• 文献检索
  • 文档翻译
  • 深度研究
  • 学术资讯
  • Suppr Zotero 插件Zotero 插件
  • 邀请有礼
  • 套餐&价格
  • 历史记录
应用&插件
Suppr Zotero 插件Zotero 插件浏览器插件Mac 客户端Windows 客户端微信小程序
定价
高级版会员购买积分包购买API积分包
服务
文献检索文档翻译深度研究API 文档MCP 服务
关于我们
关于 Suppr公司介绍联系我们用户协议隐私条款
关注我们

Suppr 超能文献

核心技术专利:CN118964589B侵权必究
粤ICP备2023148730 号-1Suppr @ 2026

文献检索

告别复杂PubMed语法,用中文像聊天一样搜索,搜遍4000万医学文献。AI智能推荐,让科研检索更轻松。

立即免费搜索

文件翻译

保留排版,准确专业,支持PDF/Word/PPT等文件格式,支持 12+语言互译。

免费翻译文档

深度研究

AI帮你快速写综述,25分钟生成高质量综述,智能提取关键信息,辅助科研写作。

立即免费体验

复发相关的ARID5B单核苷酸多态性与B细胞前体急性淋巴细胞白血病细胞系耐药性的关联

Association of relapse-linked ARID5B single nucleotide polymorphisms with drug resistance in B-cell precursor acute lymphoblastic leukemia cell lines.

作者信息

Tamai Minori, Huang Meixian, Kagami Keiko, Abe Masako, Somazu Shinpei, Shinohara Tamao, Harama Daisuke, Watanabe Atsushi, Akahane Koshi, Goi Kumiko, Sugita Kanji, Goto Hiroaki, Minegishi Masayoshi, Iwamoto Shotaro, Inukai Takeshi

机构信息

Department of Pediatrics, School of Medicine, University of Yamanashi, Shimokato, Chuo, Yamanashi, 1110, Japan.

Yamanashi Red Cross Blood Center, Kofu, Japan.

出版信息

Cancer Cell Int. 2020 Sep 4;20(1):434. doi: 10.1186/s12935-020-01524-0.

DOI:10.1186/s12935-020-01524-0
PMID:33499894
原文链接:https://pmc.ncbi.nlm.nih.gov/articles/PMC7839197/
Abstract

BACKGROUND

The genetic variants of the ARID5B gene have recently been reported to be associated with disease susceptibility and treatment outcome in childhood acute lymphoblastic leukemia (ALL). However, few studies have explored the association of ARID5B with sensitivities to chemotherapeutic agents.

METHODS

We genotyped susceptibility-linked rs7923074 and rs10821936 as well as relapse-linked rs4948488, rs2893881, and rs6479778 of ARDI5B by direct sequencing of polymerase chain reaction (PCR) products in 72 B-cell precursor-ALL (BCP-ALL) cell lines established from Japanese patients. We also quantified their ARID5B expression levels by real-time reverse transcription PCR, and determined their 50% inhibitory concentration (IC50) values by alamarBlue assays in nine representative chemotherapeutic agents used for ALL treatment.

RESULTS

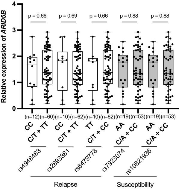
No significant associations were observed in genotypes of the susceptibility-linked single nucleotide polymorphisms (SNPs) and the relapsed-linked SNPs with ARID5B gene expression levels. Of note, IC50 values of vincristine (VCR) (median IC50: 39.6 ng/ml) in 12 cell lines with homozygous genotype of risk allele (C) in the relapse-linked rs4948488 were significantly higher (p = 0.031 in Mann-Whitney U test) than those (1.04 ng/ml) in 60 cell lines with heterozygous or homozygous genotypes of the non-risk allele (T). Furthermore, the IC50 values of mafosfamide [Maf; active metabolite of cyclophosphamide (CY)] and cytarabine (AraC) tended to be associated with the genotype of rs4948488. Similar associations were observed in genotypes of the relapse-linked rs2893881 and rs6479778, but not in those of the susceptibility-linked rs7923074 and rs10821936. In addition, the IC50 values of methotrexate (MTX) were significantly higher (p = 0.023) in 36 cell lines with lower ARID5B gene expression (median IC50: 37.1 ng/ml) than those in the other 36 cell lines with higher expression (16.9 ng/ml).

CONCLUSION

These observations in 72 BCP-ALL cell lines suggested that the risk allele of the relapse-linked SNPs of ARID5B may be involved in a higher relapse rate because of resistance to chemotherapeutic agents such as VCR, CY, and AraC. In addition, lower ARID5B gene expression may be associated with MTX resistance.

摘要

背景

最近有报道称,ARID5B基因的遗传变异与儿童急性淋巴细胞白血病(ALL)的疾病易感性和治疗结果相关。然而,很少有研究探讨ARID5B与化疗药物敏感性之间的关联。

方法

我们通过对72株从日本患者中建立的B细胞前体ALL(BCP-ALL)细胞系的聚合酶链反应(PCR)产物进行直接测序,对ARDI5B的易感性相关rs7923074和rs10821936以及复发相关rs4948488、rs2893881和rs6479778进行基因分型。我们还通过实时逆转录PCR定量其ARID5B表达水平,并通过alamarBlue试验测定其在用于ALL治疗的9种代表性化疗药物中的50%抑制浓度(IC50)值。

结果

在易感性相关单核苷酸多态性(SNP)和复发相关SNP的基因型与ARID5B基因表达水平之间未观察到显著关联。值得注意的是,在复发相关rs4948488中具有风险等位基因(C)纯合基因型的12株细胞系中,长春新碱(VCR)的IC50值(中位IC50:39.6 ng/ml)显著高于(曼-惠特尼U检验中p = 0.031)60株具有非风险等位基因(T)杂合或纯合基因型的细胞系中的IC50值(1.04 ng/ml)。此外,马法兰[Maf;环磷酰胺(CY)的活性代谢产物]和阿糖胞苷(AraC)的IC50值倾向于与rs4948488的基因型相关。在复发相关rs2893881和rs6479778的基因型中也观察到类似关联,但在易感性相关rs7923074和rs10821936的基因型中未观察到。此外,ARID5B基因表达较低的36株细胞系中甲氨蝶呤(MTX)的IC50值显著高于(p = 0.023)其他36株表达较高的细胞系中的IC50值(16.9 ng/ml)。

结论

在72株BCP-ALL细胞系中的这些观察结果表明,ARID5B复发相关SNP的风险等位基因可能由于对VCR、CY和AraC等化疗药物的耐药性而导致较高的复发率。此外,ARID5B基因表达较低可能与MTX耐药性相关。

https://cdn.ncbi.nlm.nih.gov/pmc/blobs/3779/7839197/6734a3768033/12935_2020_1524_Fig4_HTML.jpg
https://cdn.ncbi.nlm.nih.gov/pmc/blobs/3779/7839197/73d5ede71a33/12935_2020_1524_Fig1_HTML.jpg
https://cdn.ncbi.nlm.nih.gov/pmc/blobs/3779/7839197/fb0274417792/12935_2020_1524_Fig2_HTML.jpg
https://cdn.ncbi.nlm.nih.gov/pmc/blobs/3779/7839197/3f30caf402f4/12935_2020_1524_Fig3_HTML.jpg
https://cdn.ncbi.nlm.nih.gov/pmc/blobs/3779/7839197/6734a3768033/12935_2020_1524_Fig4_HTML.jpg
https://cdn.ncbi.nlm.nih.gov/pmc/blobs/3779/7839197/73d5ede71a33/12935_2020_1524_Fig1_HTML.jpg
https://cdn.ncbi.nlm.nih.gov/pmc/blobs/3779/7839197/fb0274417792/12935_2020_1524_Fig2_HTML.jpg
https://cdn.ncbi.nlm.nih.gov/pmc/blobs/3779/7839197/3f30caf402f4/12935_2020_1524_Fig3_HTML.jpg
https://cdn.ncbi.nlm.nih.gov/pmc/blobs/3779/7839197/6734a3768033/12935_2020_1524_Fig4_HTML.jpg

相似文献

1
Association of relapse-linked ARID5B single nucleotide polymorphisms with drug resistance in B-cell precursor acute lymphoblastic leukemia cell lines.复发相关的ARID5B单核苷酸多态性与B细胞前体急性淋巴细胞白血病细胞系耐药性的关联
Cancer Cell Int. 2020 Sep 4;20(1):434. doi: 10.1186/s12935-020-01524-0.
2
Association of two ARID5B gene variant single nucleotide polymorphisms with acute lymphoblastic leukemia in the Egyptian population.两个 ARID5B 基因变异单核苷酸多态性与埃及人群急性淋巴细胞白血病的关联。
Asian Pac J Cancer Prev. 2023 Jan 1;24(1):337-343. doi: 10.31557/APJCP.2023.24.1.337.
3
Association of ARID5B gene variants with acute lymphoblastic leukemia in Yemeni children.ARID5B基因变异与也门儿童急性淋巴细胞白血病的关联
Tumour Biol. 2017 Apr;39(4):1010428317697573. doi: 10.1177/1010428317697573.
4
[Correlation between Gene SNP and MTX Resistance in Children with ALL].
Zhongguo Shi Yan Xue Ye Xue Za Zhi. 2023 Apr;31(2):333-337. doi: 10.19746/j.cnki.issn.1009-2137.2023.02.004.
5
Variants in ARID5B gene are associated with the development of acute lymphoblastic leukemia in Mexican children.ARID5B 基因突变与墨西哥儿童急性淋巴细胞白血病的发生有关。
Ann Hematol. 2019 Oct;98(10):2379-2388. doi: 10.1007/s00277-019-03730-x. Epub 2019 Jun 21.
6
rs10821936 and rs10994982 gene polymorphisms and acute lymphoblastic leukemia: relation to disease susceptibility and outcome.rs10821936和rs10994982基因多态性与急性淋巴细胞白血病:与疾病易感性和预后的关系
Pediatr Hematol Oncol. 2019 Sep;36(6):365-375. doi: 10.1080/08880018.2019.1649333. Epub 2019 Aug 19.
7
, , , , and germline polymorphisms and predisposition to childhood acute lymphoblastic leukemia.以及种系多态性与儿童急性淋巴细胞白血病易感性
Pediatr Hematol Oncol. 2024;41(2):103-113. doi: 10.1080/08880018.2023.2234946. Epub 2023 Aug 14.
8
ARID5B genetic polymorphisms contribute to racial disparities in the incidence and treatment outcome of childhood acute lymphoblastic leukemia.ARID5B 基因多态性导致儿童急性淋巴细胞白血病的发病率和治疗结果存在种族差异。
J Clin Oncol. 2012 Mar 1;30(7):751-7. doi: 10.1200/JCO.2011.38.0345. Epub 2012 Jan 30.
9
ARID5B, CEBPE and PIP4K2A Germline Genetic Polymorphisms and Risk of Childhood Acute Lymphoblastic Leukemia in Mexican Patients: A MIGICCL Study.ARID5B、CEBPE 和 PIP4K2A 种系遗传多态性与墨西哥儿童急性淋巴细胞白血病的风险:MIGICCL 研究。
Arch Med Res. 2016 Nov;47(8):623-628. doi: 10.1016/j.arcmed.2016.12.003.
10
Association of Genetic Variants in ARID5B, IKZF1 and CEBPE with Risk of Childhood de novo B-Lineage Acute Lymphoblastic Leukemia in India.ARID5B、IKZF1和CEBPE基因变异与印度儿童原发性B淋巴细胞白血病风险的关联
Asian Pac J Cancer Prev. 2016;17(8):3989-95.

引用本文的文献

1
Impact of Variants in the and Genes on Therapeutic Failure with Imatinib in Patients with Chronic Myeloid Leukemia.基因和 基因变异对慢性髓性白血病患者伊马替尼治疗失败的影响。
Genes (Basel). 2022 Feb 10;13(2):330. doi: 10.3390/genes13020330.

本文引用的文献

1
High prevalence of MEF2D fusion in human B-cell precursor acute lymphoblastic leukemia cell lines.MEF2D融合在人B细胞前体急性淋巴细胞白血病细胞系中的高发生率。
Hematol Oncol. 2020 Oct;38(4):614-617. doi: 10.1002/hon.2762. Epub 2020 Jun 24.
2
Identification of four novel associations for B-cell acute lymphoblastic leukaemia risk.鉴定 B 细胞急性淋巴细胞白血病风险的四个新关联。
Nat Commun. 2019 Nov 25;10(1):5348. doi: 10.1038/s41467-019-13069-6.
3
Influences Antimetabolite Drug Sensitivity and Prognosis of Acute Lymphoblastic Leukemia.
影响抗代谢药物敏感性和急性淋巴细胞白血病预后的因素。
Clin Cancer Res. 2020 Jan 1;26(1):256-264. doi: 10.1158/1078-0432.CCR-19-0190. Epub 2019 Oct 1.
4
Inherited genetic susceptibility to acute lymphoblastic leukemia in Down syndrome.唐氏综合征患者急性淋巴细胞白血病的遗传性遗传易感性。
Blood. 2019 Oct 10;134(15):1227-1237. doi: 10.1182/blood.2018890764.
5
Resistance of t(17;19)-acute lymphoblastic leukemia cell lines to multiagents in induction therapy.t(17;19) - 急性淋巴细胞白血病细胞系对诱导治疗中多种药物的耐药性。
Cancer Med. 2019 Sep;8(11):5274-5288. doi: 10.1002/cam4.2356. Epub 2019 Jul 15.
6
Novel susceptibility variants at the locus for childhood acute lymphoblastic leukemia in Hispanics. Hispanics 中与儿童急性淋巴细胞白血病相关的 基因新易感变异。
Blood. 2019 Feb 14;133(7):724-729. doi: 10.1182/blood-2018-07-862946. Epub 2018 Dec 3.
7
Clinical and molecular characteristics of fusion-positive B-cell precursor acute lymphoblastic leukemia in childhood, including a novel translocation resulting in gene fusion.儿童融合阳性 B 细胞前体急性淋巴细胞白血病的临床和分子特征,包括一种导致基因融合的新型易位。
Haematologica. 2019 Jan;104(1):128-137. doi: 10.3324/haematol.2017.186320. Epub 2018 Aug 31.
8
Genome-wide association study identifies susceptibility loci for B-cell childhood acute lymphoblastic leukemia.全基因组关联研究鉴定出 B 细胞儿童急性淋巴细胞白血病的易感性位点。
Nat Commun. 2018 Apr 9;9(1):1340. doi: 10.1038/s41467-018-03178-z.
9
GWAS in childhood acute lymphoblastic leukemia reveals novel genetic associations at chromosomes 17q12 and 8q24.21.儿童急性淋巴细胞白血病的全基因组关联研究揭示了17号染色体q12区域和8号染色体q24.21区域的新基因关联。
Nat Commun. 2018 Jan 18;9(1):286. doi: 10.1038/s41467-017-02596-9.
10
Regional evaluation of childhood acute lymphoblastic leukemia genetic susceptibility loci among Japanese.日本儿童急性淋巴细胞白血病遗传易感性位点的区域性评估。
Sci Rep. 2018 Jan 15;8(1):789. doi: 10.1038/s41598-017-19127-7.