• 文献检索
  • 文档翻译
  • 深度研究
  • 学术资讯
  • Suppr Zotero 插件Zotero 插件
  • 邀请有礼
  • 套餐&价格
  • 历史记录
应用&插件
Suppr Zotero 插件Zotero 插件浏览器插件Mac 客户端Windows 客户端微信小程序
定价
高级版会员购买积分包购买API积分包
服务
文献检索文档翻译深度研究API 文档MCP 服务
关于我们
关于 Suppr公司介绍联系我们用户协议隐私条款
关注我们

Suppr 超能文献

核心技术专利:CN118964589B侵权必究
粤ICP备2023148730 号-1Suppr @ 2026

文献检索

告别复杂PubMed语法,用中文像聊天一样搜索,搜遍4000万医学文献。AI智能推荐,让科研检索更轻松。

立即免费搜索

文件翻译

保留排版,准确专业,支持PDF/Word/PPT等文件格式,支持 12+语言互译。

免费翻译文档

深度研究

AI帮你快速写综述,25分钟生成高质量综述,智能提取关键信息,辅助科研写作。

立即免费体验

压裂作业后油藏压力衰减特征的实验研究

Experimental Investigation of the Pressure Decay Characteristics of Oil Reservoirs after Fracturing Operations.

作者信息

Yang Liu, Shi Fukun, Sun Xiaoming, Wang Shuo, Jiang Qingping, Lu Huanyu

机构信息

State Key Laboratory for Geomechanics and Deep Underground Engineering, China University of Mining and Technology (Beijing), Beijing 100083, China.

School of Mechanics and Civil Engineering, China University of Mining & Technology (Beijing), Beijing 100083, China.

出版信息

ACS Omega. 2020 Oct 9;5(41):26441-26453. doi: 10.1021/acsomega.0c02909. eCollection 2020 Oct 20.

DOI:10.1021/acsomega.0c02909
PMID:33110972
原文链接:https://pmc.ncbi.nlm.nih.gov/articles/PMC7581094/
Abstract

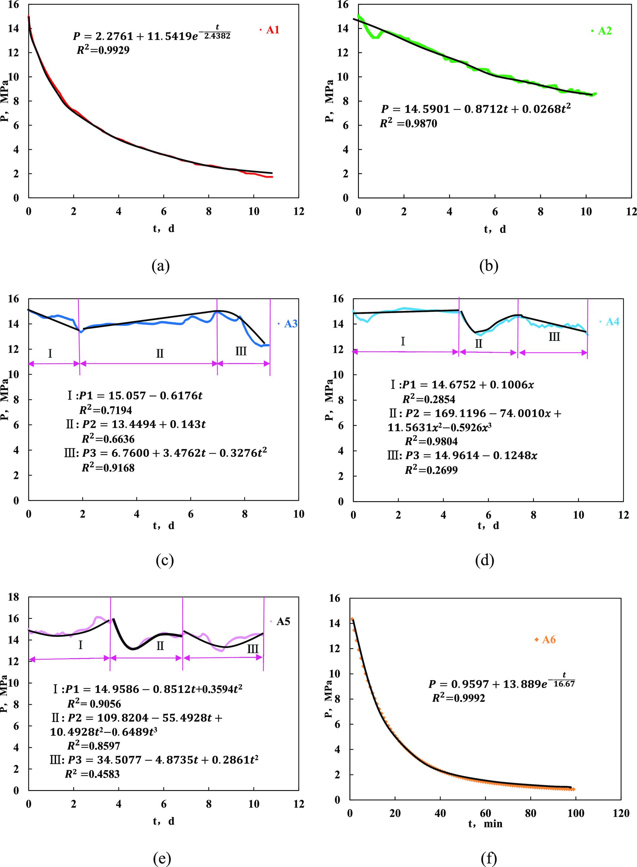
Field experience shows that extending shut-in periods are conducive to increasing tight oil production after fracturing operations. Understanding the regularity of pressure decay is helpful to establish an appropriate shut-in time. However, the characteristics and influencing factors of pressure decay are unclear. This paper studies the porosity, permeability, mineral composition, and pore structure of samples in six different blocks. The pressure decay regularity is tested according to an independently designed indoor shut-in experimental device, and the oil distribution of experimental samples is monitored using nuclear magnetic resonance technology. The results show that the fracturing fluid enters the matrix pores under the action of percolation to slowly drive out the oil, causing the well pressure to decay over time. There are three types of pressure decay characteristics: concave type, fluctuation type, and quadratic type. Compared with conventional sandstone, the pressure decay rate of tight reservoirs is slower, and the pressure decay characteristics are more complicated. Clay mineral-rich reservoirs will swell when exposed to water. As a result, the strength of the framework will be weakened and collapsed. What's more, it will cause blockage of the throat, blocking the flow of oil and the decay of pressure. In addition, the rate of pressure decay is also related to the volume of fracturing fluid, initial borehole pressure, and formation closure stress. At a certain proppant thickness (fracture width), the larger the fracturing fluid volume, the larger the fracture surface area and the faster the pressure decay rate; Moreover, the greater the initial shut-in pressure, the greater the pressure difference and the faster the decay rate; the formation closure stress causes the core porosity and the permeability to decrease, resulting in a decrease in the decay rate. The experimental results are of great significance for establishing a proper shut-in time and enhancing the oil recovery of tight reservoirs.

摘要

现场经验表明,延长关井时间有利于提高压裂作业后的致密油产量。了解压力衰减规律有助于确定合适的关井时间。然而,压力衰减的特征及影响因素尚不清楚。本文研究了六个不同区块样品的孔隙度、渗透率、矿物成分和孔隙结构。根据自主设计的室内关井实验装置测试压力衰减规律,并利用核磁共振技术监测实验样品的原油分布。结果表明,压裂液在渗流作用下进入基质孔隙,缓慢驱替出原油,导致井筒压力随时间衰减。压力衰减特征有三种类型:凹型、波动型和二次型。与常规砂岩相比,致密储层的压力衰减速率较慢,压力衰减特征更为复杂。富含黏土矿物的储层遇水会膨胀。结果,骨架强度会被削弱并坍塌。此外,它还会导致喉道堵塞,阻碍油流和压力衰减。另外,压力衰减速率还与压裂液体积、初始井筒压力和地层闭合应力有关。在一定支撑剂厚度(裂缝宽度)下,压裂液体积越大,裂缝表面积越大,压力衰减速率越快;而且,初始关井压力越大,压力差越大,衰减速率越快;地层闭合应力导致岩心孔隙度和渗透率降低,从而使衰减速率降低。实验结果对于确定合适的关井时间和提高致密储层的原油采收率具有重要意义。

https://cdn.ncbi.nlm.nih.gov/pmc/blobs/c943/7581094/4223ea792f95/ao0c02909_0013.jpg
https://cdn.ncbi.nlm.nih.gov/pmc/blobs/c943/7581094/ff538d2b2034/ao0c02909_0002.jpg
https://cdn.ncbi.nlm.nih.gov/pmc/blobs/c943/7581094/b19f4965f59d/ao0c02909_0003.jpg
https://cdn.ncbi.nlm.nih.gov/pmc/blobs/c943/7581094/a235dd83a20d/ao0c02909_0004.jpg
https://cdn.ncbi.nlm.nih.gov/pmc/blobs/c943/7581094/37017cdafe3b/ao0c02909_0005.jpg
https://cdn.ncbi.nlm.nih.gov/pmc/blobs/c943/7581094/385fd6a509e4/ao0c02909_0006.jpg
https://cdn.ncbi.nlm.nih.gov/pmc/blobs/c943/7581094/325f18b82df4/ao0c02909_0007.jpg
https://cdn.ncbi.nlm.nih.gov/pmc/blobs/c943/7581094/2380318d5fc3/ao0c02909_0008.jpg
https://cdn.ncbi.nlm.nih.gov/pmc/blobs/c943/7581094/615cb2d81f6a/ao0c02909_0009.jpg
https://cdn.ncbi.nlm.nih.gov/pmc/blobs/c943/7581094/b424a07fd648/ao0c02909_0010.jpg
https://cdn.ncbi.nlm.nih.gov/pmc/blobs/c943/7581094/218627be8236/ao0c02909_0011.jpg
https://cdn.ncbi.nlm.nih.gov/pmc/blobs/c943/7581094/f43aba477bdc/ao0c02909_0012.jpg
https://cdn.ncbi.nlm.nih.gov/pmc/blobs/c943/7581094/4223ea792f95/ao0c02909_0013.jpg
https://cdn.ncbi.nlm.nih.gov/pmc/blobs/c943/7581094/ff538d2b2034/ao0c02909_0002.jpg
https://cdn.ncbi.nlm.nih.gov/pmc/blobs/c943/7581094/b19f4965f59d/ao0c02909_0003.jpg
https://cdn.ncbi.nlm.nih.gov/pmc/blobs/c943/7581094/a235dd83a20d/ao0c02909_0004.jpg
https://cdn.ncbi.nlm.nih.gov/pmc/blobs/c943/7581094/37017cdafe3b/ao0c02909_0005.jpg
https://cdn.ncbi.nlm.nih.gov/pmc/blobs/c943/7581094/385fd6a509e4/ao0c02909_0006.jpg
https://cdn.ncbi.nlm.nih.gov/pmc/blobs/c943/7581094/325f18b82df4/ao0c02909_0007.jpg
https://cdn.ncbi.nlm.nih.gov/pmc/blobs/c943/7581094/2380318d5fc3/ao0c02909_0008.jpg
https://cdn.ncbi.nlm.nih.gov/pmc/blobs/c943/7581094/615cb2d81f6a/ao0c02909_0009.jpg
https://cdn.ncbi.nlm.nih.gov/pmc/blobs/c943/7581094/b424a07fd648/ao0c02909_0010.jpg
https://cdn.ncbi.nlm.nih.gov/pmc/blobs/c943/7581094/218627be8236/ao0c02909_0011.jpg
https://cdn.ncbi.nlm.nih.gov/pmc/blobs/c943/7581094/f43aba477bdc/ao0c02909_0012.jpg
https://cdn.ncbi.nlm.nih.gov/pmc/blobs/c943/7581094/4223ea792f95/ao0c02909_0013.jpg

相似文献

1
Experimental Investigation of the Pressure Decay Characteristics of Oil Reservoirs after Fracturing Operations.压裂作业后油藏压力衰减特征的实验研究
ACS Omega. 2020 Oct 9;5(41):26441-26453. doi: 10.1021/acsomega.0c02909. eCollection 2020 Oct 20.
2
Imbibition and Oil Recovery Mechanism of Fracturing Fluids in Tight Sandstone Reservoirs.致密砂岩储层中压裂液的渗吸与油藏采收机理
ACS Omega. 2021 Jan 8;6(3):1991-2000. doi: 10.1021/acsomega.0c04945. eCollection 2021 Jan 26.
3
Mathematical Model of Imbibition Replacement and Optimization of Soaking Time for Massively Fractured Tight Oil Reservoirs.大规模压裂致密油藏渗吸置换数学模型及浸泡时间优化
ACS Omega. 2023 Sep 13;8(38):35107-35120. doi: 10.1021/acsomega.3c04576. eCollection 2023 Sep 26.
4
Percolation Characteristics and Fluid Movability Analysis in Tight Sandstone Oil Reservoirs.致密砂岩油藏渗流特征及流体可动性分析
ACS Omega. 2020 Jun 10;5(24):14316-14323. doi: 10.1021/acsomega.0c00569. eCollection 2020 Jun 23.
5
Microscopic Production Characteristics of Pore Crude Oil and Influencing Factors during Enhanced Oil Recovery by Air Injection in Shale Oil Reservoirs.页岩油藏注空气提高采收率过程中孔隙原油微观产出特征及影响因素
ACS Omega. 2023 May 10;8(20):18186-18201. doi: 10.1021/acsomega.3c01585. eCollection 2023 May 23.
6
Stimulation and Sequestration Mechanism of CO Waterless Fracturing for Continental Tight Oil Reservoirs.陆相致密油藏CO₂无水压裂增产及封隔机理
ACS Omega. 2021 Aug 4;6(32):20758-20767. doi: 10.1021/acsomega.1c01059. eCollection 2021 Aug 17.
7
Imbibition Characteristics and Influencing Factors of the Fracturing Fluid in a Tight Sandstone Reservoir.致密砂岩储层压裂液的渗吸特征及影响因素
ACS Omega. 2024 Apr 4;9(15):17204-17216. doi: 10.1021/acsomega.3c10081. eCollection 2024 Apr 16.
8
Permeability regain and aqueous phase migration during hydraulic fracturing shut-ins.压裂停泵过程中的渗透率恢复和水相运移。
Sci Rep. 2019 Feb 12;9(1):1818. doi: 10.1038/s41598-018-38211-0.
9
Optimization of fracturing technology for unconventional dense oil reservoirs based on rock brittleness index.基于岩石脆性指数的非常规致密油藏压裂技术优化
Sci Rep. 2024 Jul 2;14(1):15214. doi: 10.1038/s41598-024-66114-w.
10
Influencing Factors and Application of Spontaneous Imbibition of Fracturing Fluids in Tight Sandstone Gas Reservoir.致密砂岩气藏压裂液自吸影响因素及应用
ACS Omega. 2022 Oct 18;7(43):38912-38922. doi: 10.1021/acsomega.2c04648. eCollection 2022 Nov 1.

引用本文的文献

1
Numerical Modeling of Proppant Embedment in Viscoelastic Formations with the Fractional Maxwell Model.基于分数阶麦克斯韦模型的粘弹性地层中支撑剂嵌入的数值模拟
ACS Omega. 2021 Jul 29;6(31):20398-20407. doi: 10.1021/acsomega.1c02407. eCollection 2021 Aug 10.

本文引用的文献

1
Generalized modeling of spontaneous imbibition based on Hagen-Poiseuille flow in tortuous capillaries with variably shaped apertures.基于具有可变形状孔径的曲折毛细管中哈根-泊肃叶流动的自发渗吸广义模型。
Langmuir. 2014 May 13;30(18):5142-51. doi: 10.1021/la5007204. Epub 2014 May 1.