Suppr超能文献

基于搅拌摩擦点焊工艺的980MPa级双相钢的瞬态微观组织演变及局部性能

Transient Microstructure Evolutions and Local Properties of Dual-Phase 980 MPa Grade Steel Via Friction Stir Spot Processing.

作者信息

Taniguchi Koichi, Lim Yong Chae, Flores-Betancourt Alexis, Feng Zhili

机构信息

Steel Research Laboratory, JFE Steel Corporation, Chiba 260-0835, Japan.

Materials Science and Technology Division, Oak Ridge National Laboratory, Oak Ridge, TN 37831, USA.

出版信息

Materials (Basel). 2020 Oct 2;13(19):4406. doi: 10.3390/ma13194406.

Abstract

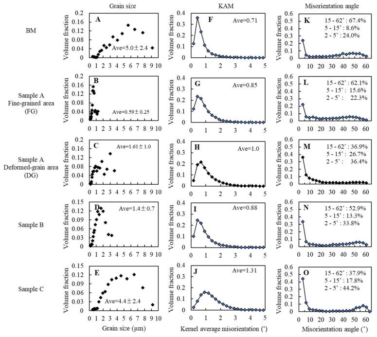
Friction stir processing is a novel solid-state process to modify microstructures and their properties by intense, localized plastic deformation. However, little research has been reported for microstructure evolutions of advanced high-strength steels during the process. The present work focuses on the study of transient microstructure changes and local mechanical properties for friction stir spot processed dual-phase (DP) 980 MPa grade steel (DP980) under different peak temperatures. A pinless silicon nitride ceramic tool was used to produce relatively simple material deformation and flow near the tool. Friction stir spot processed steel samples were characterized by optical and electron microscopies. Furthermore, Vickers microhardness and nano-indentation measurements were used to study local mechanical properties for correlation with microstructures. A swallow layer of refined grains (<0.6 µm) was obtained with a low peak temperature (under 400 °C), whereas higher peak temperatures (>Ac) led to a change in grain size with different microstructures (fine-grained DP or martensite). Electron back-scattered diffraction characterizations revealed a large deformation in the as-received microstructures (mixture of ferrite and tempered martensite) induced by friction stir spot processing, leading to recrystallization and grain refinement around the stirred zone. Also, nano-indentation measurements showed a higher hardness than the hardness of the as-received DP980. Friction stir processing with different process conditions effectively changed microstructures and local mechanical properties.

摘要

搅拌摩擦加工是一种新型的固态加工工艺,通过强烈的局部塑性变形来改变微观结构及其性能。然而,关于先进高强度钢在此过程中的微观结构演变的研究报道较少。目前的工作重点是研究不同峰值温度下搅拌摩擦点焊加工的双相(DP)980MPa级钢(DP980)的瞬态微观结构变化和局部力学性能。使用无销氮化硅陶瓷工具在工具附近产生相对简单的材料变形和流动。通过光学和电子显微镜对搅拌摩擦点焊加工的钢样品进行表征。此外,使用维氏显微硬度和纳米压痕测量来研究局部力学性能与微观结构的相关性。在低峰值温度(低于400°C)下获得了一层细化晶粒(<0.6μm)的吞咽层,而较高的峰值温度(>Ac)导致晶粒尺寸变化并形成不同的微观结构(细晶DP或马氏体)。电子背散射衍射表征揭示了搅拌摩擦点焊加工在原始微观结构(铁素体和回火马氏体的混合物)中引起的大变形,导致搅拌区周围的再结晶和晶粒细化。此外,纳米压痕测量显示硬度高于原始DP980的硬度。不同工艺条件的搅拌摩擦加工有效地改变了微观结构和局部力学性能。

https://cdn.ncbi.nlm.nih.gov/pmc/blobs/5c9b/7578967/b7d2572b6bc7/materials-13-04406-g001.jpg

文献AI研究员

20分钟写一篇综述,助力文献阅读效率提升50倍。

立即体验

用中文搜PubMed

大模型驱动的PubMed中文搜索引擎

马上搜索

文档翻译

学术文献翻译模型,支持多种主流文档格式。

立即体验