Suppr超能文献

可的松和皮质醇打破氢键规则以形成药物-前药固溶体。

Cortisone and cortisol break hydrogen-bonding rules to make a drug-prodrug solid solution.

作者信息

Verma Vivek, Bordignon Simone, Chierotti Michele R, Lestari Monica, Lyons Kieran, Padrela Luis, Ryan Kevin M, Lusi Matteo

机构信息

Department of Chemistry and Bernal Institute, University of Limerick, Limerick, Ireland.

Dipartimento di Chimica, Università di Torino, Torino, Italy.

出版信息

IUCrJ. 2020 Oct 23;7(Pt 6):1124-1130. doi: 10.1107/S2052252520013263. eCollection 2020 Nov 1.

Abstract

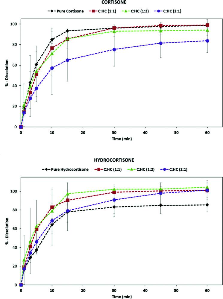
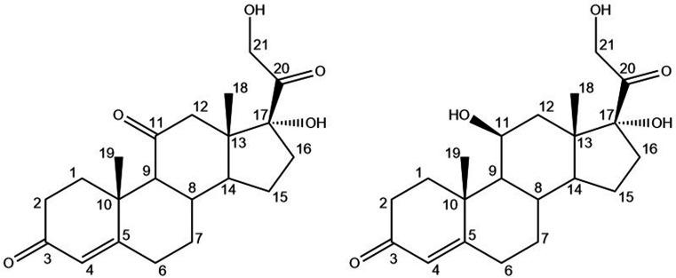
Multidrug products enable more effective therapies and simpler administration regimens, provided that a stable formulation is prepared, with the desired composition. In this view, solid solutions have the advantage of combining the stability of a single crystalline phase with the potential of stoichiometry variation of a mixture. Here a drug-prodrug solid solution of cortisone and cortisol (hydrocortisone) is described. Despite the structural differences of the two components, the new phase is obtained both from solution and by supercritical CO assisted spray drying. In particular, to enter the solid solution, hydrocortisone must violate Etter's rules for hydrogen bonding. As a result, its dissolution rate is almost doubled.

摘要

多药物产品能够实现更有效的治疗和更简单的给药方案,前提是制备出具有所需成分的稳定制剂。从这个角度来看,固溶体具有将单一晶相的稳定性与混合物化学计量变化的潜力相结合的优势。本文描述了可的松和皮质醇(氢化可的松)的药物 - 前药固溶体。尽管两种成分在结构上存在差异,但通过溶液法和超临界CO₂辅助喷雾干燥法均能获得新相。特别是,为了进入固溶体,氢化可的松必须违反埃特氢键规则。结果,其溶解速率几乎提高了一倍。

https://cdn.ncbi.nlm.nih.gov/pmc/blobs/c77b/7642785/2f27ec818b0e/m-07-01124-fig1.jpg

文献AI研究员

20分钟写一篇综述,助力文献阅读效率提升50倍。

立即体验

用中文搜PubMed

大模型驱动的PubMed中文搜索引擎

马上搜索

文档翻译

学术文献翻译模型,支持多种主流文档格式。

立即体验