Suppr超能文献

CRISPR/Cas9 诱导的人细胞色素 P450 还原酶和细胞色素 b5 基因敲除对 HepaRG 细胞中细胞色素 P450 的差异影响。

Differential effects on human cytochromes P450 by CRISPR/Cas9-induced genetic knockout of cytochrome P450 reductase and cytochrome b5 in HepaRG cells.

机构信息

Dr. Margarete Fischer-Bosch Institute of Clinical Pharmacology, Stuttgart, Germany.

Eberhard Karls University Tuebingen, Tuebingen, Germany.

出版信息

Sci Rep. 2021 Jan 13;11(1):1000. doi: 10.1038/s41598-020-79952-1.

Abstract

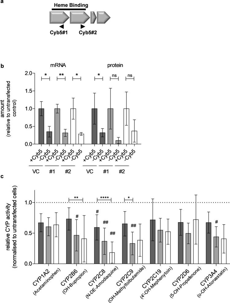
HepaRG cells are increasingly accepted as model for human drug metabolism and other hepatic functions. We used lentiviral transduction of undifferentiated HepaRG cells to deliver Cas9 and two alternative sgRNAs targeted at NADPH:cytochrome P450 oxidoreductase (POR), the obligate electron donor for microsomal cytochromes P450 (CYP). Cas9-expressing HepaRG (vector control) cells were phenotypically similar to wild type HepaRG cells and could be differentiated into hepatocyte-like cells by DMSO. Genetic POR-knockout resulted in phenotypic POR knockdown of up to 90% at mRNA, protein, and activity levels. LC-MS/MS measurement of seven CYP-activities showed differential effects of POR-knockdown with CYP2C8 being least and CYP2C9 being most affected. Further studies on cytochrome b5 (CYB5), an alternative NADH-dependent electron donor indicated particularly strong support of CYP2C8-dependent amodiaquine N-deethylation by CYB5 and this was confirmed by genetic CYB5 single- and POR/CYB5 double-knockout. POR-knockdown also affected CYP expression on mRNA and protein level, with CYP1A2 being induced severalfold, while CYP2C9 was strongly downregulated. In summary our results show that POR/NADPH- and CYB5/NADH-electron transport systems influence human drug metabolizing CYPs differentially and differently than mouse Cyps. Our Cas9-expressing HepaRG cells should be suitable to study the influence of diverse genes on drug metabolism and other hepatic functions.

摘要

HepaRG 细胞越来越被接受为人类药物代谢和其他肝功能的模型。我们使用未分化 HepaRG 细胞的慢病毒转导来递送 Cas9 和两个靶向 NADPH:细胞色素 P450 氧化还原酶 (POR) 的替代 sgRNA,POR 是细胞色素 P450 (CYP) 微粒体的必需电子供体。表达 Cas9 的 HepaRG(载体对照)细胞在表型上与野生型 HepaRG 细胞相似,并且可以通过 DMSO 分化为肝样细胞。遗传 POR 敲除导致 mRNA、蛋白质和活性水平的 POR 敲低高达 90%。七种 CYP 活性的 LC-MS/MS 测量显示 POR 敲除的差异影响,CYP2C8 的影响最小,CYP2C9 的影响最大。对细胞色素 b5 (CYB5) 的进一步研究,一种替代的 NADH 依赖性电子供体,表明 CYP2C8 依赖性阿莫地喹 N-去乙基化得到 CYB5 的特别强烈支持,这通过遗传 CYB5 单敲除和 POR/CYB5 双敲除得到证实。POR 敲除还影响 CYP 在 mRNA 和蛋白质水平上的表达,CYP1A2 被诱导几倍,而 CYP2C9 则被强烈下调。总之,我们的结果表明 POR/NADPH 和 CYB5/NADH 电子传递系统对人类药物代谢 CYP 的影响与对小鼠 Cyps 的影响不同。我们表达 Cas9 的 HepaRG 细胞应该适合研究不同基因对药物代谢和其他肝功能的影响。

https://cdn.ncbi.nlm.nih.gov/pmc/blobs/27b3/7806635/a6ff2175d634/41598_2020_79952_Fig1_HTML.jpg

文献AI研究员

20分钟写一篇综述,助力文献阅读效率提升50倍。

立即体验

用中文搜PubMed

大模型驱动的PubMed中文搜索引擎

马上搜索

文档翻译

学术文献翻译模型,支持多种主流文档格式。

立即体验