Suppr超能文献

两种儿科复苏带的验证

Validation of two pediatric resuscitation tapes.

作者信息

Ong Glorilyn Joyce, Dy Elaine

机构信息

Department of Emergency Medicine Acute and Critical Care Institute The Medical City-Ortigas Pasig City Philippines.

出版信息

J Am Coll Emerg Physicians Open. 2020 Sep 28;1(6):1587-1593. doi: 10.1002/emp2.12255. eCollection 2020 Dec.

Abstract

OBJECTIVE

This study aims to compare the actual weights of Filipino children with their estimated weights obtained from the Broselow tape and the Pediatric Advanced Weight Prediction in the Emergency Room eXtra Length-Mid-arm Circumference (PAWPER XL-MAC) tape.

METHODS

A prospective, observational, cross-sectional study conducted among Filipino children admitted at the Pediatric Emergency Department (ED) of The Medical City in Pasig City, Philippines. Mean percentage error (MPE) determined bias. Modified Bland-Altman analysis was used to perform a visual comparison of the bias and extent of agreement. The proportion of weight estimates within 10% ( ) and within 20% ( ) of actual weight was calculated to determine the overall accuracy.

RESULTS

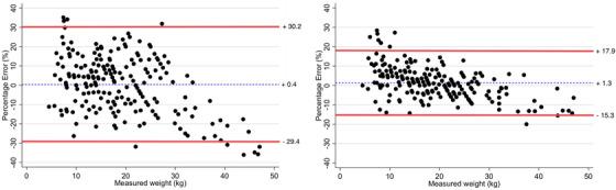
A total of 220 Filipino children (63.2% male) were recruited. Both the Broselow and PAWPER XL-MAC tapes overestimate the actual weight by an average of 0.4% (95% limit of agreement [LOA] -29.4 to 30.2) and 1.3% (95% LOA -15.3 to 17.9) respectively. Across body mass index (BMI) groups, both tapes overestimate (MPE: +19.2 and +9.3) weight among underweight children and underestimate (MPE: -13.2 and -3.5; MPE: -18.6 and -5.5) weight among overweight and obese children. In measuring estimated weight within 10% and 20% of actual weight, the PAWPER XL-MAC performed best (79.6% and 96.8%).

CONCLUSION

The PAWPER XL-MAC tape performed better as a weight estimation tool compared to Broselow tape across different age groups and BMI-for-age groups of Filipino children. Both tapes tend to overestimate weight among younger and underweight children while underestimating weight among ages 7 to 10 years old, overweight, or obese children.

摘要

目的

本研究旨在比较菲律宾儿童的实际体重与通过 Broselow 卷尺和急诊室儿科高级体重预测超长臂围(PAWPER XL-MAC)卷尺获得的估计体重。

方法

在菲律宾帕西格市医疗城儿科急诊科收治的菲律宾儿童中进行了一项前瞻性、观察性横断面研究。平均百分比误差(MPE)确定偏差。采用改良 Bland-Altman 分析对偏差和一致性程度进行直观比较。计算估计体重在实际体重的 10%( )和 20%( )范围内的比例,以确定总体准确性。

结果

共招募了 220 名菲律宾儿童(63.2%为男性)。Broselow 卷尺和 PAWPER XL-MAC 卷尺分别平均高估实际体重 0.4%(95%一致性界限[LOA] -29.4 至 30.2)和 1.3%(95% LOA -15.3 至 17.9)。在各个体重指数(BMI)组中,两种卷尺在体重不足的儿童中高估体重(MPE:+19.2 和 +9.3),而在超重和肥胖儿童中低估体重(MPE:-13.2 和 -3.5;MPE:-18.6 和 -5.5)。在测量估计体重在实际体重的 10%和 20%范围内时,PAWPER XL-MAC 表现最佳(79.6%和 96.8%)。

结论

与 Broselow 卷尺相比,PAWPER XL-MAC 卷尺作为不同年龄组和年龄别 BMI 组的菲律宾儿童体重估计工具表现更好。两种卷尺在年龄较小和体重不足的儿童中往往高估体重,而在 7 至 10 岁、超重或肥胖的儿童中低估体重。

https://cdn.ncbi.nlm.nih.gov/pmc/blobs/7084/7771804/67c1472eef14/EMP2-1-1587-g001.jpg

文献AI研究员

20分钟写一篇综述,助力文献阅读效率提升50倍。

立即体验

用中文搜PubMed

大模型驱动的PubMed中文搜索引擎

马上搜索

文档翻译

学术文献翻译模型,支持多种主流文档格式。

立即体验