Zufiria Pedro J, Barriales-Valbuena Iker
Depto. Matemática Aplicada a las TIC, ETSI Telecomunicación, Universidad Politécnica de Madrid, Avda. Complutense 30, E-28040 Madrid, Spain.
Information Processing and Telecommunications Center (IPTC), Universidad Politécnica de Madrid, E-28040 Madrid, Spain.
Entropy (Basel). 2018 Sep 7;20(9):681. doi: 10.3390/e20090681.
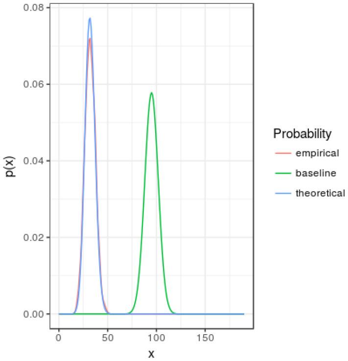
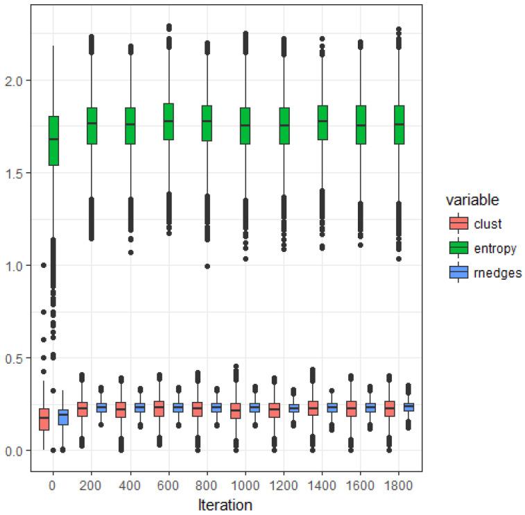
Time evolving Random Network Models are presented as a mathematical framework for modelling and analyzing the evolution of complex networks. This framework allows the analysis over time of several network characterizing features such as link density, clustering coefficient, degree distribution, as well as entropy-based complexity measures, providing new insight on the evolution of random networks. First, some simple dynamic network models, based only on edge density, are analyzed to serve as a baseline reference for assessing more complex models. Then, a model that depends on network structure with the aim of reflecting some characteristics of real networks is also analyzed. Such model shows a more sophisticated behavior with two different regimes, one of them leading to the generation of high clustering coefficient/link density ratio values when compared with the baseline values, as it happens in many real networks. Simulation examples are discussed to illustrate the behavior of the proposed models.
时间演化随机网络模型被提出作为一种用于建模和分析复杂网络演化的数学框架。该框架允许对几个网络特征进行随时间的分析,如链路密度、聚类系数、度分布以及基于熵的复杂性度量,为随机网络的演化提供新的见解。首先,分析一些仅基于边密度的简单动态网络模型,作为评估更复杂模型的基线参考。然后,还分析了一个依赖于网络结构以反映真实网络某些特征的模型。这种模型表现出更复杂的行为,有两种不同的状态,其中一种状态与基线值相比会导致产生高聚类系数/链路密度比值,就像在许多真实网络中那样。讨论了仿真示例以说明所提出模型的行为。