Schiza Aglaia, Mauri Davide, Fredriksson Irma, Valachis Antonios
Science for Life Laboratory, Department of Immunology, Genetics and Pathology, Uppsala University, Dag Hammarskjoldsvag 20, 751 85, Uppsala, Sweden.
Department of Oncology, Uppsala University Hospital, 751 85, Uppsala, Sweden.
Breast Cancer Res Treat. 2021 Apr;186(3):779-789. doi: 10.1007/s10549-020-06022-5. Epub 2020 Nov 30.
There are conflicting results on the potential role of HER2-status on the efficacy of aromatase inhibitors (AIs) and tamoxifen (TAM) in patients with hormone receptor (HR)-positive breast cancer (BC). The purpose of this population-based cohort study was to investigate the potential benefit of AIs compared to TAM as adjuvant therapy in postmenopausal BC patients by HER2-status in the era of modern therapy with HER2-blockade.
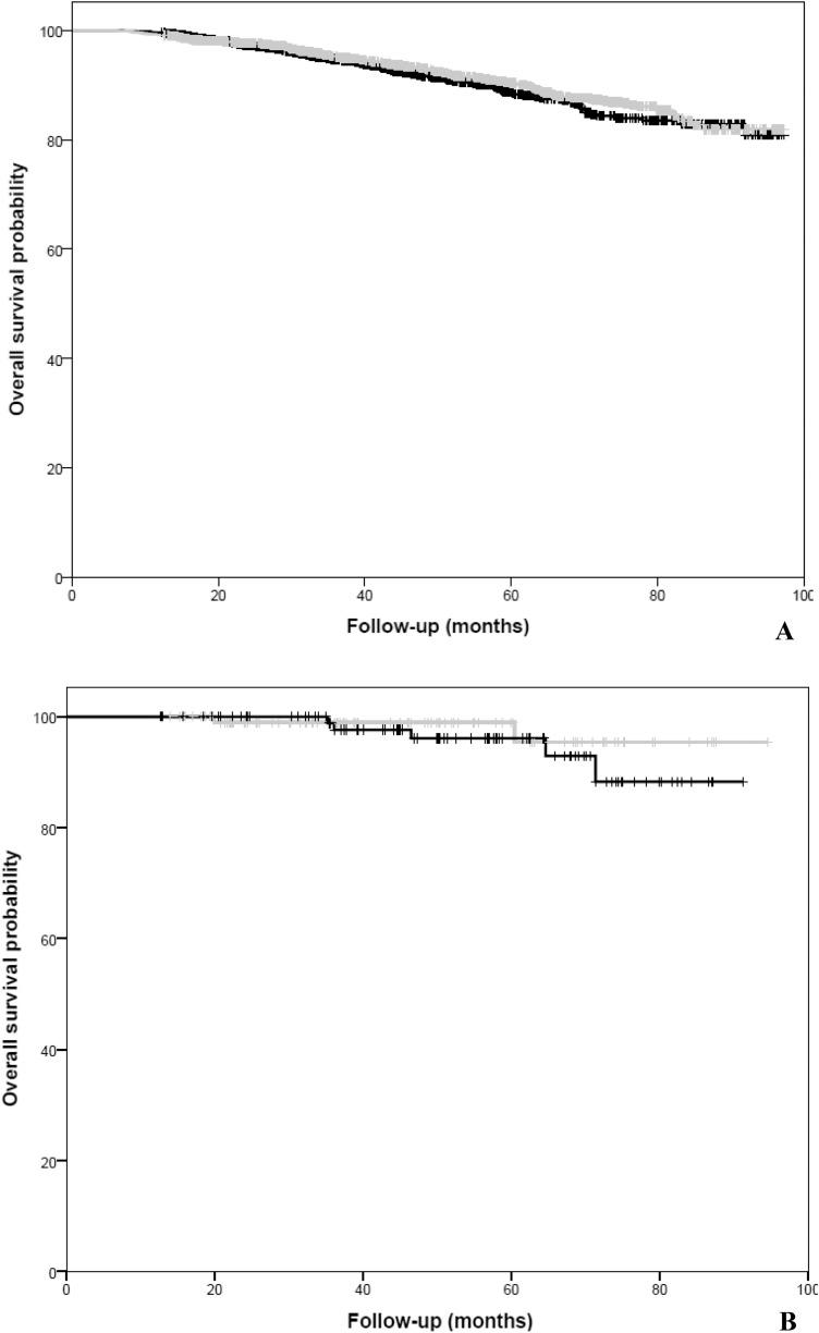
A population-based cohort study was performed including all postmenopausal women diagnosed with HR-positive BC without distant metastasis between 2007 and 2012 in three healthcare regions in Sweden. We analyzed the breast cancer-specific survival (BCSS) and overall survival (OS) in two distinct cohorts (HER2-negative, HER2-positive) based on the type of endocrine therapy (ET) used. A propensity score matching was performed separately in the HER2-negative and HER2-positive cohorts, respectively.
After propensity score matching, 4368 patients with HER2-negative and 214 patients with HER2-positive BC were available for analysis. In the HER2-negative cohort, an improved BCSS [Hazard Ratio (HR): 0.51; 95% confidence interval (CI): 0.34-0.77, p value < 0.001] and a trend toward improved OS (HR: 0.66; 95% CI: 0.41-1.08, p value = 0.093) in favor of AI-based therapy was observed. In the HER2-positive cohort, no statistically significant difference between AI-based ET and TAM was found in terms of either BCSS or OS, although the direction of HR was similar as in the HER2-negative cohort (HR for BCSS: 0.84; 95% CI: 0.14-5.04, p = 0.849; HR for OS: 0.62; 95% CI: 0.10-3.38, p = 0.345).
Our study results, based on propensity-matched cohorts, did not support any predictive value of HER2-status on endocrine therapy in postmenopausal BC patients. AI-based ET remains the treatment of choice for postmenopausal BC patients with HR-positive disease in the modern era of HER2-directed therapy irrespective of HER2-status.
关于人表皮生长因子受体2(HER2)状态对激素受体(HR)阳性乳腺癌(BC)患者芳香化酶抑制剂(AI)和他莫昔芬(TAM)疗效的潜在作用,研究结果存在冲突。本基于人群的队列研究旨在探讨在HER2阻断的现代治疗时代,绝经后BC患者中,与TAM相比,AI作为辅助治疗的潜在益处,并按HER2状态进行分析。
开展一项基于人群的队列研究,纳入2007年至2012年期间在瑞典三个医疗保健地区诊断为HR阳性且无远处转移的所有绝经后女性。我们根据所使用的内分泌治疗(ET)类型,在两个不同队列(HER2阴性、HER2阳性)中分析乳腺癌特异性生存(BCSS)和总生存(OS)情况。分别在HER2阴性和HER2阳性队列中进行倾向评分匹配。
倾向评分匹配后,有4368例HER2阴性和214例HER2阳性BC患者可供分析。在HER2阴性队列中,观察到基于AI的治疗有利于改善BCSS[风险比(HR):0.51;95%置信区间(CI):0.34 - 0.77,p值<0.001],且OS有改善趋势(HR:0.66;95%CI:0.41 - 1.08,p值 = 0.093)。在HER2阳性队列中,基于AI的ET与TAM在BCSS或OS方面均未发现统计学显著差异,尽管HR方向与HER2阴性队列相似(BCSS的HR:0.84;95%CI:0.14 - 5.04,p = 0.849;OS的HR:0.62;95%CI:0.10 - 3.38),p = 0.345)。
我们基于倾向评分匹配队列的研究结果不支持HER2状态对绝经后BC患者内分泌治疗具有任何预测价值。在HER2靶向治疗的现代时代,无论HER2状态如何,基于AI的ET仍然是HR阳性绝经后BC患者的首选治疗方法。