Suppr超能文献

人血小板裂解液与5-氮杂胞苷联合诱导人羊水间充质干细胞向心肌样细胞分化

Differentiation of cardiomyocyte-like cells from human amniotic fluid mesenchymal stem cells by combined induction with human platelet lysate and 5-azacytidine.

作者信息

Markmee Runchana, Aungsuchawan Sirinda, Tancharoen Waleephan, Narakornsak Suteera, Pothacharoen Peraphan

机构信息

Department of Anatomy, Faculty of Medicine, Chiang Mai University, Chiang Mai, Thailand.

Department of Biochemistry, Faculty of Medicine, Chiang Mai University, Chiang Mai, Thailand.

出版信息

Heliyon. 2020 Sep 16;6(9):e04844. doi: 10.1016/j.heliyon.2020.e04844. eCollection 2020 Sep.

Abstract

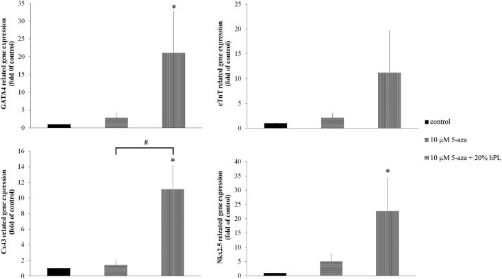
Human amniotic fluid mesenchymal stem cells (hAF-MSCs) have been shown to be effective in the treatment of many diseases. Platelet lysate (PL) contains multiple growth and differentiation factors; therefore, it can be used as a differentiation inducer. In this study, we attempted to evaluate the efficiency of human platelet lysate (hPL) on cell viability and the effects on cardiomyogenic differentiation of hAF-MSCs. When treating the cells with hPL, the result showed an increase in cell viability. Expressions of cardiomyogenic specific genes, including , , and , were higher in the combined treatment groups of 5-azacytidine (5-aza) and hPL than the expressions of cardiomyogenic specific genes in the control group and in the 5-aza treatment group. In terms of the results of immunofluorescence and immunoenzymatic staining, the highest expressions of cardiomyogenic specific proteins were revealed in combined treatment groups. It can be summarized that hPL may be an effective supporting cardiomyogenic supplementary factor for cardiomyogenic differentiation in hAF-MSCs.

摘要

人羊水间充质干细胞(hAF-MSCs)已被证明在多种疾病的治疗中有效。血小板裂解液(PL)含有多种生长和分化因子;因此,它可作为分化诱导剂。在本研究中,我们试图评估人血小板裂解液(hPL)对细胞活力的影响以及对hAF-MSCs向心肌细胞分化的作用。用hPL处理细胞时,结果显示细胞活力增加。与对照组和5-氮杂胞苷(5-aza)处理组相比,5-氮杂胞苷和hPL联合处理组中包括 、 、 和 在内的心肌特异性基因的表达更高。就免疫荧光和免疫酶染色结果而言,联合处理组中显示出心肌特异性蛋白的最高表达。可以总结出,hPL可能是hAF-MSCs向心肌细胞分化过程中一种有效的支持心肌生成的辅助因子。

https://cdn.ncbi.nlm.nih.gov/pmc/blobs/82e0/7502343/8a211632fcb9/gr1.jpg

文献AI研究员

20分钟写一篇综述,助力文献阅读效率提升50倍。

立即体验

用中文搜PubMed

大模型驱动的PubMed中文搜索引擎

马上搜索

文档翻译

学术文献翻译模型,支持多种主流文档格式。

立即体验