UCC Coffee Switzerland AG, Bernstrasse 180, 3052, Zollikofen, Switzerland.
Institute of Chemistry and Biological Chemistry, Coffee Excellence Center, Zurich University of Applied Sciences, Einsiedlerstrasse 31, 8820, Wädenswil, Switzerland.
Sci Rep. 2020 Oct 13;10(1):17079. doi: 10.1038/s41598-020-74138-1.
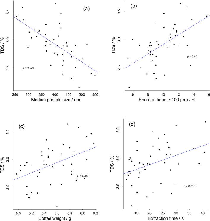
The objective of this paper is to elucidate the variables that govern coffee extraction from single serve coffee capsules. The study was conducted on 43 Nespresso and Nespresso-compatible capsules of the same geometry, from all of which the coffee was extracted on the same machine. This allowed the link between a range of coffee and capsule (input) parameters with coffee brew (output) variables to be studied. It was demonstrated that the most efficient way to increase total dissolved solids in the brew is to use more coffee for extraction, and/or to grind the coffee more finely. However, grinding too finely can lead to excessive flow restriction. The most significant new insight from this study is the importance of the proportion of fines (particles smaller than 100 µm) regarding the capsule extraction dynamics. Capsules with a higher share of fines, for similar median particle size of the ground coffee, led to longer extraction times. General rules applicable for capsule coffee product development were established, although fine-tuning of parameters for successful capsule coffee extraction remains specific to production line and type of coffee.
本文旨在阐明影响单份咖啡胶囊萃取的变量。研究对象为 43 个相同几何形状的奈斯派索(Nespresso)和奈斯派索兼容胶囊,这些胶囊均在同一台机器上萃取咖啡。这使得我们能够研究一系列咖啡和胶囊(输入)参数与咖啡冲泡(输出)变量之间的关系。研究表明,增加冲泡物中总溶解固体的最有效方法是增加萃取用的咖啡量,和/或更精细地研磨咖啡。然而,研磨太细可能会导致过度的流量限制。这项研究的一个重要新发现是细粉(粒径小于 100μm 的颗粒)比例对胶囊萃取动力学的重要性。对于类似研磨咖啡的中值粒径,具有更高细粉比例的胶囊会导致更长的萃取时间。虽然成功萃取胶囊咖啡所需的参数微调仍然特定于生产线和咖啡类型,但已经确定了适用于胶囊咖啡产品开发的一般规则。