12. doi: 10.1016/j.urolonc.2017.10.013. Epub 2017 Nov 20.
9
Outcomes of Nephron Sparing in a Specialist Cancer Hospital of a Developing Country.
Cureus. 2019 Feb 27;11(2):e4150. doi: 10.7759/cureus.4150.
10
Outcomes of radical cystectomy and bladder preservation treatment for muscle-invasive urothelial carcinoma of the bladder.
Asian J Surg. 2014 Oct;37(4):184-9. doi: 10.1016/j.asjsur.2014.01.010. Epub 2014 Mar 14.

本文引用的文献

1
Biomarkers in Non-Schistosomiasis-related squamous cell carcinoma of the urinary bladder: A review.
Crit Rev Oncol Hematol. 2019 Mar;135:76-84. doi: 10.1016/j.critrevonc.2019.01.008. Epub 2019 Jan 25.
2
Oncologic outcomes in patients with nonurothelial bladder cancer.
Indian J Urol. 2018 Jan-Mar;34(1):39-44. doi: 10.4103/iju.IJU_115_17.
3
Epidemiology of urothelial carcinoma.
Int J Urol. 2017 Oct;24(10):730-734. doi: 10.1111/iju.13376. Epub 2017 May 21.
4
Bladder Cancer Incidence and Mortality: A Global Overview and Recent Trends.
Eur Urol. 2017 Jan;71(1):96-108. doi: 10.1016/j.eururo.2016.06.010. Epub 2016 Jun 28.
5
Bladder cancer.
Lancet. 2016 Dec 3;388(10061):2796-2810. doi: 10.1016/S0140-6736(16)30512-8. Epub 2016 Jun 23.
7
Non urothelial bladder cancers: a case series.
Indian J Surg Oncol. 2013 Mar;4(1):2-8. doi: 10.1007/s13193-012-0176-9. Epub 2012 Aug 9.
8
Small cell carcinoma of the urinary bladder diverticulum: a case report and review of the literature.
J Cancer Res Ther. 2013 Jan-Mar;9(1):151-3. doi: 10.4103/0973-1482.110372.

文献AI研究员

20分钟写一篇综述,助力文献阅读效率提升50倍。

立即体验

用中文搜PubMed

大模型驱动的PubMed中文搜索引擎

马上搜索

文档翻译

学术文献翻译模型,支持多种主流文档格式。

立即体验