Suppr超能文献

鉴定 HIPK3 为透明细胞肾细胞癌的一个潜在生物标志物和抑制剂。

Identification of HIPK3 as a potential biomarker and an inhibitor of clear cell renal cell carcinoma.

机构信息

Department of Urology, Union Hospital, Tongji Medical College, Huazhong University of Science and Technology, Wuhan, China.

Department of Urology, The First Affiliated Hospital, School of Medicine, Xiamen University, Xiamen, Fujian, China.

出版信息

Aging (Albany NY). 2021 Jan 20;13(3):3536-3553. doi: 10.18632/aging.202294.

Abstract

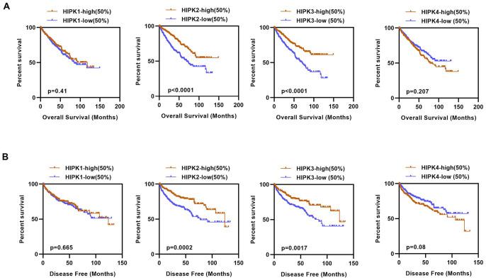
Invasion and metastasis are the main causes of poor prognosis in patients with clear cell renal cell carcinoma (ccRCC). The homeodomain interacting protein kinases (HIPKs) can regulate cell proliferation and apoptosis. Little is known about the prognostic role of HIPKs in ccRCC. Here we use Kaplan-Meier survival analysis and multivariate analysis to analyze the correlation of overall survival (OS) and disease-free survival (DFS). ROC curves analyzed the relationship between clinicopathological parameters and HIPK3 expression in ccRCC. Univariate analysis and multivariate analysis confirmed that the expression of HIPK3 was associated with OS (HR, 0.701; P=0.041) and DFS (HR, 0.630; P=0.012). Low HIPK3 expression was a poor prognostic factor and HIPK3 expression was significantly down-regulated in ccRCC cancer tissues when compared with normal renal tissues. cell results also confirmed that HIPK3 over-expression could inhibit tumor growth and malignant characteristics. The results indicate that low expression of HIPK3 in ccRCC tissues is significantly associated with poor survival rates in tumor patients, and HIPK3 may be used as a valuable biomarker and inhibitor of ccRCC.

摘要

侵袭和转移是导致透明细胞肾细胞癌(ccRCC)患者预后不良的主要原因。同源结构域相互作用蛋白激酶(HIPKs)可调节细胞增殖和凋亡。关于 HIPKs 在 ccRCC 中的预后作用知之甚少。在这里,我们使用 Kaplan-Meier 生存分析和多变量分析来分析总生存(OS)和无病生存(DFS)的相关性。ROC 曲线分析了 ccRCC 中临床病理参数与 HIPK3 表达之间的关系。单因素分析和多因素分析证实,HIPK3 的表达与 OS(HR,0.701;P=0.041)和 DFS(HR,0.630;P=0.012)相关。低 HIPK3 表达是预后不良的因素,与正常肾组织相比,ccRCC 癌组织中 HIPK3 表达明显下调。细胞结果也证实,HIPK3 过表达可抑制肿瘤生长和恶性特征。结果表明,ccRCC 组织中 HIPK3 的低表达与肿瘤患者生存率显著降低显著相关,HIPK3 可能作为 ccRCC 的有价值的生物标志物和抑制剂。

https://cdn.ncbi.nlm.nih.gov/pmc/blobs/69df/7906163/eb35622f00e2/aging-13-202294-g001.jpg

文献AI研究员

20分钟写一篇综述,助力文献阅读效率提升50倍。

立即体验

用中文搜PubMed

大模型驱动的PubMed中文搜索引擎

马上搜索

文档翻译

学术文献翻译模型,支持多种主流文档格式。

立即体验