Suppr超能文献

瑞利-普列赛特气泡振荡器中的声振动共振

Acoustic vibrational resonance in a Rayleigh-Plesset bubble oscillator.

作者信息

Omoteso K A, Roy-Layinde T O, Laoye J A, Vincent U E, McClintock P V E

机构信息

Department of Physics, Olabisi Onabanjo University, Ago-Iwoye, Ogun State, Nigeria.

Department of Physical Sciences, Redeemer's University, P.M.B. 230, Ede, Nigeria; Department of Physics, Lancaster University, Lancaster LA1 4YB, United Kingdom.

出版信息

Ultrason Sonochem. 2021 Jan;70:105346. doi: 10.1016/j.ultsonch.2020.105346. Epub 2020 Sep 23.

Abstract

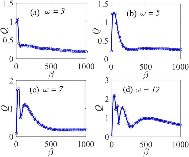
The phenomenon of vibrational resonance (VR) has been investigated in a Rayleigh-Plesset oscillator for a gas bubble oscillating in an incompressible liquid while driven by a dual-frequency force consisting of high-frequency, amplitude-modulated, weak, acoustic waves. The complex equation of the Rayleigh-Plesset bubble oscillator model was expressed as the dynamics of a classical particle in a potential well of the Liénard type, thus allowing us to use both numerical and analytic approaches to investigate the occurrence of VR. We provide clear evidence that an acoustically-driven bubble oscillates in a time-dependent single or double-well potential whose properties are determined by the density of the liquid and its surface tension. We show both theoretically and numerically that, besides the VR effect facilitated by the variation of the parameters on which the high-frequency depends, amplitude modulation, the properties of the liquid in which the gas bubble oscillates contribute significantly to the occurrence of VR. In addition, we discuss the observation of multiple resonances and their origin for the double-well case, as well as their connection to the low frequency, weak, acoustic force field.

摘要

在瑞利-普莱斯特定律振荡器中,研究了振动共振(VR)现象。该振荡器用于描述在不可压缩液体中振荡的气泡,其受由高频、调幅、弱声波组成的双频力驱动。瑞利-普莱斯特定律气泡振荡器模型的复方程被表示为李纳型势阱中经典粒子的动力学,从而使我们能够使用数值和解析方法来研究VR的发生。我们提供了明确的证据表明,受声驱动的气泡在随时间变化的单阱或双阱势中振荡,其特性由液体的密度及其表面张力决定。我们从理论和数值上都表明,除了由高频所依赖的参数变化、调幅促成的VR效应外,气泡振荡所在液体的特性对VR的发生也有显著贡献。此外,我们讨论了双阱情况下多重共振的观测及其起源,以及它们与低频、弱声力场的联系。

https://cdn.ncbi.nlm.nih.gov/pmc/blobs/fa4e/7786605/b1cb4998167c/gr1.jpg

文献AI研究员

20分钟写一篇综述,助力文献阅读效率提升50倍。

立即体验

用中文搜PubMed

大模型驱动的PubMed中文搜索引擎

马上搜索

文档翻译

学术文献翻译模型,支持多种主流文档格式。

立即体验