Suppr超能文献

轨迹日志分析和基于锥形束CT的每日剂量计算,以研究妇科癌症调强放射治疗的剂量学准确性。

Trajectory log analysis and cone-beam CT-based daily dose calculation to investigate the dosimetric accuracy of intensity-modulated radiotherapy for gynecologic cancer.

作者信息

Utena Yohei, Takatsu Jun, Sugimoto Satoru, Sasai Keisuke

机构信息

Department of Radiation Oncology, Graduate School of Medicine, Juntendo University, Tokyo, Japan.

Department of Radiology, Toranomon Hospital, Tokyo, Japan.

出版信息

J Appl Clin Med Phys. 2021 Feb;22(2):108-117. doi: 10.1002/acm2.13163. Epub 2021 Jan 10.

Abstract

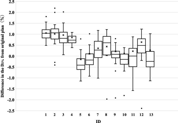
This study evaluated unexpected dosimetric errors caused by machine control accuracy, patient setup errors, and patient weight changes/internal organ deformations. Trajectory log files for 13 gynecologic plans with seven- or nine-beam dynamic multileaf collimator (MLC) intensity-modulated radiation therapy (IMRT), and differences between expected and actual MLC positions and MUs were evaluated. Effects of patient setup errors on dosimetry were estimated by in-house software. To simulate residual patient setup errors after image-guided patient repositioning, planned dose distributions were recalculated (blurred dose) after the positions were randomly moved in three dimensions 0-2 mm (translation) and 0°-2° (rotation) 28 times per patient. Differences between planned and blurred doses in the clinical target volume (CTV) D and D were evaluated. Daily delivered doses were calculated from cone-beam computed tomography by the Hounsfield unit-to-density conversion method. Fractional and accumulated dose differences between original plans and actual delivery were evaluated by CTV D and D . The significance of accumulated doses was tested by the paired t test. Trajectory log file analysis showed that MLC positional errors were -0.01 ± 0.02 mm and MU delivery errors were 0.10 ± 0.10 MU. Differences in CTV D and D were <0.5% for simulated patient setup errors. Differences in CTV D and D were 2.4% or less between the fractional planned and delivered doses, but were 1.7% or less for the accumulated dose. Dosimetric errors were primarily caused by patient weight changes and internal organ deformation in gynecologic radiation therapy.

摘要

本研究评估了由机器控制精度、患者摆位误差以及患者体重变化/内部器官变形所导致的意外剂量误差。对13例采用七野或九野动态多叶准直器(MLC)调强放射治疗(IMRT)的妇科计划的轨迹日志文件,以及预期和实际MLC位置与监测单位(MU)之间的差异进行了评估。通过内部软件估计患者摆位误差对剂量测定的影响。为模拟图像引导下患者重新定位后的残余患者摆位误差,在每位患者的位置在三维空间中随机移动0 - 2毫米(平移)和0° - 2°(旋转)28次后,重新计算计划剂量分布(模糊剂量)。评估临床靶区(CTV)中计划剂量与模糊剂量在D和D方面的差异。通过Hounsfield单位到密度转换方法,根据锥形束计算机断层扫描计算每日输送剂量。通过CTV的D和D评估原始计划与实际输送剂量之间的分次剂量和累积剂量差异。累积剂量的显著性通过配对t检验进行检验。轨迹日志文件分析表明,MLC位置误差为 -0.01±0.02毫米,MU输送误差为0.10±0.10 MU。对于模拟的患者摆位误差,CTV的D和D差异<0.5%。分次计划剂量与输送剂量之间CTV的D和D差异为2.4%或更小,但累积剂量差异为1.7%或更小。在妇科放射治疗中,剂量误差主要由患者体重变化和内部器官变形引起。

https://cdn.ncbi.nlm.nih.gov/pmc/blobs/1fce/7882102/dbb83873dfd5/ACM2-22-108-g001.jpg

文献AI研究员

20分钟写一篇综述,助力文献阅读效率提升50倍。

立即体验

用中文搜PubMed

大模型驱动的PubMed中文搜索引擎

马上搜索

文档翻译

学术文献翻译模型,支持多种主流文档格式。

立即体验