Suppr超能文献

钠-葡萄糖共转运蛋白 2 抑制剂达格列净相较于吡格列酮对非酒精性脂肪性肝病的有益作用。

Favorable effect of sodium-glucose cotransporter 2 inhibitor, dapagliflozin, on non-alcoholic fatty liver disease compared with pioglitazone.

机构信息

Department of Rheumatology, Endocrinology and Nephrology, Faculty of Medicine and Graduate School of Medicine, Hokkaido University, Sapporo, Japan.

Clinical Research and Medical Innovation Center, Hokkaido University Hospital, Sapporo, Japan.

出版信息

J Diabetes Investig. 2021 Jul;12(7):1272-1277. doi: 10.1111/jdi.13457. Epub 2020 Dec 2.

Abstract

AIMS/INTRODUCTION: Sodium-glucose cotransporter 2 inhibitors, as well as thiazolidines, suppress nonalcoholic fatty liver disease (NAFLD); however, few comparative studies have been reported. Dapagliflozin has shown non-inferiority compared with pioglitazone for glycemic control, and superiority regarding weight reduction in patients with type 2 diabetes. We carried out a secondary analysis for the favorable effects of sodium-glucose cotransporter inhibitors for NAFLD.

MATERIALS AND METHODS

In this multicenter, open-label, prospective, randomized, parallel-group comparison trial, patients taking pioglitazone for ≥12 weeks were randomly switched to dapagliflozin or continued pioglitazone for a further 24 weeks. The fatty liver index (FLI), consisting of body mass index, triglycerides, waist circumference and γ-glutamyl transpeptidase, was used for the evaluation of NAFLD.

RESULTS

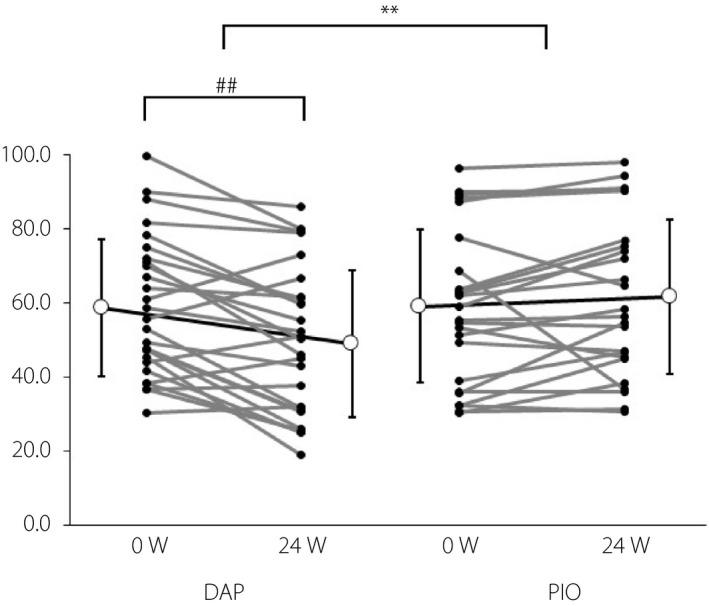
A total of 53 participants with NAFLD (27 dapagliflozin; 26 pioglitazone) were included in this analysis. FLI decreased significantly in the dapagliflozin group (48.7 ± 23.4 to 42.1 ± 23.9) compared with the pioglitazone group (49.0 ± 26.1 to 51.1 ± 25.8; P < 0.01). Multiple linear regression analysis showed that the changes in FLI had a significantly positive correlation with changes in glycated hemoglobin (P = 0.03) and insulin level (P < 0.01) in the dapagliflozin group.

CONCLUSION

Dapagliflozin might be more beneficial than pioglitazone in patients with NAFLD. Improvements in FLI would be closely related to glycemic control.

摘要

目的/引言:钠-葡萄糖共转运蛋白 2 抑制剂和噻唑烷二酮类药物均可抑制非酒精性脂肪性肝病(NAFLD);然而,相关比较研究较少。达格列净在控制血糖方面不劣于吡格列酮,在 2 型糖尿病患者中具有减重优势。我们进行了一项次要分析,旨在评估钠-葡萄糖共转运蛋白 2 抑制剂对 NAFLD 的有益作用。

材料和方法

在这项多中心、开放标签、前瞻性、随机、平行组比较试验中,服用吡格列酮治疗≥12 周的患者被随机转换为达格列净或继续服用吡格列酮治疗 24 周。采用包含体重指数、甘油三酯、腰围和γ-谷氨酰转肽酶的脂肪肝指数(FLI)评估 NAFLD。

结果

共有 53 名 NAFLD 患者(达格列净组 27 名,吡格列酮组 26 名)纳入了本分析。与吡格列酮组(49.0±26.1 至 51.1±25.8;P<0.01)相比,达格列净组 FLI 显著降低(48.7±23.4 至 42.1±23.9;P<0.01)。多元线性回归分析显示,达格列净组 FLI 的变化与糖化血红蛋白(P=0.03)和胰岛素水平(P<0.01)的变化呈显著正相关。

结论

与吡格列酮相比,达格列净可能对 NAFLD 患者更有益。FLI 的改善与血糖控制密切相关。

https://cdn.ncbi.nlm.nih.gov/pmc/blobs/0d84/8264405/0c01094068e8/JDI-12-1272-g003.jpg

文献AI研究员

20分钟写一篇综述,助力文献阅读效率提升50倍。

立即体验

用中文搜PubMed

大模型驱动的PubMed中文搜索引擎

马上搜索

文档翻译

学术文献翻译模型,支持多种主流文档格式。

立即体验