Suppr超能文献

γ辐照对混合碳纳米管/蒙脱土纳米复合材料的力学、热学和导电性能的影响。

Gamma irradiation influence on mechanical, thermal and conductivity properties of hybrid carbon nanotubes/montmorillonite nanocomposites.

作者信息

Tarawneh Mou'ad A, Saraireh Sherin A, Chen Ruey Shan, Ahmad Sahrim Hj, Al-Tarawni Musab A M, Yu Lih Jiun

机构信息

Department of Physics, College of Science, Al-Hussein Bin Talal University, P.O. Box 20, Ma'an, Jordan.

Department of Applied Physics, Faculty of Science and Technology, Universiti Kebangsaan Malaysia, 43600, UKM Bangi, Selangor Darul Ehsan, Malaysia.

出版信息

Radiat Phys Chem Oxf Engl 1993. 2021 Feb;179:109168. doi: 10.1016/j.radphyschem.2020.109168. Epub 2020 Oct 17.

Abstract

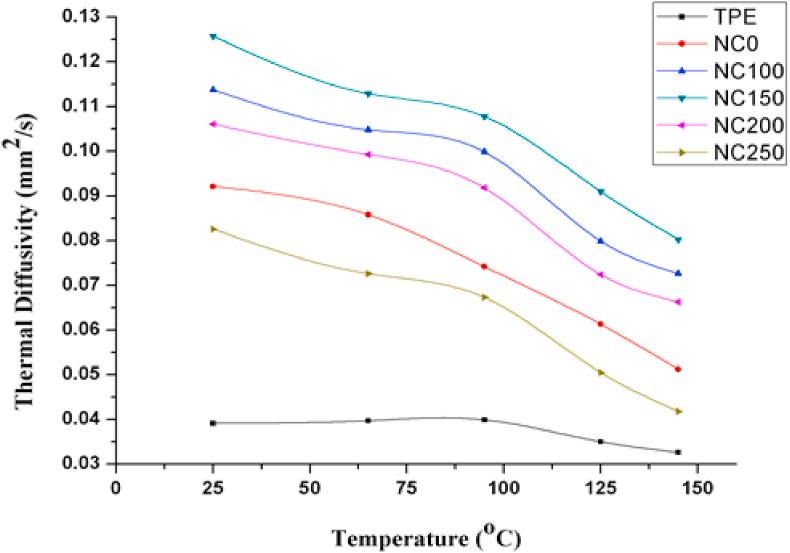
A thermoplastic elastomer (TPE) based nanocomposite with the same weight ratio of hybrid nanofillers composed of carbon nanotubes (CNTs) and montmorillonite nanoclay (DK4) was prepared using a melt blending technique with an internal mixer. The TPE composite was blended from polylactic acid (PLA), liquid natural rubber (LNR) as a compatibilizer and natural rubber (NR) in a volume ratio of 70:10:20, respectively. The weight ratio of CNTs and DK4 was 2.5 wt%. The prepared samples were exposed to gamma radiation at range of 0-250 kGy. After exposure to gamma radiation, the mechanical, thermo-mechanical, thermal and electrical conductivity properties of the composites were significantly higher than unirradiated TPE composites as the irradiation doses increased up to 150 kGy. Transmission electron microscopy (TEM) micrographs revealed the good distribution and interaction between the nano-fillers and the matrix in the prepared TPE hybrid nanocomposites. In summary, the findings from this work definite that gamma irradiation might be a viable treatment to improve the properties of TPE nanocomposite for electronic packaging applications.

摘要

采用内部混合器通过熔融共混技术制备了一种热塑性弹性体(TPE)基纳米复合材料,其由碳纳米管(CNT)和蒙脱土纳米黏土(DK4)组成的混合纳米填料具有相同的重量比。TPE复合材料由聚乳酸(PLA)、作为增容剂的液体天然橡胶(LNR)和天然橡胶(NR)以70:10:20的体积比共混而成。CNT和DK4的重量比为2.5 wt%。将制备的样品暴露于0 - 250 kGy范围内的伽马辐射。在暴露于伽马辐射后,随着辐照剂量增加至150 kGy,复合材料的机械、热机械、热和电导率性能显著高于未辐照的TPE复合材料。透射电子显微镜(TEM)显微照片显示了制备的TPE杂化纳米复合材料中纳米填料与基体之间的良好分布和相互作用。总之,这项工作的结果表明伽马辐射可能是一种可行的处理方法,可改善用于电子封装应用的TPE纳米复合材料的性能。

https://cdn.ncbi.nlm.nih.gov/pmc/blobs/f6af/7568474/a9a4a698fe1a/gr1_lrg.jpg

文献检索

告别复杂PubMed语法,用中文像聊天一样搜索,搜遍4000万医学文献。AI智能推荐,让科研检索更轻松。

立即免费搜索

文件翻译

保留排版,准确专业,支持PDF/Word/PPT等文件格式,支持 12+语言互译。

免费翻译文档

深度研究

AI帮你快速写综述,25分钟生成高质量综述,智能提取关键信息,辅助科研写作。

立即免费体验