Suppr超能文献

在沿海水体浊度增加背景下,鳗草对水深和光照可利用性的响应:对保护和恢复的启示

Responses of the Eelgrass L. to Water Depth and Light Availability in the Context of Increasing Coastal Water Turbidity: Implications for Conservation and Restoration.

作者信息

Xu Shaochun, Wang Pengmei, Wang Feng, Liu Peng, Liu Bingjian, Zhang Xiaomei, Yue Shidong, Zhang Yu, Zhou Yi

机构信息

CAS Key Laboratory of Marine Ecology and Environmental Sciences, Institute of Oceanology, Chinese Academy of Sciences, Qingdao, China.

Laboratory for Marine Ecology and Environmental Science, Qingdao National Laboratory for Marine Science and Technology, Qingdao, China.

出版信息

Front Plant Sci. 2020 Dec 15;11:582557. doi: 10.3389/fpls.2020.582557. eCollection 2020.

Abstract

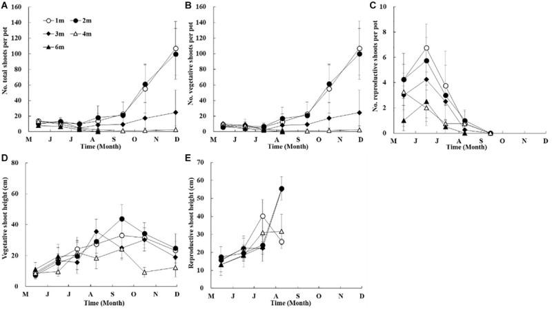
Accelerating losses of seagrass meadows has led to efforts to restore these highly productive and beneficial ecosystems globally. Depth and light availability are critical determinants of seagrass restoration success. Eelgrass ( L.) is the dominant seagrass species in the temperate northern hemisphere, but its global distribution has reduced dramatically. The main aims of this study were to determine: (1) the depth limit for survival in Ailian Bay, north China, and (2) how light availability affects the growth and recruitment of as a basis for identifying a suitable depth range for successful restoration. To achieve these aims, shoots were transplanted from a nearby donor site, Swan Lake, to an experimental site, Ailian Bay, and the temporal responses of shoots to light availability at water depths ranging from 1 to 8 m were investigated using suspended cultures. Four suspended shoot transplantation experiments were conducted in 4 years. The results showed that the transplanted shoots could survive and branch during an annual growth cycle, permanently underwater, at a depth ≤3 m. Due to the local turbidity of the waters in Ailian Bay, a depth of 4 m led to sufficient light deprivation (reduced to 6.48-10.08% of surface irradiance) to negatively affect seagrass shoot density and clonal reproduction. In addition, reproductive shoot density also tended to decline with water depth and light deprivation. Our results indicated that population recruitment, through sexual and asexual (clonal growth) reproduction, were negatively affected by increasing water depth and light deprivation. These findings may provide a suitable depth range for the successful restoration of in local coastal waters. They may also be applied to the management and restoration of globally.

摘要

海草草甸的加速损失促使全球范围内努力恢复这些高产且有益的生态系统。深度和光照可用性是海草恢复成功的关键决定因素。鳗草(L.)是北半球温带地区的主要海草物种,但其全球分布已大幅减少。本研究的主要目的是确定:(1)中国北方爱莲湾鳗草生存的深度极限,以及(2)光照可用性如何影响鳗草的生长和繁殖,以此作为确定成功恢复的合适深度范围的依据。为实现这些目标,将鳗草茎从附近的供体地点天鹅湖移植到实验地点爱莲湾,并使用悬浮培养法研究了鳗草茎在1至8米水深范围内对光照可用性的时间响应。在4年中进行了4次悬浮茎移植实验。结果表明,移植的鳗草茎在每年的生长周期内能够在≤3米的深度永久水下存活并分枝。由于爱莲湾水体的局部浑浊,4米的深度导致光照严重不足(降至表面辐照度的6.48 - 10.08%),对海草茎密度和克隆繁殖产生负面影响。此外,生殖茎密度也倾向于随着水深和光照不足而下降。我们的结果表明,鳗草种群通过有性和无性(克隆生长)繁殖的补充受到水深增加和光照不足的负面影响。这些发现可能为当地沿海水域成功恢复鳗草提供合适的深度范围。它们也可能应用于全球范围内鳗草的管理和恢复。

https://cdn.ncbi.nlm.nih.gov/pmc/blobs/a7cd/7769823/75d8b7c4a895/fpls-11-582557-g001.jpg

文献检索

告别复杂PubMed语法,用中文像聊天一样搜索,搜遍4000万医学文献。AI智能推荐,让科研检索更轻松。

立即免费搜索

文件翻译

保留排版,准确专业,支持PDF/Word/PPT等文件格式,支持 12+语言互译。

免费翻译文档

深度研究

AI帮你快速写综述,25分钟生成高质量综述,智能提取关键信息,辅助科研写作。

立即免费体验