Suppr超能文献

等温滴定量热法研究酶动力学:别构效应、抑制作用与动力学

Enzyme Kinetics by Isothermal Titration Calorimetry: Allostery, Inhibition, and Dynamics.

作者信息

Wang Yun, Wang Guanyu, Moitessier Nicolas, Mittermaier Anthony K

机构信息

Department of Chemistry, McGill University, Montreal, QC, Canada.

出版信息

Front Mol Biosci. 2020 Oct 19;7:583826. doi: 10.3389/fmolb.2020.583826. eCollection 2020.

Abstract

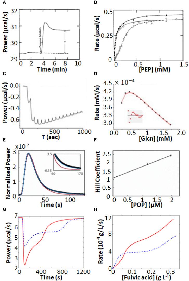
Isothermal titration calorimetry (ITC) involves accurately measuring the heat that is released or absorbed in real time when one solution is titrated into another. This technique is usually used to measure the thermodynamics of binding reactions. However, there is mounting interest in using it to measure reaction kinetics, particularly enzymatic catalysis. This application of ITC has been steadily growing for the past two decades, and the method is proving to be sensitive, generally applicable, and capable of providing information on enzyme activity that is difficult to obtain using traditional biochemical assays. This review aims to give a broad overview of the use of ITC to measure enzyme kinetics. It describes several different classes of ITC experiment, their strengths and weaknesses, and recent methodological advancements. A summary of applications in the literature is given and several examples where ITC has been used to investigate challenging aspects of enzyme behavior are presented in more detail. These include examples of allostery, where small-molecule binding outside the active site modulates activity. We describe the use of ITC to measure the strength, mode (i.e., competitive, uncompetitive, or mixed), and association and dissociation kinetics of enzyme inhibitors. Further, we provide examples of ITC applied to complex, heterogeneous mixtures, such as insoluble substrates and live cells. These studies exemplify the wide range of problems where ITC can provide answers, and illustrate the versatility of the technique and potential for future development and applications.

摘要

等温滴定量热法(ITC)涉及精确测量一种溶液滴定到另一种溶液中时实时释放或吸收的热量。该技术通常用于测量结合反应的热力学。然而,人们越来越有兴趣用它来测量反应动力学,特别是酶催化反应。在过去二十年中,ITC的这种应用一直在稳步增长,并且该方法已被证明是灵敏的、普遍适用的,并且能够提供使用传统生化分析难以获得的有关酶活性的信息。这篇综述旨在对ITC用于测量酶动力学的应用进行广泛概述。它描述了几种不同类型的ITC实验、它们的优缺点以及最近的方法学进展。给出了文献中应用的总结,并更详细地介绍了ITC用于研究酶行为具有挑战性方面的几个例子。这些例子包括别构现象,即活性位点外的小分子结合调节活性。我们描述了使用ITC测量酶抑制剂的强度、模式(即竞争性、非竞争性或混合型)以及结合和解离动力学。此外,我们提供了ITC应用于复杂、异质混合物(如不溶性底物和活细胞)的例子。这些研究例证了ITC可以提供答案的广泛问题,并说明了该技术的多功能性以及未来发展和应用的潜力。

https://cdn.ncbi.nlm.nih.gov/pmc/blobs/a9ea/7604385/89ad57cbb399/fmolb-07-583826-g001.jpg

文献AI研究员

20分钟写一篇综述,助力文献阅读效率提升50倍。

立即体验

用中文搜PubMed

大模型驱动的PubMed中文搜索引擎

马上搜索

文档翻译

学术文献翻译模型,支持多种主流文档格式。

立即体验