Immunology Section, Germans Trias i Pujol Research Institute, Autonomous University of Barcelona, Carretera Canyet s/n, 08916, Badalona, Spain.
Endocrinology Section, Germans Trias i Pujol Research Institute, Autonomous University of Barcelona, Badalona, Spain.
Sci Rep. 2020 Nov 3;10(1):18927. doi: 10.1038/s41598-020-76041-1.
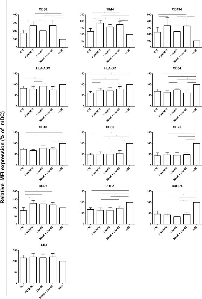
Type 1 diabetes is an autoimmune disease caused by the destruction of the insulin-producing β-cells. To revert type 1 diabetes, the suppression of the autoimmune attack should be combined with a β-cell replacement strategy. It has been previously demonstrated that liraglutide, a glucagon-like peptide-1 receptor agonist, restores β-cell mass in type 1 diabetes, via α-cell transdifferentiation and neogenesis. We report here that treatment with liraglutide does not prevent type 1 diabetes in the spontaneous non-obese diabetic (NOD) mouse model, but it tends to reduce leukocytic islet infiltration. However, in combination with an immunotherapy based on tolerogenic liposomes, it is effective in ameliorating hyperglycaemia in diabetic NOD mice. Importantly, liraglutide is not detrimental for the tolerogenic effect that liposomes exert on dendritic cells from patients with type 1 diabetes in terms of membrane expression of molecules involved in antigen presentation, immunoregulation and activation. Moreover, the in vivo effect of the combined therapy was tested in mice humanised with peripheral blood mononuclear cells from patients with type 1 diabetes, showing no adverse effects in leukocyte subsets. In conclusion, the combination therapy with liraglutide and a liposome-based immunotherapy is a promising candidate strategy for type 1 diabetes.
1 型糖尿病是一种自身免疫性疾病,由胰岛素产生β细胞的破坏引起。为了逆转 1 型糖尿病,应将自身免疫攻击的抑制与β细胞替代策略相结合。先前已经证明,胰高血糖素样肽-1 受体激动剂利拉鲁肽通过α细胞转分化和新生来恢复 1 型糖尿病中的β细胞质量。我们在这里报告,利拉鲁肽治疗并不能预防自发性非肥胖型糖尿病(NOD)小鼠模型中的 1 型糖尿病,但它倾向于减少白细胞胰岛浸润。然而,与基于免疫耐受脂质体的免疫疗法联合使用时,它可有效改善糖尿病 NOD 小鼠的高血糖症。重要的是,就参与抗原呈递、免疫调节和激活的分子的膜表达而言,利拉鲁肽对 1 型糖尿病患者的树突状细胞的免疫耐受脂质体的作用没有损害。此外,还在来自 1 型糖尿病患者的外周血单核细胞人源化的小鼠中测试了联合治疗的体内效果,在白细胞亚群中未观察到不良反应。总之,利拉鲁肽和基于脂质体的免疫疗法的联合治疗是 1 型糖尿病有前途的候选策略。