Suppr超能文献

中国东部某单一机构心脏黏液瘤患者缺血性中风并发症的特征

Characterizations of Ischemic Stroke Complications in Cardiac Myxoma Patients at a Single Institution in Eastern China.

作者信息

Zhang Yanlei, Ye Zusen, Fu Yun, Zhang Zheng, Ye Qiang, Chen Feichi, Cheng Jianhua

机构信息

Department of Neurology, The First Affiliated Hospital of Wenzhou Medical University, Wenzhou, Zhejiang Province 325000, People's Republic of China.

Department of Cardiac Surgery, The First Affiliated Hospital of Wenzhou Medical University, Wenzhou, Zhejiang Province 325000, People's Republic of China.

出版信息

Neuropsychiatr Dis Treat. 2021 Jan 7;17:33-40. doi: 10.2147/NDT.S280641. eCollection 2021.

Abstract

BACKGROUND

Cardiac myxoma is the most common primary cardiac tumor. Even though it rarely causes a stroke, it is an important risk factor. Here, we compared our clinical experience in managing myxoma patients who developed stroke complications with those who did not present with this condition at the First Affiliated Hospital of Wenzhou Medical University.

PATIENTS AND METHODS

The medical records were reviewed of 160 cardiac myxoma patients who were treated in our facility from January 2006 to December 2019. They were separated into either a stroke group or non-stroke group.

RESULTS

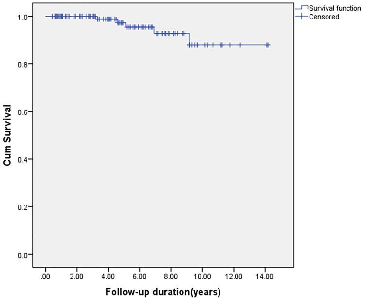
Cardiac obstructive symptoms, embolic events and constitutional symptoms were observed in 92 (57.7%), 25 (15.6%) and 18 (11.2%) patients, respectively. Among 23 cardiac myxoma ischemic stroke patients, hypoesthesia (60.9%), hemiparesis (56.5%) and facial paresis (47.8%) were the three most common neurological symptoms. The middle cerebral artery (82.6%) was the most commonly affected vessel, whereas 73.9% of the ischemic patients had multiple stroke lesions. Binary logistic regression analysis showed that coronary heart disease and tumor sizes were independently associated in the stroke group (p <0.05). The 10 years cumulative survival rate was 87.9% for all patients after surgical intervention. There was no significant difference in the 10 years cumulative survival rate between the two groups (80.0% vs 88.9%, p =0.274 > 0.05).

CONCLUSION

The three most common neurological symptoms (hypoesthesia, hemiparesis and facial paresis), the middle cerebral artery and multiple lesions involvements were the definitive markers of patients afflicted with cardiac myxoma stroke. Small tumor sizes were independently associated with these patients. Surgical resection is a relatively safe procedure for treating both the stroke and non-stroke patients.

摘要

背景

心脏黏液瘤是最常见的原发性心脏肿瘤。尽管它很少导致中风,但却是一个重要的危险因素。在此,我们比较了温州医科大学附属第一医院在处理出现中风并发症的黏液瘤患者与未出现该情况的黏液瘤患者方面的临床经验。

患者与方法

回顾了2006年1月至2019年12月在我院接受治疗的160例心脏黏液瘤患者的病历。他们被分为中风组或非中风组。

结果

分别有92例(57.7%)、25例(15.6%)和18例(11.2%)患者出现心脏梗阻症状、栓塞事件和全身症状。在23例心脏黏液瘤缺血性中风患者中,感觉减退(60.9%)、偏瘫(56.5%)和面瘫(47.8%)是三种最常见的神经症状。大脑中动脉(82.6%)是最常受累的血管,而73.9%的缺血患者有多个中风病灶。二元逻辑回归分析显示,冠心病和肿瘤大小在中风组中独立相关(p<0.05)。手术干预后所有患者的10年累积生存率为87.9%。两组之间的10年累积生存率无显著差异(80.0%对88.9%,p = 0.274>0.05)。

结论

三种最常见的神经症状(感觉减退、偏瘫和面瘫)、大脑中动脉以及多个病灶受累是患有心脏黏液瘤中风患者的明确标志。小肿瘤大小与这些患者独立相关。手术切除对于治疗中风和非中风患者都是相对安全的手术。

https://cdn.ncbi.nlm.nih.gov/pmc/blobs/6145/7800702/03f6e326e613/NDT-17-33-g0001.jpg

相似文献

1
Characterizations of Ischemic Stroke Complications in Cardiac Myxoma Patients at a Single Institution in Eastern China.
Neuropsychiatr Dis Treat. 2021 Jan 7;17:33-40. doi: 10.2147/NDT.S280641. eCollection 2021.
2
Eleven years' experience with Korean cardiac myxoma patients: focus on embolic complications.
Cerebrovasc Dis. 2012;33(5):471-9. doi: 10.1159/000335830. Epub 2012 Apr 19.
3
Neuroimaging Findings in Cardiac Myxoma Patients: A Single-Center Case Series of 47 Patients.
Cerebrovasc Dis. 2015;40(1-2):35-44. doi: 10.1159/000381833. Epub 2015 Jun 10.
4
Neurological manifestations of cardiac myxoma: experience in a referral hospital.
Neurologia. 2013 Nov-Dec;28(9):529-34. doi: 10.1016/j.nrl.2013.03.006. Epub 2013 Jun 14.
5
Neurological manifestations of atrial myxoma: A retrospective analysis.
Oncol Lett. 2018 Oct;16(4):4635-4639. doi: 10.3892/ol.2018.9218. Epub 2018 Jul 25.
6
Stroke of a cardiac myxoma origin.
Rev Bras Cir Cardiovasc. 2015 Mar-Apr;30(2):225-34. doi: 10.5935/1678-9741.20150022.
7
[The clinical characteristics of stroke in young patients with cardiac myxoma].
Zhonghua Nei Ke Za Zhi. 2017 Apr 1;56(4):263-267. doi: 10.3760/cma.j.issn.0578-1426.2017.04.005.
8
Clinical features, risk factors and survival in cardiac myxoma-related ischemic stroke: A multicenter case-control study.
J Neurol Sci. 2023 Jan 15;444:120517. doi: 10.1016/j.jns.2022.120517. Epub 2022 Dec 6.
9
Cerebrovascular manifestations of tumors of the heart.
Handb Clin Neurol. 2021;177:275-282. doi: 10.1016/B978-0-12-819814-8.00016-0.

引用本文的文献

1
Cardioembolic stroke secondary to a cardiac myxoma.
Radiol Case Rep. 2025 Mar 8;20(5):2285-2289. doi: 10.1016/j.radcr.2025.01.073. eCollection 2025 May.
3
Visual analysis based on CiteSpace software: a bibliometric study of atrial myxoma.
Front Cardiovasc Med. 2023 May 12;10:1116771. doi: 10.3389/fcvm.2023.1116771. eCollection 2023.
4
Risk factors assessment and a Bayesian network model for predicting ischemic stroke in patients with cardiac myxoma.
Front Cardiovasc Med. 2023 Mar 24;10:1128022. doi: 10.3389/fcvm.2023.1128022. eCollection 2023.
5
Global Transient Amnesia as the Predominant Symptom of Cardiac Myxoma: A Case Report.
Am J Case Rep. 2023 Jan 3;24:e938221. doi: 10.12659/AJCR.938221.

本文引用的文献

1
Risk factors of embolism for the cardiac myxoma patients: a systematic review and metanalysis.
BMC Cardiovasc Disord. 2020 Jul 25;20(1):348. doi: 10.1186/s12872-020-01631-w.
2
A Case of Infected Left Atrial Myxoma Presenting as ST-Elevation Myocardial Infarction (STEMI).
Am J Case Rep. 2019 Dec 24;20:1930-1935. doi: 10.12659/AJCR.918192.
3
Pulmonary embolism as the initial manifestation of right atrial myxoma: A case report and review of the literature.
Medicine (Baltimore). 2019 Dec;98(51):e18386. doi: 10.1097/MD.0000000000018386.
4
Intravenous thrombolysis for pure pontine infarcts caused by cardiac myxoma: a case report and literature review.
Int J Neurosci. 2020 Jun;130(6):635-641. doi: 10.1080/00207454.2019.1702537. Epub 2019 Dec 18.
5
Pearls & Oy-sters: IV and mechanical thrombolysis for ischemic stroke secondary to cardiac myxoma.
Neurology. 2019 Nov 26;93(22):975-977. doi: 10.1212/WNL.0000000000008549.
6
Atrial Myxoma Presenting as Acute Bilateral Limb Ischemia.
J Emerg Med. 2019 Nov;57(5):710-712. doi: 10.1016/j.jemermed.2019.06.006. Epub 2019 Sep 3.
7
Cardiac Myxoma and Cerebrovascular Events: A Retrospective Cohort Study.
Front Neurol. 2018 Oct 3;9:823. doi: 10.3389/fneur.2018.00823. eCollection 2018.
8
Neurological manifestations of atrial myxoma: A retrospective analysis.
Oncol Lett. 2018 Oct;16(4):4635-4639. doi: 10.3892/ol.2018.9218. Epub 2018 Jul 25.
9
Outcomes following embolization in patients with cardiac myxoma.
J Card Surg. 2017 Oct;32(10):621-626. doi: 10.1111/jocs.13220. Epub 2017 Oct 4.
10
[The clinical characteristics of stroke in young patients with cardiac myxoma].
Zhonghua Nei Ke Za Zhi. 2017 Apr 1;56(4):263-267. doi: 10.3760/cma.j.issn.0578-1426.2017.04.005.

文献AI研究员

20分钟写一篇综述,助力文献阅读效率提升50倍。

立即体验

用中文搜PubMed

大模型驱动的PubMed中文搜索引擎

马上搜索

文档翻译

学术文献翻译模型,支持多种主流文档格式。

立即体验