• 文献检索
  • 文档翻译
  • 深度研究
  • 学术资讯
  • Suppr Zotero 插件Zotero 插件
  • 邀请有礼
  • 套餐&价格
  • 历史记录
应用&插件
Suppr Zotero 插件Zotero 插件浏览器插件Mac 客户端Windows 客户端微信小程序
定价
高级版会员购买积分包购买API积分包
服务
文献检索文档翻译深度研究API 文档MCP 服务
关于我们
关于 Suppr公司介绍联系我们用户协议隐私条款
关注我们

Suppr 超能文献

核心技术专利:CN118964589B侵权必究
粤ICP备2023148730 号-1Suppr @ 2026

文献检索

告别复杂PubMed语法,用中文像聊天一样搜索,搜遍4000万医学文献。AI智能推荐,让科研检索更轻松。

立即免费搜索

文件翻译

保留排版,准确专业,支持PDF/Word/PPT等文件格式,支持 12+语言互译。

免费翻译文档

深度研究

AI帮你快速写综述,25分钟生成高质量综述,智能提取关键信息,辅助科研写作。

立即免费体验

稀土铈提高钕铁硼磁体的耐腐蚀性。

Rare Earth Cerium Increases the Corrosion Resistance of NdFeB Magnets.

作者信息

Dai Jialei, Yang Zixuan, Liu Qian

机构信息

Key Laboratory of Impact and Safety Engineering, Ministry of Education, Ningbo University, Ningbo 315211, China.

Key Laboratory of the Ministry of Education for Modern Metallurgy Technology, North China University of Science and Technology, Tangshan 063210, China.

出版信息

Materials (Basel). 2020 Sep 30;13(19):4360. doi: 10.3390/ma13194360.

DOI:10.3390/ma13194360
PMID:33008029
原文链接:https://pmc.ncbi.nlm.nih.gov/articles/PMC7579091/
Abstract

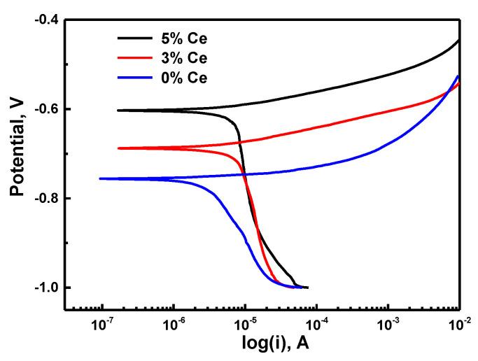
Herein, we investigated the effects of Ce on the corrosion behavior of NdFeB magnets in 3.5% NaCl solutions using electrochemical tests, scanning electron microscopy (SEM), energy dispersive spectroscopy (EDS) mapping, and scanning Kelvin probe force microscopy (SKPFM). We demonstrated that Ce markedly enhances the corrosion resistance of NdFeB magnets. Ce primarily replaces Nd in the Nd-rich phase instead of matrix phase, increasing the surface potential of the Nd-rich phase. An increase in the Ce content from 0 to 5.21 wt%, decreased the potential difference between the main phase and (Nd, Ce)-rich phase from 350.2 mV to 97.7 mV; therefore, the corrosion resistance of the magnetic materials increased. The corrosion resistance constituted the Nd-rich phase < the void < metal matrix. Moreover, based on the results of the study, we discussed the impact mechanism of additions of Ce on the corrosion resistance of the magnets.

摘要

在此,我们使用电化学测试、扫描电子显微镜(SEM)、能量色散光谱(EDS)映射和扫描开尔文探针力显微镜(SKPFM)研究了铈对钕铁硼磁体在3.5%氯化钠溶液中的腐蚀行为的影响。我们证明,铈显著提高了钕铁硼磁体的耐腐蚀性。铈主要取代富钕相中的钕而非基体相,增加了富钕相的表面电位。铈含量从0增加到5.21 wt%,主相和富(钕,铈)相之间的电位差从350.2 mV降至97.7 mV;因此,磁性材料的耐腐蚀性增加。耐腐蚀性由强到弱依次为富钕相<空隙<金属基体。此外,基于研究结果,我们讨论了添加铈对磁体耐腐蚀性的影响机制。

https://cdn.ncbi.nlm.nih.gov/pmc/blobs/4cec/7579091/63e8994d645a/materials-13-04360-g006.jpg
https://cdn.ncbi.nlm.nih.gov/pmc/blobs/4cec/7579091/cb1605fb753c/materials-13-04360-g001.jpg
https://cdn.ncbi.nlm.nih.gov/pmc/blobs/4cec/7579091/a3d7d7c1e6ca/materials-13-04360-g002.jpg
https://cdn.ncbi.nlm.nih.gov/pmc/blobs/4cec/7579091/449758b9918f/materials-13-04360-g003.jpg
https://cdn.ncbi.nlm.nih.gov/pmc/blobs/4cec/7579091/1f561699bb24/materials-13-04360-g004.jpg
https://cdn.ncbi.nlm.nih.gov/pmc/blobs/4cec/7579091/f98c4938d717/materials-13-04360-g005.jpg
https://cdn.ncbi.nlm.nih.gov/pmc/blobs/4cec/7579091/63e8994d645a/materials-13-04360-g006.jpg
https://cdn.ncbi.nlm.nih.gov/pmc/blobs/4cec/7579091/cb1605fb753c/materials-13-04360-g001.jpg
https://cdn.ncbi.nlm.nih.gov/pmc/blobs/4cec/7579091/a3d7d7c1e6ca/materials-13-04360-g002.jpg
https://cdn.ncbi.nlm.nih.gov/pmc/blobs/4cec/7579091/449758b9918f/materials-13-04360-g003.jpg
https://cdn.ncbi.nlm.nih.gov/pmc/blobs/4cec/7579091/1f561699bb24/materials-13-04360-g004.jpg
https://cdn.ncbi.nlm.nih.gov/pmc/blobs/4cec/7579091/f98c4938d717/materials-13-04360-g005.jpg
https://cdn.ncbi.nlm.nih.gov/pmc/blobs/4cec/7579091/63e8994d645a/materials-13-04360-g006.jpg

相似文献

1
Rare Earth Cerium Increases the Corrosion Resistance of NdFeB Magnets.稀土铈提高钕铁硼磁体的耐腐蚀性。
Materials (Basel). 2020 Sep 30;13(19):4360. doi: 10.3390/ma13194360.
2
Mechanism of corrosion inhibition of AA2024 by rare-earth compounds.稀土化合物对AA2024的缓蚀机理。
J Phys Chem B. 2006 Mar 23;110(11):5515-28. doi: 10.1021/jp0560664.
3
Image analysis data for the study of the reactivity of the phases in Nd-Fe-B magnets etched with HCl-saturated Cyphos IL 101.用于研究用HCl饱和的Cyphos IL 101蚀刻的钕铁硼磁体中各相反应性的图像分析数据。
Data Brief. 2020 Aug 20;32:106203. doi: 10.1016/j.dib.2020.106203. eCollection 2020 Oct.
4
Magnetic properties and rare earth element diffusion behavior of hot-deformed nanocrystalline dual-main-phase Nd-Ce-Fe-B magnets.热变形纳米晶双主相钕铈铁硼磁体的磁性能及稀土元素扩散行为
RSC Adv. 2023 Feb 27;13(10):6668-6675. doi: 10.1039/d2ra08291h. eCollection 2023 Feb 21.
5
Scanning Electron Microscope-Cathodoluminescence Analysis of Rare-Earth Elements in Magnets.磁铁中稀土元素的扫描电子显微镜-阴极发光分析
Microsc Microanal. 2016 Feb;22(1):82-6. doi: 10.1017/S1431927615015676. Epub 2016 Jan 7.
6
Recovery of rare earths from spent NdFeB magnets of wind turbine: Leaching and kinetic aspects.从风力涡轮机废 NdFeB 磁铁中回收稀土元素:浸出和动力学方面。
Waste Manag. 2018 May;75:486-498. doi: 10.1016/j.wasman.2018.01.033. Epub 2018 Feb 1.
7
Understanding the Corrosion Behavior of Nickel-Aluminum Bronze Induced by Cavitation Corrosion Using Electrochemical Noise: Selective Phase Corrosion and Uniform Corrosion.利用电化学噪声理解空蚀诱导的镍铝青铜腐蚀行为:选择性相腐蚀和均匀腐蚀
Materials (Basel). 2023 Jan 10;16(2):669. doi: 10.3390/ma16020669.
8
Cerium: an unlikely replacement of dysprosium in high performance Nd-Fe-B permanent magnets.铈:高性能钕铁硼永磁体中镝的替代品。
Adv Mater. 2015 Apr 24;27(16):2663-7. doi: 10.1002/adma.201404892. Epub 2015 Mar 13.
9
Optimization of USSP duration for enhanced corrosion resistance of AA7075.优化 USSP 时间以提高 AA7075 的耐腐蚀性。
Ultrasonics. 2019 Jan;91:180-192. doi: 10.1016/j.ultras.2018.08.011. Epub 2018 Aug 17.
10
Corrosion protection mechanism of Ce/organic inhibitor for AA2024 in 3.5% NaCl.Ce/有机缓蚀剂对AA2024在3.5%氯化钠溶液中的腐蚀防护机制
RSC Adv. 2020 Jan 10;10(4):2227-2240. doi: 10.1039/c9ra09552g. eCollection 2020 Jan 8.

引用本文的文献

1
Experimental Investigation on the Surface Formation Mechanism of NdFeB during Diamond Wire Sawing.金刚石线锯切割钕铁硼表面形成机制的实验研究
Materials (Basel). 2023 Feb 11;16(4):1521. doi: 10.3390/ma16041521.

本文引用的文献

1
A Statistical Study on the Effect of Hydrostatic Pressure on Metastable Pitting Corrosion of X70 Pipeline Steel.静水压力对X70管线钢亚稳态点蚀腐蚀影响的统计研究
Materials (Basel). 2017 Nov 14;10(11):1307. doi: 10.3390/ma10111307.
2
Pitting Initiation and Propagation of X70 Pipeline Steel Exposed to Chloride-Containing Environments.X70 管线钢在含氯环境中的点蚀萌生与扩展
Materials (Basel). 2017 Sep 13;10(9):1076. doi: 10.3390/ma10091076.