Suppr超能文献

一种简单且适用于临床的模型,用于预测肝细胞癌肝切除术后与肝脏相关的发病率。

A simple and clinically applicable model to predict liver-related morbidity after hepatic resection for hepatocellular carcinoma.

机构信息

Department of Gastroenterology, Asan Liver Center, Asan Medical Center, University of Ulsan College of Medicine, Seoul, Republic of Korea.

Department of Applied Statistics, Gachon University, Seongnam-si, Republic of Korea.

出版信息

PLoS One. 2020 Nov 5;15(11):e0241808. doi: 10.1371/journal.pone.0241808. eCollection 2020.

Abstract

BACKGROUND & AIM: Hepatic resection is a treatment option for patients with hepatocellular carcinoma (HCC). However, factors associated with candidacy for resection and predictive of liver-related morbidity after resection for HCC remain unclear. This study aimed to assess candidacy for liver resection in patients with HCC and to design a model predictive of liver-related morbidity after resection.

METHODS

A retrospective analysis of 1,565 patients who underwent liver resection for HCC between January 2016 and December 2017 was performed. The primary outcome was liver-related morbidity, including post-hepatectomy biochemical dysfunction (PHBD), ascites, hepatic encephalopathy, rescue liver transplantation, and death from any cause within 90 days. PHBD was defined as international normalized ratio (INR) > 1.5 or hyperbilirubinemia (> 2.9 mg/dL) on postoperative day ≥ 5.

RESULTS

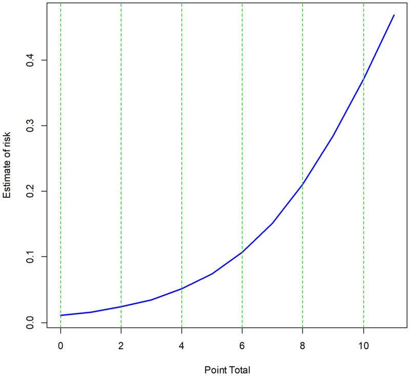
The 1,565 patients included 1,258 (80.4%) males and 307 (19.6%) females with a mean age of 58.3 years. Of these patients, 646 (41.3%) and 919 (58.7%) patients underwent major and minor liver resection, respectively. Liver-related morbidity was observed in 133 (8.5%) patients, including 77 and 56 patients who underwent major and minor resection, respectively. A total of 83 (5.3%) patients developed PHBD. Multivariate analysis identified cut-off values of the platelet count, serum albumin concentration, and ICG R15 value for predicting liver-related morbidity after resection. A model predicting postoperative liver-related morbidity was developed, which included seven factors: male sex, age ≥ 55 years, ICG R15 value ≥ 15%, major resection, platelet count < 150,000/mm3, serum albumin concentration < 3.5 g/dL, and INR > 1.1.

CONCLUSION

Hepatic resection for HCC was safe with 90-day liver-related morbidity and mortality rates of 8.5% and 0.8%, respectively. The developed point-based scoring system with seven factors could allow the prediction of the risk of liver-related morbidity after resection for HCC.

摘要

背景与目的

肝切除术是治疗肝细胞癌(HCC)患者的一种选择。然而,与肝切除适应证相关的因素以及预测 HCC 肝切除术后肝相关发病率的因素仍不清楚。本研究旨在评估 HCC 患者肝切除的适应证,并设计一种预测肝切除术后肝相关发病率的模型。

方法

对 2016 年 1 月至 2017 年 12 月期间接受 HCC 肝切除术的 1565 例患者进行回顾性分析。主要结局为肝相关发病率,包括术后生化功能障碍(PHBD)、腹水、肝性脑病、挽救性肝移植和 90 天内任何原因导致的死亡。PHBD 定义为术后第≥5 天国际标准化比值(INR)>1.5 或高胆红素血症(>2.9mg/dL)。

结果

1565 例患者中,1258 例(80.4%)为男性,307 例(19.6%)为女性,平均年龄为 58.3 岁。其中 646 例(41.3%)和 919 例(58.7%)患者分别行大肝切除术和小肝切除术。133 例(8.5%)患者发生肝相关发病率,其中大肝切除术和小肝切除术分别为 77 例和 56 例。共有 83 例(5.3%)患者发生 PHBD。多因素分析确定了血小板计数、血清白蛋白浓度和 ICG R15 值用于预测肝切除术后肝相关发病率的截断值。建立了预测术后肝相关发病率的模型,包括 7 个因素:男性、年龄≥55 岁、ICG R15 值≥15%、大肝切除术、血小板计数<150,000/mm3、血清白蛋白浓度<3.5g/dL 和 INR>1.1。

结论

HCC 肝切除术安全,90 天肝相关发病率和死亡率分别为 8.5%和 0.8%。该研究建立的基于 7 个因素的评分系统可预测 HCC 肝切除术后肝相关发病率的风险。

https://cdn.ncbi.nlm.nih.gov/pmc/blobs/3dce/7643950/d6f29d8b0762/pone.0241808.g001.jpg

文献AI研究员

20分钟写一篇综述,助力文献阅读效率提升50倍。

立即体验

用中文搜PubMed

大模型驱动的PubMed中文搜索引擎

马上搜索

文档翻译

学术文献翻译模型,支持多种主流文档格式。

立即体验