Alqahtani Zahrah, Alghamdi Nawal, Robshaw Thomas J, Dawson Robert, Ogden Mark D, Buckely Alastair, Grell Martin
Physics and Astronomy, The University of Sheffield, Hicks Building, Hounsfield Rd, Sheffield S3 7RH, UK.
Department of Physics, University of Taif, Taif-Al-Haweiah 21974, Saudi Arabia.
Micromachines (Basel). 2020 Oct 5;11(10):923. doi: 10.3390/mi11100923.
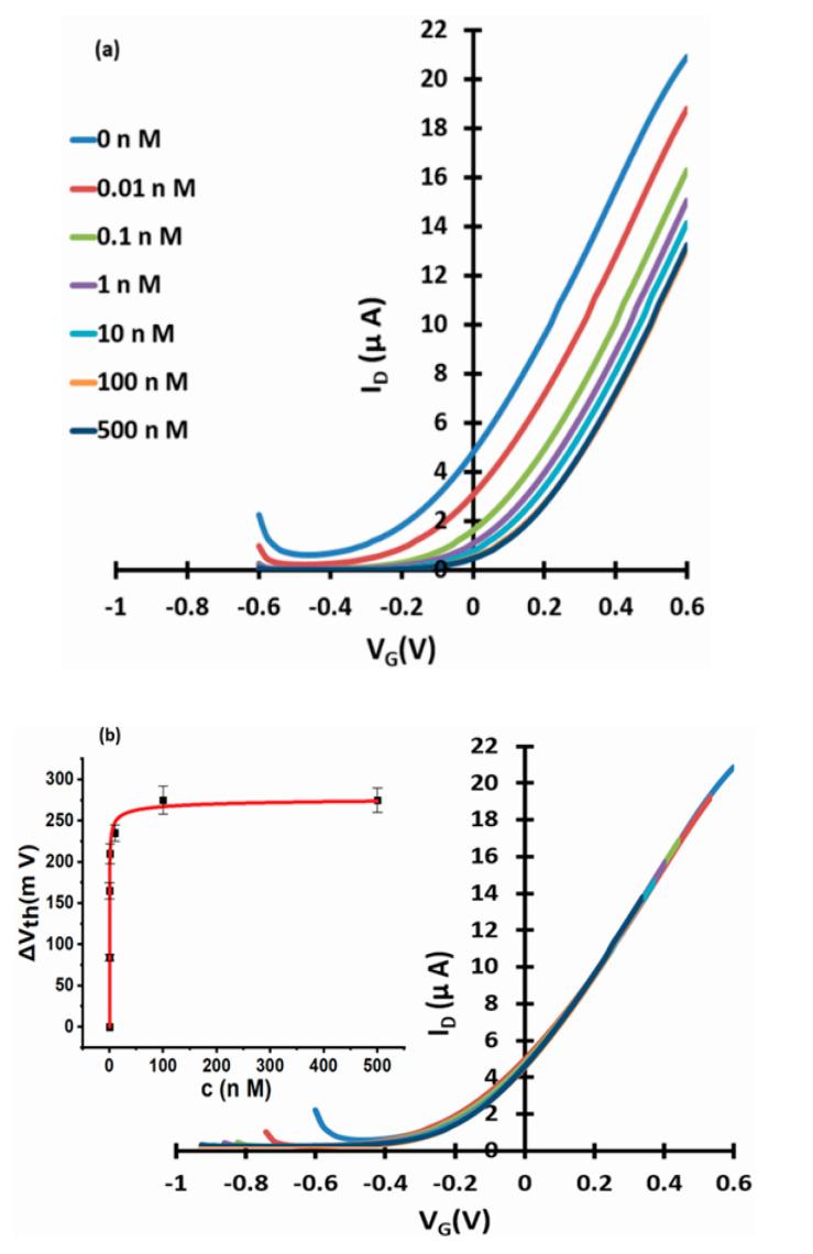
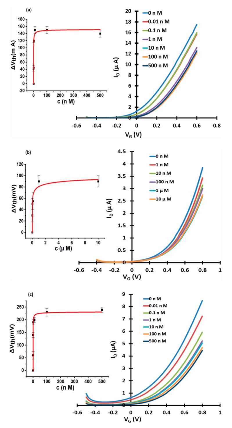
We introduce fluoride-selective anion exchange resin sorbents as sensitisers into membranes for water-gated field effect transistors (WGTFTs). Sorbents were prepared via metal (La or Al)-loading of a commercial macroporous aminophosphonic acid resin, Puromet MTS9501, and were filled into a plasticised poly(vinyl chloride) (PVC) phase transfer membrane. We found a potentiometric response (membrane potential leading to WGTFT threshold shift) to fluoride following a Langmuir-Freundlich (LF) adsorption isotherm with saturated membrane potential up to ~480 mV, extremely low characteristic concentration c = 1/K, and picomolar limit of detection (LoD), even though ion exchange did not build up charge on the resin. La-loading gave a superior response compared to Al-loading. Membrane potential characteristics were distinctly different from charge accumulating sensitisers (e.g., organic macrocycles) but similar to the Cs (cation) selective ion-exchanging zeolite mineral 'mordenite'. We propose a mechanism for the observed threshold shift and investigate interference from co-solutes. Strong interference from carbonate was brought under control by 'diluting' metal loading in the resin. This work sets a template for future studies using an entirely new 'family' of sensitisers in applications where very low limit of detection is essential such as for ions of arsenic, mercury, copper, palladium, and gold.
我们将氟选择性阴离子交换树脂吸附剂作为敏化剂引入水门控场效应晶体管(WGTFT)的膜中。吸附剂通过对商用大孔氨基膦酸树脂Puromet MTS9501进行金属(镧或铝)负载制备而成,并填充到增塑聚氯乙烯(PVC)相转移膜中。我们发现,在遵循朗缪尔 - 弗伦德利希(LF)吸附等温线的情况下,对氟有电位响应(膜电位导致WGTFT阈值偏移),饱和膜电位高达约480 mV,特征浓度c = 1/K极低,检测限(LoD)为皮摩尔,尽管离子交换并未在树脂上积累电荷。与铝负载相比,镧负载给出了更优的响应。膜电位特性与电荷积累敏化剂(如有机大环化合物)明显不同,但与铯(阳离子)选择性离子交换沸石矿物“丝光沸石”相似。我们提出了观察到的阈值偏移的机制,并研究了共溶质的干扰。通过“稀释”树脂中的金属负载,碳酸根的强干扰得到了控制。这项工作为未来的研究设定了一个模板,即在诸如砷、汞、铜、钯和金离子等极低检测限至关重要的应用中,使用全新的“一类”敏化剂。