• 文献检索
  • 文档翻译
  • 深度研究
  • 学术资讯
  • Suppr Zotero 插件Zotero 插件
  • 邀请有礼
  • 套餐&价格
  • 历史记录
应用&插件
Suppr Zotero 插件Zotero 插件浏览器插件Mac 客户端Windows 客户端微信小程序
定价
高级版会员购买积分包购买API积分包
服务
文献检索文档翻译深度研究API 文档MCP 服务
关于我们
关于 Suppr公司介绍联系我们用户协议隐私条款
关注我们

Suppr 超能文献

核心技术专利:CN118964589B侵权必究
粤ICP备2023148730 号-1Suppr @ 2026

文献检索

告别复杂PubMed语法,用中文像聊天一样搜索,搜遍4000万医学文献。AI智能推荐,让科研检索更轻松。

立即免费搜索

文件翻译

保留排版,准确专业,支持PDF/Word/PPT等文件格式,支持 12+语言互译。

免费翻译文档

深度研究

AI帮你快速写综述,25分钟生成高质量综述,智能提取关键信息,辅助科研写作。

立即免费体验

使用广义聚集种群平衡方程对尺寸和组成分布的同时演变进行表征

Characterization of Simultaneous Evolution of Size and Composition Distributions Using Generalized Aggregation Population Balance Equation.

作者信息

Singh Mehakpreet, Kumar Ashish, Shirazian Saeed, Ranade Vivek, Walker Gavin

机构信息

Department of Chemical Sciences, Bernal Institute, University of Limerick, V94 T9PX Limerick, Ireland.

Pharmaceutical Engineering, Faculty of Pharmaceutical Sciences, Ghent University, 9000 Gent, Belgium.

出版信息

Pharmaceutics. 2020 Nov 27;12(12):1152. doi: 10.3390/pharmaceutics12121152.

DOI:10.3390/pharmaceutics12121152
PMID:33260899
原文链接:https://pmc.ncbi.nlm.nih.gov/articles/PMC7760032/
Abstract

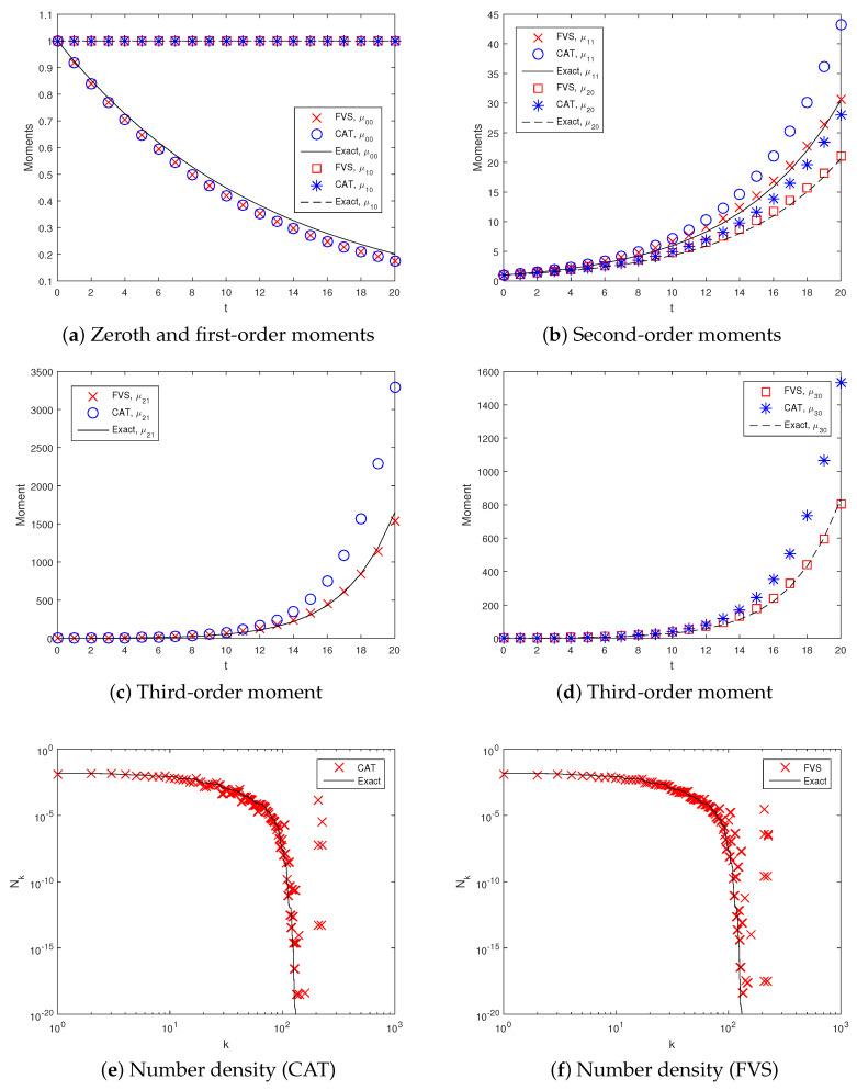
The application of multi-dimensional population balance equations (PBEs) for the simulation of granulation processes is recommended due to the multi-component system. Irrespective of the application area, numerical scheme selection for solving multi-dimensional PBEs is driven by the accuracy in (size) number density prediction alone. However, mixing the components, i.e., the particles (excipients and API) and the binding liquid, plays a crucial role in predicting the granule compositional distribution during the pharmaceutical granulation. A numerical scheme should, therefore, be able to predict this accurately. Here, we compare the cell average technique (CAT) and finite volume scheme (FVS) in terms of their accuracy and applicability in predicting the mixing state. To quantify the degree of mixing in the system, the sum-square χ2 parameter is studied to observe the deviation in the amount binder from its average. It has been illustrated that the accurate prediction of integral moments computed by the FVS leads to an inaccurate prediction of the χ2 parameter for a bicomponent population balance equation. Moreover, the cell average technique (CAT) predicts the moments with moderate accuracy; however, it computes the mixing of components χ2 parameter with higher precision than the finite volume scheme. The numerical testing is performed for some benchmarking kernels corresponding to which the analytical solutions are available in the literature. It will be also shown that both numerical methods equally well predict the average size of the particles formed in the system; however, the finite volume scheme takes less time to compute these results.

摘要

由于多组分系统,推荐应用多维群体平衡方程(PBEs)来模拟制粒过程。无论应用领域如何,求解多维PBEs的数值格式选择仅由(尺寸)数密度预测的准确性驱动。然而,混合各组分,即颗粒(辅料和活性成分)和黏合剂液体,在预测药物制粒过程中的颗粒组成分布方面起着关键作用。因此,一种数值格式应该能够准确地预测这一点。在此,我们在预测混合状态的准确性和适用性方面比较了单元平均技术(CAT)和有限体积格式(FVS)。为了量化系统中的混合程度,研究了平方和χ2参数以观察黏合剂用量与其平均值的偏差。结果表明,对于双组分群体平衡方程,由FVS计算的积分矩的准确预测会导致χ2参数的不准确预测。此外,单元平均技术(CAT)以中等精度预测矩;然而,它计算组分混合χ2参数的精度高于有限体积格式。针对一些基准核进行了数值测试,文献中已有其解析解。还将表明,两种数值方法同样能很好地预测系统中形成的颗粒的平均尺寸;然而,有限体积格式计算这些结果所需的时间更少。

https://cdn.ncbi.nlm.nih.gov/pmc/blobs/f469/7760032/19ea822c29b9/pharmaceutics-12-01152-g006.jpg
https://cdn.ncbi.nlm.nih.gov/pmc/blobs/f469/7760032/ac180ff1cd24/pharmaceutics-12-01152-g001.jpg
https://cdn.ncbi.nlm.nih.gov/pmc/blobs/f469/7760032/c0d4c67c389a/pharmaceutics-12-01152-g002.jpg
https://cdn.ncbi.nlm.nih.gov/pmc/blobs/f469/7760032/ecb3b6e3b49d/pharmaceutics-12-01152-g003.jpg
https://cdn.ncbi.nlm.nih.gov/pmc/blobs/f469/7760032/0f79227dbaca/pharmaceutics-12-01152-g004.jpg
https://cdn.ncbi.nlm.nih.gov/pmc/blobs/f469/7760032/af68761b2aa5/pharmaceutics-12-01152-g005.jpg
https://cdn.ncbi.nlm.nih.gov/pmc/blobs/f469/7760032/19ea822c29b9/pharmaceutics-12-01152-g006.jpg
https://cdn.ncbi.nlm.nih.gov/pmc/blobs/f469/7760032/ac180ff1cd24/pharmaceutics-12-01152-g001.jpg
https://cdn.ncbi.nlm.nih.gov/pmc/blobs/f469/7760032/c0d4c67c389a/pharmaceutics-12-01152-g002.jpg
https://cdn.ncbi.nlm.nih.gov/pmc/blobs/f469/7760032/ecb3b6e3b49d/pharmaceutics-12-01152-g003.jpg
https://cdn.ncbi.nlm.nih.gov/pmc/blobs/f469/7760032/0f79227dbaca/pharmaceutics-12-01152-g004.jpg
https://cdn.ncbi.nlm.nih.gov/pmc/blobs/f469/7760032/af68761b2aa5/pharmaceutics-12-01152-g005.jpg
https://cdn.ncbi.nlm.nih.gov/pmc/blobs/f469/7760032/19ea822c29b9/pharmaceutics-12-01152-g006.jpg

相似文献

1
Characterization of Simultaneous Evolution of Size and Composition Distributions Using Generalized Aggregation Population Balance Equation.使用广义聚集种群平衡方程对尺寸和组成分布的同时演变进行表征
Pharmaceutics. 2020 Nov 27;12(12):1152. doi: 10.3390/pharmaceutics12121152.
2
Mass-based finite volume scheme for aggregation, growth and nucleation population balance equation.用于聚集、生长和成核种群平衡方程的基于质量的有限体积格式。
Proc Math Phys Eng Sci. 2019 Nov;475(2231):20190552. doi: 10.1098/rspa.2019.0552. Epub 2019 Nov 13.
3
A priori performance prediction in pharmaceutical wet granulation: testing the applicability of the nucleation regime map to a formulation with a broad size distribution and dry binder addition.制药湿法制粒中先验性能预测:测试成核区图在具有广泛粒径分布和干粘合剂添加的配方中的适用性。
Int J Pharm. 2011 Oct 14;418(2):254-64. doi: 10.1016/j.ijpharm.2011.04.019. Epub 2011 Apr 16.
4
Multi-dimensional population balance modelling of pharmaceutical formulations for continuous twin-screw wet granulation: Determination of liquid distribution.多维度药物制剂连续双螺杆湿法造粒的颗粒群平衡模型建立:液体分布的测定。
Int J Pharm. 2019 Jul 20;566:352-360. doi: 10.1016/j.ijpharm.2019.06.001. Epub 2019 Jun 3.
5
New Discrete Formulation for Reduced Population Balance Equation: An Illustration to Crystallization.新的简化群体平衡方程离散格式:结晶过程的实例
Pharm Res. 2022 Sep;39(9):2049-2063. doi: 10.1007/s11095-022-03349-0. Epub 2022 Aug 9.
6
Mixing and transport during pharmaceutical twin-screw wet granulation: experimental analysis via chemical imaging.制药双螺杆湿法制粒过程中的混合与输送:通过化学成像进行实验分析
Eur J Pharm Biopharm. 2014 Jul;87(2):279-89. doi: 10.1016/j.ejpb.2014.04.004. Epub 2014 Apr 23.
7
Numerical and similarity solutions for reversible population balance equations with size-dependent rates.
J Colloid Interface Sci. 2002 Feb 15;246(2):356-65. doi: 10.1006/jcis.2001.8073.
8
Assessment of spatial heterogeneity in continuous twin screw wet granulation process using three-compartmental population balance model.使用三腔室颗粒种群平衡模型评估连续双螺杆湿法造粒过程中的空间异质性。
Pharm Dev Technol. 2019 Jan;24(1):105-117. doi: 10.1080/10837450.2018.1427106. Epub 2018 Jan 25.
9
Linking granulation performance with residence time and granulation liquid distributions in twin-screw granulation: An experimental investigation.双螺杆制粒中造粒性能与停留时间及造粒液分布的关联:一项实验研究
Eur J Pharm Sci. 2016 Jul 30;90:25-37. doi: 10.1016/j.ejps.2015.12.021. Epub 2015 Dec 18.
10
Compartmental approach for modelling twin-screw granulation using population balances.采用颗粒群平衡模型对双螺杆造粒进行分区建模。
Int J Pharm. 2020 Feb 25;576:118737. doi: 10.1016/j.ijpharm.2019.118737. Epub 2019 Nov 18.

引用本文的文献

1
New Discrete Formulation for Reduced Population Balance Equation: An Illustration to Crystallization.新的简化群体平衡方程离散格式:结晶过程的实例
Pharm Res. 2022 Sep;39(9):2049-2063. doi: 10.1007/s11095-022-03349-0. Epub 2022 Aug 9.
2
Improvement of a 1D Population Balance Model for Twin-Screw Wet Granulation by Using Identifiability Analysis.基于可识别性分析的双螺杆湿法制粒一维总体平衡模型的改进
Pharmaceutics. 2021 May 11;13(5):692. doi: 10.3390/pharmaceutics13050692.

本文引用的文献

1
Complete two dimensional population balance modelling of wet granulation in twin screw.在双螺杆中进行湿法造粒的二维完整颗粒平衡建模。
Int J Pharm. 2020 Dec 15;591:120018. doi: 10.1016/j.ijpharm.2020.120018. Epub 2020 Oct 26.
2
Mass-based finite volume scheme for aggregation, growth and nucleation population balance equation.用于聚集、生长和成核种群平衡方程的基于质量的有限体积格式。
Proc Math Phys Eng Sci. 2019 Nov;475(2231):20190552. doi: 10.1098/rspa.2019.0552. Epub 2019 Nov 13.
3
Compartmental approach for modelling twin-screw granulation using population balances.
采用颗粒群平衡模型对双螺杆造粒进行分区建模。
Int J Pharm. 2020 Feb 25;576:118737. doi: 10.1016/j.ijpharm.2019.118737. Epub 2019 Nov 18.
4
Multi-dimensional population balance modelling of pharmaceutical formulations for continuous twin-screw wet granulation: Determination of liquid distribution.多维度药物制剂连续双螺杆湿法造粒的颗粒群平衡模型建立:液体分布的测定。
Int J Pharm. 2019 Jul 20;566:352-360. doi: 10.1016/j.ijpharm.2019.06.001. Epub 2019 Jun 3.
5
Model-based analysis of high shear wet granulation from batch to continuous processes in pharmaceutical production--a critical review.基于模型的药物制剂生产中高剪切湿法制粒从批式到连续过程的分析——综述。
Eur J Pharm Biopharm. 2013 Nov;85(3 Pt B):814-32. doi: 10.1016/j.ejpb.2013.09.013. Epub 2013 Sep 20.