• 文献检索
  • 文档翻译
  • 深度研究
  • 学术资讯
  • Suppr Zotero 插件Zotero 插件
  • 邀请有礼
  • 套餐&价格
  • 历史记录
应用&插件
Suppr Zotero 插件Zotero 插件浏览器插件Mac 客户端Windows 客户端微信小程序
定价
高级版会员购买积分包购买API积分包
服务
文献检索文档翻译深度研究API 文档MCP 服务
关于我们
关于 Suppr公司介绍联系我们用户协议隐私条款
关注我们

Suppr 超能文献

核心技术专利:CN118964589B侵权必究
粤ICP备2023148730 号-1Suppr @ 2026

文献检索

告别复杂PubMed语法,用中文像聊天一样搜索,搜遍4000万医学文献。AI智能推荐,让科研检索更轻松。

立即免费搜索

文件翻译

保留排版,准确专业,支持PDF/Word/PPT等文件格式,支持 12+语言互译。

免费翻译文档

深度研究

AI帮你快速写综述,25分钟生成高质量综述,智能提取关键信息,辅助科研写作。

立即免费体验

预先存在的心血管疾病对肺癌患者治疗模式和生存结果的影响。

Impact of pre-existing cardiovascular disease on treatment patterns and survival outcomes in patients with lung cancer.

机构信息

Department of Medical Oncology, Tom Baker Cancer Center, 1331 29 ST NW, Calgary, Alberta, T2N 4N2, Canada.

University of Calgary, Calgary, Alberta, Canada.

出版信息

BMC Cancer. 2020 Oct 15;20(1):1004. doi: 10.1186/s12885-020-07487-9.

DOI:10.1186/s12885-020-07487-9
PMID:33059611
原文链接:https://pmc.ncbi.nlm.nih.gov/articles/PMC7559447/
Abstract

BACKGROUND

Baseline cardiovascular disease (CVD) can impact the patterns of treatment and hence the outcomes of patients with lung cancer. This study aimed to characterize treatment trends and survival outcomes of patients with pre-existing CVD prior to their diagnosis of lung cancer.

METHODS

We conducted a retrospective, population-based cohort study of patients with lung cancer diagnosed from 2004 to 2015 in a large Canadian province. Multivariable logistic regression and Cox regression models were constructed to determine the associations between CVD and treatment patterns, and its impact on overall (OS) and cancer-specific survival (CSS), respectively. A competing risk multistate model was developed to determine the excess mortality risk of patients with pre-existing CVD.

RESULTS

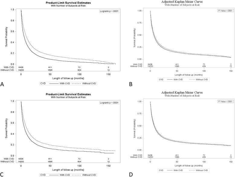
A total of 20,689 patients with lung cancer were eligible for the current analysis. Men comprised 55%, and the median age at diagnosis was 70 years. One-third had at least one CVD, with the most common being congestive heart failure in 15% of patients. Pre-existing CVD was associated with a lower likelihood of receiving chemotherapy (odds ratio [OR], 0.53; 95% confidence interval [CI], 0.48-0.58; P < .0001), radiotherapy (OR, 0.76; 95% CI, 0.7-0.82; P < .0001), and surgery (OR, 0.56; 95% CI, 0.44-0.7; P < .0001). Adjusting for measured confounders, the presence of pre-existing CVD predicted for inferior OS (hazard ratio [HR], 1.1; 95% CI, 1.1-1.2; P < .0001) and CSS (HR, 1.1; 95% CI, 1.1-1.1; P < .0001). However, in the competing risk multistate model that adjusted for baseline characteristics, prior CVD was associated with increased risk of non-cancer related death (HR, 1.48; 95% CI, 1.33-1.64; P < 0.0001) but not cancer related death (HR, 0.98; 95% CI, 0.94-1.03; P = 0.460).

CONCLUSIONS

Patients with lung cancer and pre-existing CVD are less likely to receive any modality of cancer treatment and are at a higher risk of non-cancer related deaths. As effective therapies such as immuno-oncology drugs are introduced, early cardio-oncology consultation may optimize management of lung cancer.

摘要

背景

基线心血管疾病 (CVD) 可影响肺癌患者的治疗模式,进而影响其预后。本研究旨在分析肺癌患者在确诊前患有 CVD 的治疗趋势和生存结局。

方法

我们开展了一项回顾性、基于人群的队列研究,纳入了 2004 年至 2015 年期间在加拿大一个大省确诊的肺癌患者。多变量逻辑回归和 Cox 回归模型用于确定 CVD 与治疗模式之间的关联,并分别评估其对总生存 (OS) 和癌症特异性生存 (CSS) 的影响。采用竞争风险多状态模型确定患有预先存在 CVD 的患者的超额死亡风险。

结果

共纳入 20689 例肺癌患者,其中男性占 55%,中位诊断年龄为 70 岁。三分之一的患者至少患有一种 CVD,最常见的是心力衰竭(占 15%)。预先存在的 CVD 与接受化疗(比值比 [OR],0.53;95%置信区间 [CI],0.48-0.58;P<0.0001)、放疗(OR,0.76;95%CI,0.7-0.82;P<0.0001)和手术(OR,0.56;95%CI,0.44-0.7;P<0.0001)的可能性降低有关。在调整了测量混杂因素后,预先存在的 CVD 预示 OS 较差(风险比 [HR],1.1;95%CI,1.1-1.2;P<0.0001)和 CSS 较差(HR,1.1;95%CI,1.1-1.1;P<0.0001)。然而,在调整基线特征的竞争风险多状态模型中,预先存在的 CVD 与非癌症相关死亡的风险增加相关(HR,1.48;95%CI,1.33-1.64;P<0.0001),但与癌症相关死亡的风险无关(HR,0.98;95%CI,0.94-1.03;P=0.460)。

结论

患有肺癌和预先存在 CVD 的患者接受任何癌症治疗方式的可能性较小,且非癌症相关死亡的风险较高。随着免疫肿瘤学药物等有效疗法的引入,早期心脏肿瘤学咨询可能会优化肺癌的管理。

https://cdn.ncbi.nlm.nih.gov/pmc/blobs/e80f/7559447/bfc9491be4e0/12885_2020_7487_Fig1_HTML.jpg
https://cdn.ncbi.nlm.nih.gov/pmc/blobs/e80f/7559447/bfc9491be4e0/12885_2020_7487_Fig1_HTML.jpg
https://cdn.ncbi.nlm.nih.gov/pmc/blobs/e80f/7559447/bfc9491be4e0/12885_2020_7487_Fig1_HTML.jpg

相似文献

1
Impact of pre-existing cardiovascular disease on treatment patterns and survival outcomes in patients with lung cancer.预先存在的心血管疾病对肺癌患者治疗模式和生存结果的影响。
BMC Cancer. 2020 Oct 15;20(1):1004. doi: 10.1186/s12885-020-07487-9.
2
Impact of Baseline Cardiovascular Comorbidity on Outcomes in Women With Breast Cancer: A Real-world, Population-based Study.基于真实世界人群的研究:基线心血管合并症对女性乳腺癌患者结局的影响。
Clin Breast Cancer. 2019 Apr;19(2):e297-e305. doi: 10.1016/j.clbc.2018.12.005. Epub 2018 Dec 12.
3
Cardiovascular disease-specific mortality in 270,618 patients with non-small cell lung cancer.270618 例非小细胞肺癌患者的心血管疾病特异性死亡率。
Int J Cardiol. 2021 May 1;330:186-193. doi: 10.1016/j.ijcard.2021.02.025. Epub 2021 Feb 10.
4
Risk of cardiovascular disease after radiotherapy in survivors of breast cancer: A case-cohort study.乳腺癌幸存者放疗后心血管疾病风险:病例-队列研究。
J Cardiol. 2019 Apr;73(4):280-291. doi: 10.1016/j.jjcc.2018.10.009. Epub 2018 Dec 23.
5
Treatment patterns and outcomes in patients with non-squamous advanced non-small cell lung cancer receiving second-line treatment in a community-based oncology network.在社区肿瘤网络中接受二线治疗的非鳞状晚期非小细胞肺癌患者的治疗模式和结局。
Lung Cancer. 2013 Dec;82(3):469-76. doi: 10.1016/j.lungcan.2013.09.018.
6
Effect of pre existing respiratory conditions on survival of lung cancer patients: A nationwide population-based cohort study.既往呼吸系统疾病对肺癌患者生存的影响:一项基于全国人群的队列研究。
Asia Pac J Clin Oncol. 2018 Apr;14(2):e71-e80. doi: 10.1111/ajco.12697. Epub 2017 Aug 1.
7
Cardiovascular comorbidities and survival of lung cancer patients: Medicare data based analysis.心血管合并症与肺癌患者的生存率:基于医疗保险数据的分析
Lung Cancer. 2015 Apr;88(1):85-93. doi: 10.1016/j.lungcan.2015.01.006. Epub 2015 Jan 17.
8
The BVAS is an independent predictor of cardiovascular events and cardiovascular disease-related mortality in patients with ANCA-associated vasculitis: A study of 504 cases in a single Chinese center.BVAS 是抗中性粒细胞胞质抗体相关性血管炎患者心血管事件和心血管疾病相关死亡率的独立预测因子:一项单中心 504 例研究。
Semin Arthritis Rheum. 2018 Feb;47(4):524-529. doi: 10.1016/j.semarthrit.2017.07.004. Epub 2017 Aug 31.
9
Cardiovascular disease and survival in non-small cell lung cancer: a multicenter prospective assessment.心血管疾病与非小细胞肺癌患者的生存:一项多中心前瞻性评估。
Clin Transl Oncol. 2019 Sep;21(9):1220-1230. doi: 10.1007/s12094-019-02047-5. Epub 2019 Jan 24.
10
Adiposity, post-diagnosis weight change, and risk of cardiovascular events among early-stage breast cancer survivors.早期乳腺癌幸存者的肥胖、诊断后体重变化与心血管事件风险
Breast Cancer Res Treat. 2017 Apr;162(3):549-557. doi: 10.1007/s10549-017-4133-8. Epub 2017 Feb 7.

引用本文的文献

1
Lung Cancer and Cardiovascular Disease: Common Pathophysiology and Treatment-Emergent Toxicity.肺癌与心血管疾病:共同的病理生理学与治疗——新发毒性
JACC CardioOncol. 2025 Jun;7(4):325-344. doi: 10.1016/j.jaccao.2025.05.003.
2
Insights Into Heart-Tumor Interactions in Heart Failure.心力衰竭中心脏与肿瘤相互作用的见解
Circ Res. 2025 May 23;136(11):1262-1285. doi: 10.1161/CIRCRESAHA.124.325490. Epub 2025 May 22.
3
Associations between cardiometabolic comorbidities and mortality in adults with cancer: multinational cohort study.

本文引用的文献

1
Eligibility of Real-World Patients With Stage II and III Colon Cancer for Adjuvant Chemotherapy Trials.真实世界中 II 期和 III 期结肠癌患者接受辅助化疗试验的资格。
Clin Colorectal Cancer. 2020 Dec;19(4):e226-e234. doi: 10.1016/j.clcc.2020.05.005. Epub 2020 May 26.
2
Prevalence and prognosis significance of cardiovascular disease in cancer patients: a population-based study.癌症患者心血管疾病的患病率及预后意义:一项基于人群的研究。
Aging (Albany NY). 2019 Sep 27;11(18):7948-7960. doi: 10.18632/aging.102301.
3
Is it time to include cancer in cardiovascular risk prediction tools?
癌症成年患者中心血管代谢合并症与死亡率之间的关联:多国队列研究。
BMJ Med. 2025 Mar 21;4(1):e000909. doi: 10.1136/bmjmed-2024-000909. eCollection 2025 Jan.
4
Accelerated Coronary Artery Disease in a Patient With Advanced Lung Cancer: Interplay of Cancer, Inflammation, and Treatment Effects.晚期肺癌患者的加速性冠状动脉疾病:癌症、炎症与治疗效果的相互作用
Cureus. 2025 Jan 21;17(1):e77769. doi: 10.7759/cureus.77769. eCollection 2025 Jan.
5
Changes in global quality of life after treatment with immune checkpoint inhibitors in patients receiving different treatment regimens for advanced stage lung cancer in the Netherlands: a 2015-2021 cohort study.荷兰晚期肺癌患者接受不同治疗方案后使用免疫检查点抑制剂治疗的全球生活质量变化:一项2015 - 2021队列研究
BMJ Open. 2025 Feb 20;15(2):e098062. doi: 10.1136/bmjopen-2024-098062.
6
Cardiovascular Disease Risk Among Older Asian, Native Hawaiian, Pacific Islanders Lung Cancer Survivors.老年亚洲人、夏威夷原住民、太平洋岛民肺癌幸存者的心血管疾病风险
Cancer Med. 2025 Feb;14(4):e70702. doi: 10.1002/cam4.70702.
7
Cardiovascular diseases in patients with cancer: A comprehensive review of epidemiological trends, cardiac complications, and prognostic implications.癌症患者的心血管疾病:流行病学趋势、心脏并发症及预后影响的综合综述
Chin Med J (Engl). 2025 Jan 20;138(2):143-154. doi: 10.1097/CM9.0000000000003419. Epub 2024 Dec 23.
8
Targeted therapy‑associated cardiotoxicity in patients with stage‑IV lung cancer with or without cardiac comorbidities.伴有或不伴有心脏合并症的IV期肺癌患者的靶向治疗相关心脏毒性
Oncol Rep. 2025 Feb;53(2). doi: 10.3892/or.2024.8858. Epub 2024 Dec 20.
9
Characteristics and outcomes of patients with cancer hospitalized with new onset acute heart failure.新发急性心力衰竭住院的癌症患者的特征与结局
ESC Heart Fail. 2025 Feb;12(1):554-563. doi: 10.1002/ehf2.14907. Epub 2024 Oct 16.
10
Risk factors for enhanced recovery after surgery failure in patients undergoing lung cancer resection with concomitant cardiovascular disease: A single-center retrospective study.合并心血管疾病的肺癌切除术患者术后加速康复失败的危险因素:一项单中心回顾性研究。
Asia Pac J Oncol Nurs. 2024 Jun 7;11(8):100532. doi: 10.1016/j.apjon.2024.100532. eCollection 2024 Aug.
是时候将癌症纳入心血管疾病风险预测工具了吗?
Lancet. 2019 Sep 21;394(10203):986-988. doi: 10.1016/S0140-6736(19)31886-0. Epub 2019 Aug 20.
4
Unmet Needs in Managing Myocardial Infarction in Patients With Malignancy.恶性肿瘤患者心肌梗死管理中未满足的需求
Front Cardiovasc Med. 2019 May 17;6:57. doi: 10.3389/fcvm.2019.00057. eCollection 2019.
5
Generalisability of Common Oncology Clinical Trial Eligibility Criteria in the Real World.常见肿瘤临床试验纳入标准在真实世界中的可推广性。
Clin Oncol (R Coll Radiol). 2019 Sep;31(9):e160-e166. doi: 10.1016/j.clon.2019.05.003. Epub 2019 May 25.
6
Impact of Baseline Cardiovascular Comorbidity on Outcomes in Women With Breast Cancer: A Real-world, Population-based Study.基于真实世界人群的研究:基线心血管合并症对女性乳腺癌患者结局的影响。
Clin Breast Cancer. 2019 Apr;19(2):e297-e305. doi: 10.1016/j.clbc.2018.12.005. Epub 2018 Dec 12.
7
Cardiovascular and Cancer Risk: The Role of Cardio-oncology.心血管与癌症风险:心脏肿瘤学的作用。
J Adv Pract Oncol. 2018 Mar;9(2):160-176. Epub 2018 Mar 1.
8
Pembrolizumab plus Chemotherapy for Squamous Non-Small-Cell Lung Cancer.帕博利珠单抗联合化疗用于鳞状非小细胞肺癌。
N Engl J Med. 2018 Nov 22;379(21):2040-2051. doi: 10.1056/NEJMoa1810865. Epub 2018 Sep 25.
9
Pembrolizumab plus Chemotherapy in Metastatic Non-Small-Cell Lung Cancer.帕博利珠单抗联合化疗治疗转移性非小细胞肺癌。
N Engl J Med. 2018 May 31;378(22):2078-2092. doi: 10.1056/NEJMoa1801005. Epub 2018 Apr 16.
10
Competing risks and cancer-specific mortality: why it matters.竞争风险与癌症特异性死亡率:为何重要。
Oncotarget. 2017 Dec 28;9(7):7272-7273. doi: 10.18632/oncotarget.23729. eCollection 2018 Jan 26.