Suppr超能文献

体重指数与院外心脏骤停患者复苏结局的关系:一项前瞻性多中心登记研究。

Association between the body mass index and outcomes of patients resuscitated from out-of-hospital cardiac arrest: a prospective multicentre registry study.

机构信息

Department of Emergency Medicine, College of Medicine, Hanyang University, 222 Wangsimni-ro, Seongdong-gu, Seoul, 04763, Republic of Korea.

Department of Emergency Medicine, Seoul National University Bundang Hospital, Gyeonggi-do, Republic of Korea.

出版信息

Scand J Trauma Resusc Emerg Med. 2021 Jan 28;29(1):24. doi: 10.1186/s13049-021-00837-x.

Abstract

BACKGROUND

The effects of the body mass index (BMI) on outcomes of patients resuscitated from cardiac arrest are controversial. Therefore, the current study investigated the association between the BMI and the favourable neurologic outcomes and survival to discharge of patients resuscitated from out-of-hospital cardiac arrest (OHCA).

METHODS

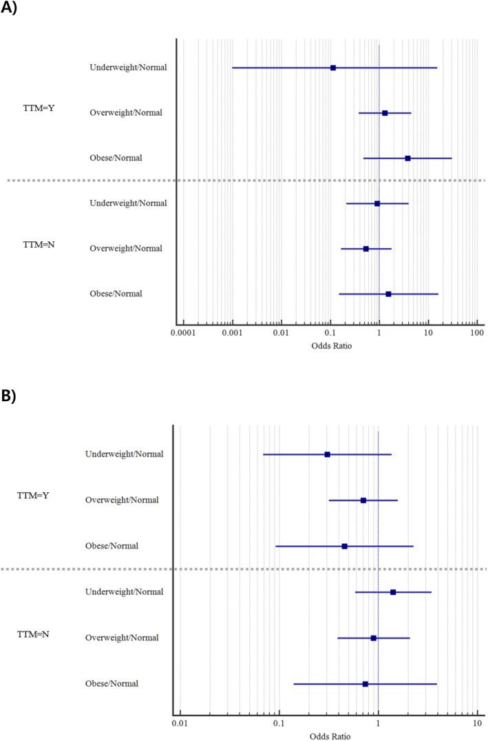
This multicentre, prospective, nationwide OHCA registry-based study was conducted using data from the Korean Cardiac Arrest Resuscitation Consortium (KoCARC). We enrolled hospitals willing to collect patient height and weight and included patients who survived to the hospital between October 2015 and June 2018. The included patients were categorised into the underweight (< 18.5 kg/m), normal weight (≥18.5 to < 25 kg/m), overweight (≥25 to < 30 kg/m), and obese groups (≥30 kg/m) according to the BMI per the World Health Organization (WHO) criteria. The primary outcome was a favourable neurologic outcome; the secondary outcome was survival to discharge. Univariate and multivariate analyses were performed to investigate the association between BMI and outcomes.

RESULTS

Nine hospitals were enrolled; finally, 605 patients were included in our analysis and categorised per the WHO BMI classification. Favourable neurologic outcomes were less frequent in the underweight BMI group than in the other groups (p = 0.002); survival to discharge was not significantly different among the BMI groups (p = 0.110). However, the BMI classification was not associated with favourable neurologic outcomes or survival to discharge after adjustment in the multivariate model.

CONCLUSION

The BMI was not independently associated with favourable neurologic and survival outcomes of patients surviving from OHCA.

摘要

背景

体重指数(BMI)对心脏骤停复苏患者结局的影响存在争议。因此,本研究调查了 BMI 与院外心脏骤停(OHCA)复苏患者良好神经结局和出院存活率之间的关系。

方法

这是一项多中心、前瞻性、全国性的基于 OHCA 登记的研究,使用了来自韩国心脏骤停复苏联盟(KoCARC)的数据。我们招募了愿意收集患者身高和体重数据的医院,并纳入了 2015 年 10 月至 2018 年 6 月期间存活到医院的患者。根据世界卫生组织(WHO)标准,将纳入的患者按照 BMI 分为消瘦组(<18.5kg/m)、正常体重组(≥18.5 至 <25kg/m)、超重组(≥25 至 <30kg/m)和肥胖组(≥30kg/m)。主要结局为良好的神经结局;次要结局为出院存活率。进行单变量和多变量分析以探讨 BMI 与结局之间的关系。

结果

共有 9 家医院参与,最终纳入 605 例患者,并按照 WHO BMI 分类进行分组。消瘦 BMI 组的良好神经结局发生率低于其他组(p=0.002);BMI 组之间的出院存活率无显著差异(p=0.110)。然而,在多变量模型调整后,BMI 分类与良好的神经结局或出院存活率无关。

结论

BMI 与 OHCA 复苏患者的良好神经结局和存活率无关。

https://cdn.ncbi.nlm.nih.gov/pmc/blobs/3c26/7842019/e42c395c3429/13049_2021_837_Fig1_HTML.jpg

文献AI研究员

20分钟写一篇综述,助力文献阅读效率提升50倍。

立即体验

用中文搜PubMed

大模型驱动的PubMed中文搜索引擎

马上搜索

文档翻译

学术文献翻译模型,支持多种主流文档格式。

立即体验