Biology Department, Woods Hole Oceanographic Institution (WHOI), Woods Hole, Massachusetts, USA.
Massachusetts Institute of Technology (MIT)-WHOI Joint Graduate Program in Oceanography and Oceanographic Engineering, Department of Earth, Atmospheric and Planetary Sciences, MIT, Cambridge, Massachusetts, USA.
Environ Health Perspect. 2020 Nov;128(11):117002. doi: 10.1289/EHP6652. Epub 2020 Nov 4.
Harmful algal blooms (HABs) produce potent neurotoxins that threaten human health, but current regulations may not be protective of sensitive populations. Early life exposure to low levels of the HAB toxin domoic acid (DomA) produces long-lasting behavioral deficits in rodent and primate models; however, the mechanisms involved are unknown. The zebrafish is a powerful vertebrate model system for exploring cellular processes during development and thus may help to elucidate mechanisms of DomA developmental neurotoxicity.
We used the zebrafish model to investigate how low doses of DomA affect the developing nervous system, including windows of susceptibility to DomA exposure, structural and molecular changes in the nervous system, and the link to behavioral alterations.
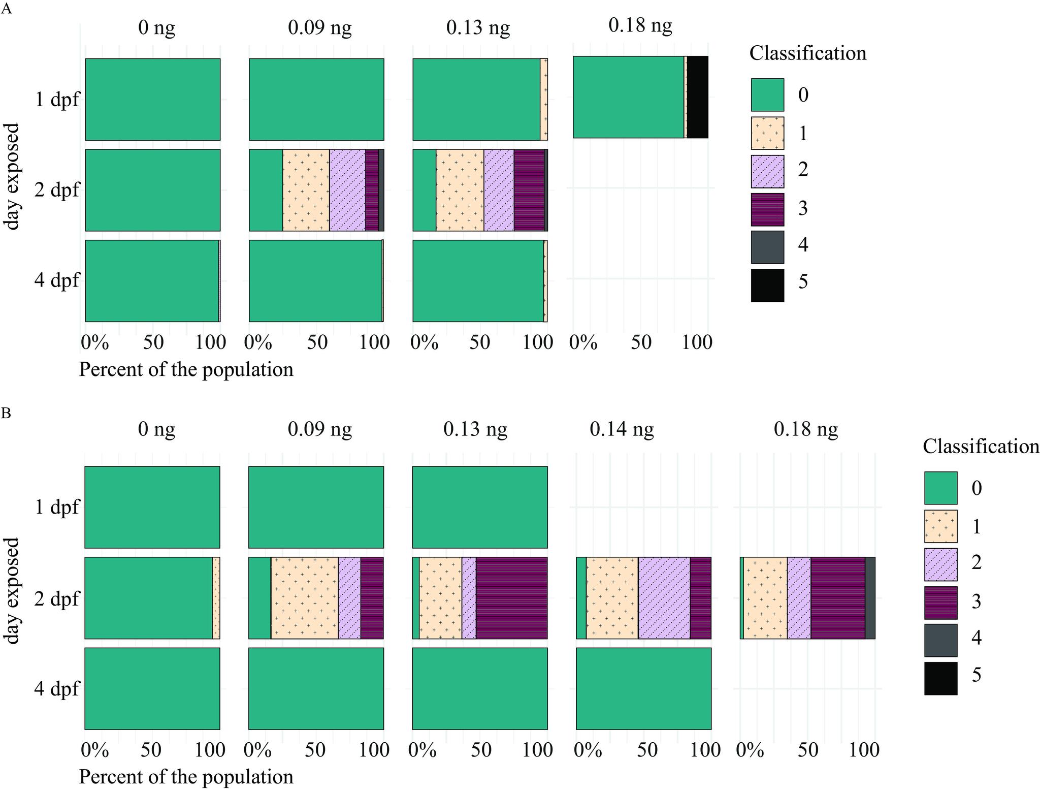
To identify potential windows of susceptibility, DomA () was delivered to zebrafish through caudal vein microinjection during distinct periods in early neurodevelopment. Following exposure, structural and molecular targets were identified using live imaging of transgenic fish and RNA sequencing. To assess the functional consequences of exposures, we quantified startle behavior in response to acoustic/vibrational stimuli.
Larvae exposed to DomA at 2 d postfertilization (dpf), but not at 1 or 4 dpf, showed consistent deficits in startle behavior at 7 dpf, including lower responsiveness and altered kinematics. Similarly, myelination in the spinal cord was disorganized after exposure at 2 dpf but not 1 or 4 dpf. Time-lapse imaging revealed disruption of the initial stages of myelination. DomA exposure at 2 dpf down-regulated genes required for maintaining myelin structure and the axonal cytoskeleton.
These results in zebrafish reveal a developmental window of susceptibility to DomA-induced behavioral deficits and identify altered gene expression and disrupted myelin structure as possible mechanisms. The results establish a zebrafish model for investigating the mechanisms of developmental DomA toxicity, including effects with potential relevance to exposed sensitive human populations. https://doi.org/10.1289/EHP6652.
有害藻类水华(HAB)会产生强效神经毒素,威胁人类健康,但目前的法规可能无法保护敏感人群。早期生命暴露于低水平的 HAB 毒素软骨藻酸(DomA)会在啮齿动物和灵长类动物模型中产生持久的行为缺陷;然而,其涉及的机制尚不清楚。斑马鱼是一种强大的脊椎动物模型系统,可用于研究发育过程中的细胞过程,因此可能有助于阐明 DomA 发育神经毒性的机制。
我们使用斑马鱼模型来研究低剂量的 DomA 如何影响发育中的神经系统,包括对 DomA 暴露的易感性窗口、神经系统的结构和分子变化,以及与行为改变的联系。
为了确定潜在的易感性窗口,通过在早期神经发育的不同时期通过尾静脉微注射将 DomA 递送至斑马鱼。暴露后,使用转基因鱼的活体成像和 RNA 测序来鉴定结构和分子靶标。为了评估暴露的功能后果,我们量化了对声/振动刺激的惊跳反应行为。
在受精后 2 天(dpf)暴露于 DomA 的幼虫,但在 1 或 4 dpf 时没有,在 7 dpf 时表现出一致的惊跳行为缺陷,包括反应性降低和运动学改变。同样,在 2 dpf 暴露后,脊髓中的髓鞘形成紊乱,但在 1 或 4 dpf 时没有。延时成像显示髓鞘形成的初始阶段被破坏。2 dpf 时暴露于 DomA 会下调维持髓鞘结构和轴突细胞骨架所需的基因。
这些在斑马鱼中的结果揭示了对 DomA 诱导的行为缺陷的发育易感性窗口,并确定了改变的基因表达和破坏的髓鞘结构作为可能的机制。该结果建立了一个斑马鱼模型,用于研究发育性 DomA 毒性的机制,包括可能与暴露的敏感人群相关的影响。https://doi.org/10.1289/EHP6652.