Suppr超能文献

通过竞争性内源性RNA网络分析鉴定与肾透明细胞癌预后相关的RNA转录本标志物

Identification of RNA Transcript Makers Associated With Prognosis of Kidney Renal Clear Cell Carcinoma by a Competing Endogenous RNA Network Analysis.

作者信息

Yang Qiwei, Chu Weiwei, Yang Wei, Cheng Yanqiong, Chu Chuanmin, Pan Xiuwu, Ye Jianqing, Cao Jianwei, Gan Sishun, Cui Xingang

机构信息

Department of Urology, Gongli Hospital, Shanghai, China.

Department of Urology, The Third Affiliated Hospital of Naval Military Medical University (Eastern Hepatobiliary Surgery Hospital), Shanghai, China.

出版信息

Front Genet. 2020 Oct 15;11:540094. doi: 10.3389/fgene.2020.540094. eCollection 2020.

Abstract

OBJECTIVE

This study aims to identify several RNA transcripts associated with the prognosis of kidney renal clear cell carcinoma (KIRC).

METHODS

The differentially expressed mRNAs, lncRNAs, and miRNAs (DEmRNAs, DElncRNAs, and DEmiRNAs) between KIRC cases and controls were screened based on an RNA-seq dataset from The Cancer Genome Atlas (TCGA) database. Subsequently, miRcode, miRDB, and TargetScan database were used to predict interactions between lncRNAs, miRNAs and target mRNAs. Then, a ceRNA network was built using miRNAs-mRNAs and lncRNAs-miRNAs pairs. Functional analysis of mRNAs in ceRNA was performed. Finally, the survival analysis of RNA transcripts in ceRNA network and correlation analysis for key RNA regulators were carried out.

RESULTS

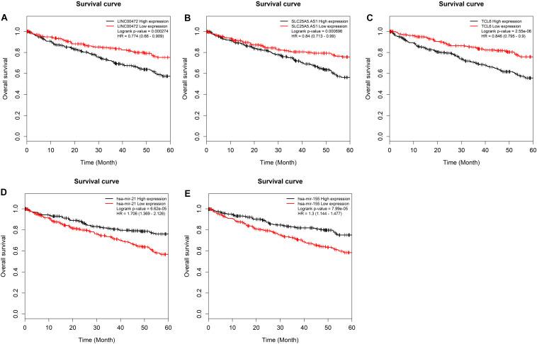
There were 1527 DElncRNAs, 54 DEmiRNAs, and 2321 DEmRNAs. A ceRNA network was constructed among 81 lncRNAs, 9 miRNAs, and 197 mRNAs. Functional analysis showed that numerous mRNAs were significantly associated with regulation of cellular glucuronidation. In addition, 35 lncRNAs, 84 mRNAs and two miRNAs were significantly corelated to the survival of patients with KIRC ( < 0.05). Among them, miRNA-21 and miRNA-155 were negatively related to three lncRNAs (LINC00472, SLC25A5.AS1, and TCL6). Seven mRNA targets of miRNA-21 (, , , , , , and ) and 12 mRNAs targets of miRNA-155 (, , , , , , , , , , , and ) also acted as prognostic biomarkers for KIRC patients.

CONCLUSION

We screened numerous novel prognosis-related RNA markers for KIRC patients by a ceRNA network analysis, providing deeper understandings of prognostic values of RNA transcripts for KIRC.

摘要

目的

本研究旨在鉴定几种与肾透明细胞癌(KIRC)预后相关的RNA转录本。

方法

基于来自癌症基因组图谱(TCGA)数据库的RNA测序数据集,筛选KIRC病例与对照之间差异表达的mRNA、lncRNA和miRNA(DEmRNA、DElncRNA和DEmiRNA)。随后,使用miRcode、miRDB和TargetScan数据库预测lncRNA、miRNA与靶mRNA之间的相互作用。然后,利用miRNA-mRNA和lncRNA-miRNA对构建ceRNA网络。对ceRNA中的mRNA进行功能分析。最后,对ceRNA网络中的RNA转录本进行生存分析,并对关键RNA调节因子进行相关性分析。

结果

共鉴定出1527个DElncRNA、54个DEmiRNA和2321个DEmRNA。构建了一个由81个lncRNA、9个miRNA和197个mRNA组成的ceRNA网络。功能分析表明,许多mRNA与细胞葡萄糖醛酸化调节显著相关。此外,35个lncRNA、84个mRNA和2个miRNA与KIRC患者的生存显著相关(<0.05)。其中,miRNA-21和miRNA-155与3个lncRNA(LINC00472、SLC25A5.AS1和TCL6)呈负相关。miRNA-21的7个mRNA靶标(、、、、、和)和miRNA-155的12个mRNA靶标(、、、、、、、、、、和)也作为KIRC患者的预后生物标志物。

结论

我们通过ceRNA网络分析为KIRC患者筛选了许多新的预后相关RNA标志物,为深入了解RNA转录本对KIRC的预后价值提供了依据。

https://cdn.ncbi.nlm.nih.gov/pmc/blobs/4221/7593646/c4e3247fdd83/fgene-11-540094-g001.jpg

文献AI研究员

20分钟写一篇综述,助力文献阅读效率提升50倍。

立即体验

用中文搜PubMed

大模型驱动的PubMed中文搜索引擎

马上搜索

文档翻译

学术文献翻译模型,支持多种主流文档格式。

立即体验