Suppr超能文献

采用碳纤维增强复合材料(CFRP)加固的弯曲木梁受拉区的延性

Ductility of the Tensile Zone in Bent Wooden Beams Strengthened with CFRP Materials.

作者信息

Wdowiak-Postulak Agnieszka, Brol Janusz

机构信息

Faculty of Civil Engineering and Architecture, Kielce University of Technology, 25-314 Kielce, Poland.

Faculty of Civil Engineering, Silesian University of Technology, 44-100 Gliwice, Poland.

出版信息

Materials (Basel). 2020 Nov 30;13(23):5451. doi: 10.3390/ma13235451.

Abstract

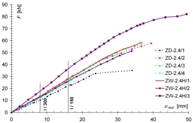
This article presents experimental results from the bending of technical-scale models of beams reinforced in the tension zone with CFRP (Carbon Fiber Reinforced Polymers) materials, with a focus on the benefits resulting from the increased ductility in the tension zone of these beams. In experimental tests, the mechanical properties of reinforced beams were compared with unreinforced beams in terms of the maximum load, deflection, images of damage, stiffness, and distribution of deformation. The results showed that the proposed reinforcement solution was advantageous due to its strength and stiffness, and the safety of the structure. Based on this analysis, it was concluded that the reinforcement of wood with CFRP materials has a positive effect on the behavior and safety of structures. Also, a method of analytical checking of strengthened beams with small cross-sections was presented in the article.

摘要

本文展示了对在受拉区用碳纤维增强聚合物(CFRP)材料加固的梁的技术规模模型进行弯曲试验的结果,重点关注这些梁的受拉区延性增加所带来的益处。在实验测试中,从最大荷载、挠度、损伤图像、刚度和变形分布等方面对加固梁和未加固梁的力学性能进行了比较。结果表明,所提出的加固解决方案因其强度、刚度以及结构安全性而具有优势。基于此分析得出结论,用CFRP材料对木材进行加固对结构的性能和安全性有积极影响。此外,本文还介绍了一种对小横截面加固梁进行分析验算的方法。

https://cdn.ncbi.nlm.nih.gov/pmc/blobs/653c/7731279/f4cb880dbf97/materials-13-05451-g001.jpg

文献检索

告别复杂PubMed语法,用中文像聊天一样搜索,搜遍4000万医学文献。AI智能推荐,让科研检索更轻松。

立即免费搜索

文件翻译

保留排版,准确专业,支持PDF/Word/PPT等文件格式,支持 12+语言互译。

免费翻译文档

深度研究

AI帮你快速写综述,25分钟生成高质量综述,智能提取关键信息,辅助科研写作。

立即免费体验