Aldalbahi Ali, El-Naggar Mehrez, Khattab Tawfik, Abdelrahman Meram, Rahaman Mostafizur, Alrehaili Abdulaziz, El-Newehy Mohamed
Department of Chemistry, College of Science, King Saud University, Riyadh 11451, Saudi Arabia.
Textile Research Division, National Research Centre, Giza 12311, Egypt.
Polymers (Basel). 2020 Oct 27;12(11):2501. doi: 10.3390/polym12112501.
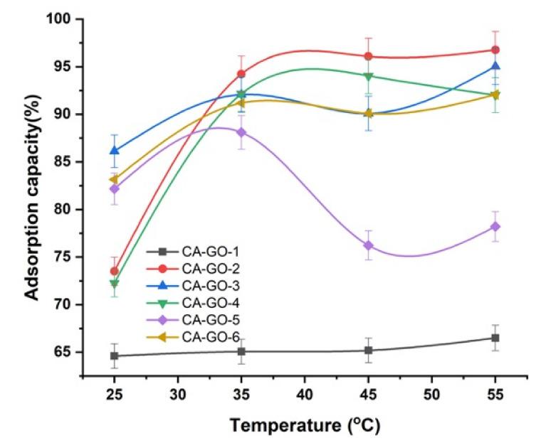
Novel ecofriendly adsorbents, cellulose acetate/graphene oxide (CA-GO) nanocomposite, were prepared from sugarcane bagasse agro-waste for removing Ni ions from wastewater. Graphene oxide (GO) was prepared by the oxidation of sugarcane bagasse using ferrocene under air atmosphere. Cellulose acetate (CA) was also prepared from sugarcane bagasse by extraction of cellulose through a successive treatments with sulfuric acid (10% v/v), sodium hydroxide (5% w/v), ethylenediaminetetraacetic acid, and hydrogen peroxide, and finally , followed by acetylation. CA-GO was prepared via mixing of GO and CA in the presence of calcium carbonate and different concentrations of GO, including 5, 10, 15, 20, 25, and 30 wt% relative to the weight of CA. The CA-GO nanocomposite showed porous microstructures with high surface area, which enhance their ability towars the adsorption of Ni ions from wastewater. The morphological properties of the prepared adsorbents were explored by scanning electron microscope (SEM) and Fourier-transform infrared spectroscopy (FT-IR). The efficiency of the CA-GO towards the adsorption of Ni ions from wastewater was explored against as time, temperature, and total content of Ni ions. The adsorption measurements of Ni ions were investigated within the concentration range of 10-40 mg/L, time range between 15 and 90 minutes, and temperature range between 25 °C and 55 °C. The results displayed a considerable improvement in the adsorption process of Ni ions by CA-GO-2 with a removal efficiency of 96.77%. The isotherms were monitored to best fit the Langmuir model. Finally, the adsorption performance of the prepared CA-GO nanocomposite films demonstrated promising properties as green, sustainable and cheap adsorbents for water pollutants.
采用甘蔗渣农业废弃物制备了新型环保吸附剂醋酸纤维素/氧化石墨烯(CA-GO)纳米复合材料,用于去除废水中的镍离子。在空气气氛下,使用二茂铁氧化甘蔗渣制备氧化石墨烯(GO)。醋酸纤维素(CA)也由甘蔗渣制备,通过依次用硫酸(10% v/v)、氢氧化钠(5% w/v)、乙二胺四乙酸和过氧化氢处理提取纤维素,最后进行乙酰化反应。CA-GO是在碳酸钙存在下,将GO与CA混合制备而成,其中GO的浓度相对于CA的重量分别为5、10、15、20、25和30 wt%。CA-GO纳米复合材料呈现出具有高比表面积的多孔微观结构,增强了它们从废水中吸附镍离子的能力。通过扫描电子显微镜(SEM)和傅里叶变换红外光谱(FT-IR)对制备的吸附剂的形态学性质进行了探究。考察了CA-GO对废水中镍离子的吸附效率随时间、温度和镍离子总含量的变化。在镍离子浓度范围为10-40 mg/L、时间范围为15至90分钟、温度范围为25℃至55℃内研究了镍离子的吸附量。结果表明,CA-GO-2对镍离子的吸附过程有显著改善,去除效率为96.77%。监测等温线以使其最符合朗缪尔模型。最后,制备的CA-GO纳米复合膜的吸附性能显示出作为绿色、可持续且廉价的水污染物吸附剂的良好性能。