Suppr超能文献

环境温度自发泡单宁-胡敏素生物泡沫

Ambient Temperature Self-Blowing Tannin-Humins Biofoams.

作者信息

Chen Xinyi, Guigo Nathanael, Pizzi Antonio, Sbirrazzuoli Nicolas, Li Bin, Fredon Emmanuel, Gerardin Christine

机构信息

LERMAB, University of Lorraine, 27 rue Philippe Seguin, 88000 Epinal, France.

Department of Chemistry, University of the Cote d'Azur, 06103 Nice, France.

出版信息

Polymers (Basel). 2020 Nov 17;12(11):2732. doi: 10.3390/polym12112732.

Abstract

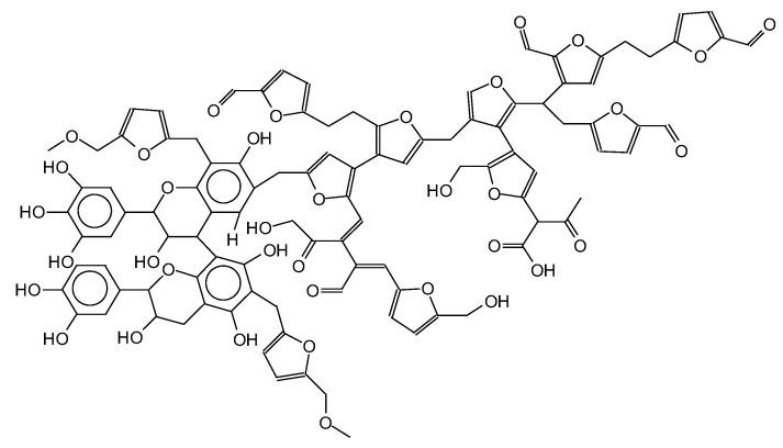
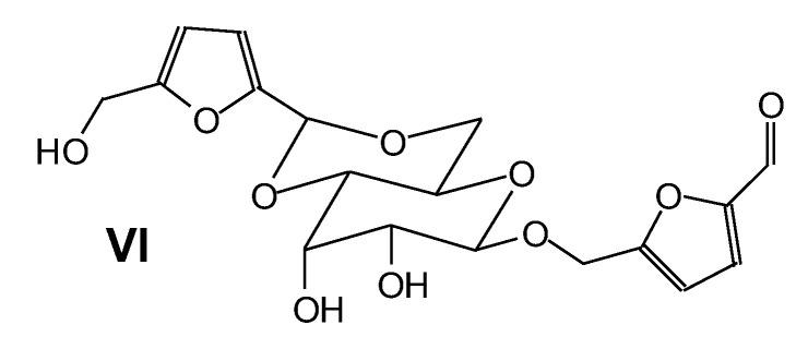
Ambient temperature self-blowing tannin-furanic foams have been prepared by substituting a great part-even a majority-of furfuryl alcohol with humins, a polyfuranic material derived from the acid treatment at high temperature of fructose. Closed-cell foams were prepared at room temperature and curing, while interconnected-cell foams were prepared at 80 °C and curing, this being due to the more vigorous evaporation of the solvent. These foams appear to present similar characteristics as other tannin-furanic foams based only on furfuryl alcohol. A series of tannin-humins-furfuryl alcohol oligomer structures have been defined indicating that all three reagents co-react. Humins appeared to react well with condensed tannins, even higher molecular weight humins species, and even at ambient temperature, but they react slower than furfuryl alcohol. This is due to their high average molecular weight and high viscosity, causing their reaction with other species to be diffusion controlled. Thus, small increases in solvent led to foams with less cracks and open structures. It showed that furfuryl alcohol appears to also have a role as a humins solvent, and not just as a co-reagent and self-polymerization heat generator for foam expansion and hardening. Stress-strain for the different foams showed a higher compressive strength for both the foam with the lowest and the highest proportion of humins, thus in the dominant proportions of either furfuryl alcohol or the humins. Thus, due to their slower reactivity as their proportion increases to a certain critical level, more of them do proportionally participate within the expansion/curing time of the foam to the reaction.

摘要

通过用腐殖质替代大部分甚至绝大部分糠醇制备了环境温度自发泡单宁-呋喃泡沫,腐殖质是一种通过果糖高温酸处理得到的聚呋喃材料。闭孔泡沫在室温下制备并固化,而开孔泡沫在80℃下制备并固化,这是由于溶剂蒸发更剧烈。这些泡沫似乎呈现出与其他仅基于糠醇的单宁-呋喃泡沫相似的特性。已经定义了一系列单宁-腐殖质-糠醇低聚物结构,表明所有三种试剂都能共同反应。腐殖质似乎能与缩合单宁很好地反应,甚至是更高分子量的腐殖质物种,即使在环境温度下也是如此,但它们的反应比糠醇慢。这是由于它们的平均分子量高和粘度高,导致它们与其他物种的反应受扩散控制。因此,溶剂的少量增加会导致泡沫的裂缝和开孔结构减少。结果表明,糠醇似乎不仅作为共同试剂和自聚合热发生器用于泡沫膨胀和硬化,还起到腐殖质溶剂的作用。不同泡沫的应力-应变曲线表明,腐殖质比例最低和最高的泡沫都具有较高的抗压强度,即糠醇或腐殖质占主导比例时。因此,由于它们随着比例增加到一定临界水平时反应较慢,在泡沫的膨胀/固化时间内,按比例会有更多的腐殖质参与反应。

https://cdn.ncbi.nlm.nih.gov/pmc/blobs/9ce5/7698803/312c605a2bb5/polymers-12-02732-sch001.jpg

文献AI研究员

20分钟写一篇综述,助力文献阅读效率提升50倍。

立即体验

用中文搜PubMed

大模型驱动的PubMed中文搜索引擎

马上搜索

文档翻译

学术文献翻译模型,支持多种主流文档格式。

立即体验