• 文献检索
  • 文档翻译
  • 深度研究
  • 学术资讯
  • Suppr Zotero 插件Zotero 插件
  • 邀请有礼
  • 套餐&价格
  • 历史记录
应用&插件
Suppr Zotero 插件Zotero 插件浏览器插件Mac 客户端Windows 客户端微信小程序
定价
高级版会员购买积分包购买API积分包
服务
文献检索文档翻译深度研究API 文档MCP 服务
关于我们
关于 Suppr公司介绍联系我们用户协议隐私条款
关注我们

Suppr 超能文献

核心技术专利:CN118964589B侵权必究
粤ICP备2023148730 号-1Suppr @ 2026

文献检索

告别复杂PubMed语法,用中文像聊天一样搜索,搜遍4000万医学文献。AI智能推荐,让科研检索更轻松。

立即免费搜索

文件翻译

保留排版,准确专业,支持PDF/Word/PPT等文件格式,支持 12+语言互译。

免费翻译文档

深度研究

AI帮你快速写综述,25分钟生成高质量综述,智能提取关键信息,辅助科研写作。

立即免费体验

超级台风海贝思引发的浊流造成的深海海水位移。

Deep-sea water displacement from a turbidity current induced by the Super Typhoon Hagibis.

作者信息

Kawagucci Shinsuke, Miwa Tetsuya, Lindsay Dhugal J, Ogura Eri, Yamamoto Hiroyuki, Nishibayashi Kenichiro, Yokooka Hiroyuki, Nishi Shotaro, Takahashi Ayu, Lee Sangkyun

机构信息

Super-cutting-edge Grand and Advanced Research (SUGAR) Program, Institute for Extra-cutting-edge Science and Technology Avant-garde Research (X-star), Japan Agency for Marine-Earth Science and Technology (JAMSTEC), Yokosuka, Japan.

Project Team for Developing Innovative Technologies for Exploration of Deep-Sea Resources, Japan Agency for Marine-Earth Science and Technology (JAMSTEC), Tokyo, Japan.

出版信息

PeerJ. 2020 Dec 9;8:e10429. doi: 10.7717/peerj.10429. eCollection 2020.

DOI:10.7717/peerj.10429
PMID:33354420
原文链接:https://pmc.ncbi.nlm.nih.gov/articles/PMC7733332/
Abstract

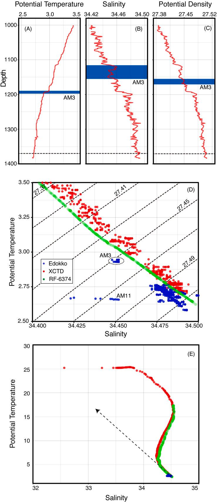
Turbidity currents are the main drivers behind the transportation of terrestrial sediments to the deep sea, and turbidite deposits from such currents have been widely used in geological studies. Nevertheless, the contribution of turbidity currents to vertical displacement of seawater has rarely been discussed. This is partly because until recently, deep-sea turbidity currents have rarely been observed due to their unpredictable nature, being usually triggered by meteorological or geological events such as typhoons and earthquakes. Here, we report a direct observation of a deep-sea turbidity current using the recently developed Edokko Mark 1 monitoring system deployed in 2019 at a depth of 1,370 m in Suruga Bay, central Japan. A turbidity current occurred two days after its probable cause, the Super Typhoon Hagibis (2019), passed through Suruga Bay causing devastating damage. Over aperiod of 40 hours, we observed increased turbidity with turbulent conditions confirmed by a video camera. The turbidity exhibited two sharp peaks around 3:00 and 11:00 on October 14 (Japan Standard Time). The temperature and salinity characteristics during these high turbidity events agreed with independent measurements for shallow water layers in Suruga Bay at the same time, strongly suggesting that the turbidity current caused vertical displacement in the bay's water column by transporting warmer and shallower waters downslope of the canyon. Our results add to the previous few examples that show meteorological and geological events may have significant contributions in the transportation of shallower seawater to the deep sea. Recent technological developments pertaining to the Edokko Mark 1 and similar devices enable straightforward, long-term monitoring of the deep-seafloor and will contribute to the understanding of similar spontaneous events in the deep ocean.

摘要

浊流是陆地沉积物输送至深海的主要驱动力,此类浊流形成的浊积岩已广泛应用于地质研究。然而,浊流对海水垂直位移的贡献却鲜有讨论。部分原因在于,直到最近,深海浊流因其不可预测的性质而很少被观测到,它们通常由台风和地震等气象或地质事件引发。在此,我们报告了一次对深海浊流的直接观测,观测使用了2019年部署在日本中部骏河湾1370米深处的最新开发的江户子Mark 1监测系统。在可能引发此次浊流的超级台风海贝思(2019年)经过骏河湾并造成巨大破坏两天后,发生了一次浊流。在40小时的时间段内,我们观测到浊度增加,摄像机证实了湍流状况。浊度在10月14日(日本标准时间)3:00和11:00左右出现了两个尖峰。这些高浊度事件期间的温度和盐度特征与同时对骏河湾浅水层的独立测量结果一致,有力地表明浊流通过将较温暖和较浅的水体沿峡谷下坡输送,导致了该海湾水柱的垂直位移。我们的结果补充了之前少数几个例子,表明气象和地质事件可能在较浅海水向深海的输送中发挥重大作用。与江户子Mark 1及类似设备相关的最新技术发展使得对深海底进行直接、长期的监测成为可能,并将有助于理解深海中类似的自发事件。

https://cdn.ncbi.nlm.nih.gov/pmc/blobs/a95c/7733332/bc59e1fa2669/peerj-08-10429-g006.jpg
https://cdn.ncbi.nlm.nih.gov/pmc/blobs/a95c/7733332/b5ce501fc2ea/peerj-08-10429-g001.jpg
https://cdn.ncbi.nlm.nih.gov/pmc/blobs/a95c/7733332/b077c0ad2dd6/peerj-08-10429-g002.jpg
https://cdn.ncbi.nlm.nih.gov/pmc/blobs/a95c/7733332/d5351cc9507b/peerj-08-10429-g003.jpg
https://cdn.ncbi.nlm.nih.gov/pmc/blobs/a95c/7733332/30b43796ae11/peerj-08-10429-g004.jpg
https://cdn.ncbi.nlm.nih.gov/pmc/blobs/a95c/7733332/f9428f6c34c6/peerj-08-10429-g005.jpg
https://cdn.ncbi.nlm.nih.gov/pmc/blobs/a95c/7733332/bc59e1fa2669/peerj-08-10429-g006.jpg
https://cdn.ncbi.nlm.nih.gov/pmc/blobs/a95c/7733332/b5ce501fc2ea/peerj-08-10429-g001.jpg
https://cdn.ncbi.nlm.nih.gov/pmc/blobs/a95c/7733332/b077c0ad2dd6/peerj-08-10429-g002.jpg
https://cdn.ncbi.nlm.nih.gov/pmc/blobs/a95c/7733332/d5351cc9507b/peerj-08-10429-g003.jpg
https://cdn.ncbi.nlm.nih.gov/pmc/blobs/a95c/7733332/30b43796ae11/peerj-08-10429-g004.jpg
https://cdn.ncbi.nlm.nih.gov/pmc/blobs/a95c/7733332/f9428f6c34c6/peerj-08-10429-g005.jpg
https://cdn.ncbi.nlm.nih.gov/pmc/blobs/a95c/7733332/bc59e1fa2669/peerj-08-10429-g006.jpg

相似文献

1
Deep-sea water displacement from a turbidity current induced by the Super Typhoon Hagibis.超级台风海贝思引发的浊流造成的深海海水位移。
PeerJ. 2020 Dec 9;8:e10429. doi: 10.7717/peerj.10429. eCollection 2020.
2
Hydroids (Cnidaria, Hydrozoa) from Mauritanian Coral Mounds.来自毛里塔尼亚珊瑚丘的水螅虫纲动物(刺胞动物门,水螅虫纲)。
Zootaxa. 2020 Nov 16;4878(3):zootaxa.4878.3.2. doi: 10.11646/zootaxa.4878.3.2.
3
How typhoons trigger turbidity currents in submarine canyons.台风如何引发海底峡谷中的浊流。
Sci Rep. 2019 Jun 25;9(1):9220. doi: 10.1038/s41598-019-45615-z.
4
A comparative study on source of water masses and nutrient supply in Zhanjiang Bay during the normal summer, rainstorm, and typhoon periods: Insights from dual water isotopes.正常夏季、暴雨和台风期间湛江湾水体来源及营养物质供应的比较研究:双水同位素的启示
Sci Total Environ. 2023 Dec 10;903:166853. doi: 10.1016/j.scitotenv.2023.166853. Epub 2023 Sep 8.
5
Powerful turbidity currents driven by dense basal layers.由密集底层驱动的强大浊流。
Nat Commun. 2018 Oct 5;9(1):4114. doi: 10.1038/s41467-018-06254-6.
6
Occurrence of antifouling biocides and fluorinated alkyl compounds in sediment core from deep sea: Suruga Bay, Tosa Bay, and Nankai tough, Japan.海洋沉积物中防污生物杀灭剂和全氟烷基化合物的出现:日本骏河湾、土佐湾和南海海槽。
Arch Environ Contam Toxicol. 2009 Nov;57(4):661-9. doi: 10.1007/s00244-009-9374-z. Epub 2009 Aug 13.
7
Analysis of organotins in seawater of the Southern Ocean and Suruga Bay, Japan, by gas chromatography/inductively coupled plasma mass spectrometry.
Environ Toxicol Chem. 2007 Apr;26(4):647-54. doi: 10.1897/06-436r.1.
8
Tracks of typhoon movement (left and right sides) control marine dynamics and eco-environment in the coastal bays after typhoons: A case study in Zhanjiang Bay.台风移动轨迹(左右两侧)控制着台风过后沿海海湾的海洋动力学和生态环境:以湛江湾为例
Sci Total Environ. 2024 Feb 20;912:168944. doi: 10.1016/j.scitotenv.2023.168944. Epub 2023 Dec 1.
9
Newly recognized turbidity current structure can explain prolonged flushing of submarine canyons.新发现的浊流结构可以解释海底峡谷的长期冲刷现象。
Sci Adv. 2017 Oct 4;3(10):e1700200. doi: 10.1126/sciadv.1700200. eCollection 2017 Oct.
10
Dynamics of turbidity in gypsum-precipitating brines: The case of the Red Sea - Dead Sea project.石膏沉淀卤水浊度动力学:以红海-死海项目为例。
J Environ Manage. 2021 Jun 15;288:112369. doi: 10.1016/j.jenvman.2021.112369. Epub 2021 Mar 23.

引用本文的文献

1
Millisecond-scale behaviours of plankton quantified in vitro and in situ using the Event-based Vision Sensor.使用基于事件的视觉传感器在体外和原位对浮游生物的毫秒级行为进行量化。
Ecol Evol. 2024 Aug 27;14(8):e70150. doi: 10.1002/ece3.70150. eCollection 2024 Aug.

本文引用的文献

1
Transport and Burial of Microplastics in Deep-Marine Sediments by Turbidity Currents.浊流对深海沉积物中微塑料的搬运与埋藏
Environ Sci Technol. 2020 Apr 7;54(7):4180-4189. doi: 10.1021/acs.est.9b07527. Epub 2020 Mar 13.
2
Direct Monitoring Reveals Initiation of Turbidity Currents From Extremely Dilute River Plumes.直接监测揭示了极稀河羽流中浊流的起始。
Geophys Res Lett. 2019 Oct 28;46(20):11310-11320. doi: 10.1029/2019GL084526. Epub 2019 Oct 29.
3
How typhoons trigger turbidity currents in submarine canyons.台风如何引发海底峡谷中的浊流。
Sci Rep. 2019 Jun 25;9(1):9220. doi: 10.1038/s41598-019-45615-z.
4
Powerful turbidity currents driven by dense basal layers.由密集底层驱动的强大浊流。
Nat Commun. 2018 Oct 5;9(1):4114. doi: 10.1038/s41467-018-06254-6.
5
Newly recognized turbidity current structure can explain prolonged flushing of submarine canyons.新发现的浊流结构可以解释海底峡谷的长期冲刷现象。
Sci Adv. 2017 Oct 4;3(10):e1700200. doi: 10.1126/sciadv.1700200. eCollection 2017 Oct.
6
First wide-angle view of channelized turbidity currents links migrating cyclic steps to flow characteristics.首张广角视角下的渠化浊流图将迁移的旋回阶地与水流特征联系起来。
Nat Commun. 2016 Jun 10;7:11896. doi: 10.1038/ncomms11896.
7
Disturbance of deep-sea environments induced by the M9.0 Tohoku Earthquake.由 M9.0 级东日本大地震引发的深海环境扰动。
Sci Rep. 2012;2:270. doi: 10.1038/srep00270. Epub 2012 Feb 16.
8
Trial of multidisciplinary observation at an expandable sub-marine cabled station "off-hatsushima island observatory" in sagami bay, Japan.日本相模湾羽岛观测所外伸式海底电缆站的多学科观测试验
Sensors (Basel). 2009;9(11):9241-54. doi: 10.3390/s91109241. Epub 2009 Nov 18.