Suppr超能文献

使用碱性磷酸酶与前白蛋白比值作为胃癌预后的独立预测因素。

Use of the alkaline phosphatase to prealbumin ratio as an independent predictive factor for the prognosis of gastric cancer.

作者信息

Li Yang, Wang Jin-Shen, Guo Yun, Zhang Tao, Li Le-Ping

机构信息

Departments of Gastrointestinal, Shandong Provincial Hospital, Cheeloo College of Medicine, Shandong University, Jinan 250021, Shandong Province, China.

Center for Reproductive Medicine, Cheeloo College of Medicine, Jinan 250012, Shandong Province, China.

出版信息

World J Gastroenterol. 2020 Nov 28;26(44):6963-6978. doi: 10.3748/wjg.v26.i44.6963.

Abstract

BACKGROUND

Gastric cancer (GC) is characterized by a low 5-year survival rate. The prognosis is still not satisfactory although it has significantly improved due to developments in medicine. Thus, the identification of more efficient indices for the evaluation of GC prognosis is required. We propose, for the first time, that the alkaline phosphatase (ALP) to prealbumin (PA) ratio (APR) can be used as an independent prognostic factor in GC.

AIM

To evaluate the prognostic value the APR in GC.

METHODS

According to the exclusion strategy, we collected the preoperative serologic examination results and clinical information of 409 GC patients treated in Shandong Provincial Hospital from January to December, 2016. By calculating the APR, the neutrophil and lymphocyte ratio (NLR), C-reactive protein (CRP) and albumin (ALB) ratio, platelet and lymphocyte ratio, lymphocyte and monocyte ratio, and the relationship with clinical information, we verified the role of preoperative APR ratio in the prognosis of GC. In addition, we used a Cox model combined with the APR and tumor stage to demonstrate its efficacy in assessing the prognosis of GC patients.

RESULTS

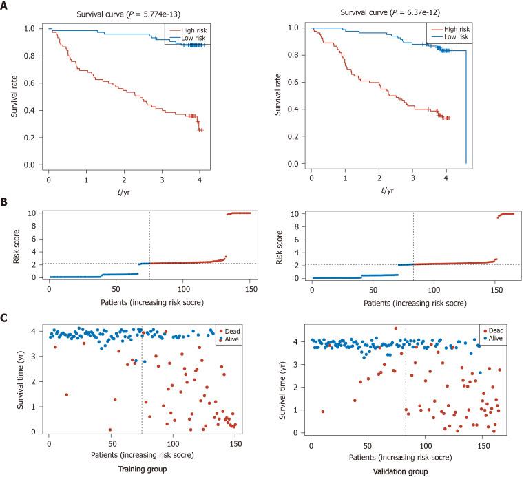
Preoperative APR was an independent prognostic factor for GC. The median age of patients in the APR-high group was greater compared with that in the APR-low group. Patients with a higher APR had a more advanced clinical stage, higher neutrophil to lymphocyte, CRP to ALB, and platelet to lymphocyte ratios, but a lower lymphocyte to monocyte ratio ( < 0.05). The APR-high group also had higher glycoprotein antigen 199 and carbohydrate antigen 125 levels than the APR-low group ( < 0.05). Median overall survival and disease-free survival were significantly longer in the APR-low group than in the APR-high group. In addition, a Cox model based on the APR and tumor stage was more effective in evaluating the prognosis of patients than models based on stage alone or stage plus the NLR.

CONCLUSION

A higher APR is an independent and negative prognostic factor for GC. The prognosis of GC can be better evaluated using a Cox model based on the APR and stage.

摘要

背景

胃癌(GC)的特点是5年生存率低。尽管由于医学发展其预后有了显著改善,但仍不尽人意。因此,需要确定更有效的指标来评估胃癌预后。我们首次提出碱性磷酸酶(ALP)与前白蛋白(PA)的比值(APR)可作为胃癌的独立预后因素。

目的

评估APR在胃癌中的预后价值。

方法

根据排除策略,我们收集了2016年1月至12月在山东省立医院接受治疗的409例胃癌患者的术前血清学检查结果和临床信息。通过计算APR、中性粒细胞与淋巴细胞比值(NLR)、C反应蛋白(CRP)与白蛋白(ALB)比值、血小板与淋巴细胞比值、淋巴细胞与单核细胞比值,并分析其与临床信息的关系,我们验证了术前APR比值在胃癌预后中的作用。此外,我们使用Cox模型结合APR和肿瘤分期来证明其在评估胃癌患者预后方面的有效性。

结果

术前APR是胃癌的独立预后因素。APR高分组患者的中位年龄高于APR低分组。APR较高的患者临床分期更晚,中性粒细胞与淋巴细胞、CRP与ALB、血小板与淋巴细胞的比值更高,但淋巴细胞与单核细胞的比值更低(P<0.05)。APR高分组的糖蛋白抗原199和糖类抗原125水平也高于APR低分组(P<0.05)。APR低分组的中位总生存期和无病生存期明显长于APR高分组。此外,基于APR和肿瘤分期的Cox模型在评估患者预后方面比仅基于分期或分期加NLR的模型更有效。

结论

较高的APR是胃癌的独立负面预后因素。基于APR和分期的Cox模型可以更好地评估胃癌的预后。

https://cdn.ncbi.nlm.nih.gov/pmc/blobs/746b/7701942/4b84d162b834/WJG-26-6963-g001.jpg

文献AI研究员

20分钟写一篇综述,助力文献阅读效率提升50倍。

立即体验

用中文搜PubMed

大模型驱动的PubMed中文搜索引擎

马上搜索

文档翻译

学术文献翻译模型,支持多种主流文档格式。

立即体验