Suppr超能文献

非典型趋化因子受体(ACKR)2和ACKR4在结直肠肿瘤中的双相表达及其与组织病理学结果的关系

Biphasic Expression of Atypical Chemokine Receptor (ACKR) 2 and ACKR4 in Colorectal Neoplasms in Association with Histopathological Findings.

作者信息

Lewandowska Paulina, Wierzbicki Jaroslaw, Zawadzki Marek, Agrawal Anil, Krzystek-Korpacka Małgorzata

机构信息

Department of Medical Biochemistry, Wroclaw Medical University, 50-368 Wroclaw, Poland.

Department of Minimally Invasive Surgery and Proctology, Wroclaw Medical University, 50-556 Wroclaw, Poland.

出版信息

Biomolecules. 2020 Dec 23;11(1):8. doi: 10.3390/biom11010008.

Abstract

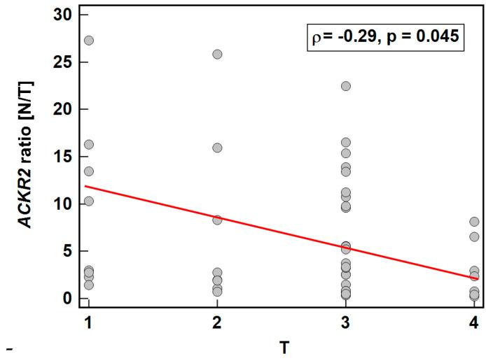
Facilitating resolution of inflammation using atypical chemokine receptors (ACKR) as an anticancer strategy is considered but requires a deeper understanding of receptor role in carcinogenesis. We aimed at transcriptional analysis (RTqPCR) of and expression in colorectal adenoma-adenocarcinoma sequence in paired normal-neoplastic tissues from 96 polyps and 51 cancers. On average, was downregulated in neoplastic as compared to non-affected tissue in polyp (by 2.7-fold) and cancer (by 3.1-fold) patients. The maximal downregulation (by 8.2-fold) was observed in adenomas with the highest potential for malignancy and was gradually lessening through cancer stages I-IV, owing to increased receptor expression in tumors. On average, was significantly downregulated solely in adenocarcinomas (by 1.5-fold), less so in patients with lymph node metastasis, owing to a gradual decrease in expression among N0-N1-N2 cancers in non-affected tissue without changes in tumors. In adenomas, downregulation in neoplastic tissue increased with increasing potential for malignancy and contribution of villous growth pattern. expression increased in non-affected tissue with a concomitant decrease in pathological mucosa. In conclusion, the changes in ACKRs expression occur already in precancerous colorectal lesions, culminating in the adenomas with the highest potential for malignancy. Therefore, chemoprevention by manipulating ACKRs' expression is worth exploration.

摘要

利用非典型趋化因子受体(ACKR)促进炎症消退作为一种抗癌策略已被考虑,但需要更深入了解该受体在致癌过程中的作用。我们旨在对96例息肉和51例癌症患者的配对正常-肿瘤组织的大肠腺瘤-腺癌序列中的[具体基因1]和[具体基因2]表达进行转录分析(RTqPCR)。平均而言,与息肉(降低2.7倍)和癌症(降低3.1倍)患者的未受影响组织相比,[具体基因1]在肿瘤组织中下调。在具有最高恶性潜能的腺瘤中观察到最大下调(8.2倍),并且由于肿瘤中受体表达增加,在癌症I-IV期逐渐减轻。平均而言,[具体基因2]仅在腺癌中显著下调(1.5倍),在有淋巴结转移的患者中下调程度较小,这是由于在未受影响组织中N0-N1-N2癌症之间[具体基因2]表达逐渐降低,而肿瘤中无变化。在腺瘤中,肿瘤组织中[具体基因2]的下调随着恶性潜能增加和绒毛生长模式的贡献而增加。在未受影响组织中[具体基因2]表达增加,同时病理黏膜减少。总之,ACKRs表达的变化在结直肠癌前病变中就已出现,在具有最高恶性潜能的腺瘤中达到顶峰。因此,通过操纵ACKRs表达进行化学预防值得探索。

https://cdn.ncbi.nlm.nih.gov/pmc/blobs/7a3d/7824260/b9218fc71396/biomolecules-11-00008-g001.jpg

文献检索

告别复杂PubMed语法,用中文像聊天一样搜索,搜遍4000万医学文献。AI智能推荐,让科研检索更轻松。

立即免费搜索

文件翻译

保留排版,准确专业,支持PDF/Word/PPT等文件格式,支持 12+语言互译。

免费翻译文档

深度研究

AI帮你快速写综述,25分钟生成高质量综述,智能提取关键信息,辅助科研写作。

立即免费体验