Suppr超能文献

中国黄土高原关键带土壤有效磷和土壤有效钾的垂直分布。

Vertical distribution of soil available phosphorus and soil available potassium in the critical zone on the Loess Plateau, China.

机构信息

State Key Laboratory of Soil Erosion and Dryland Farming on the Loess Plateau, Institute of Soil and Water Conservation, Chinese Academy of Sciences and Ministry of Water Resources, Yangling, 712100, China.

University of Chinese Academy of Sciences, Beijing, 100101, China.

出版信息

Sci Rep. 2021 Feb 4;11(1):3159. doi: 10.1038/s41598-021-82677-4.

Abstract

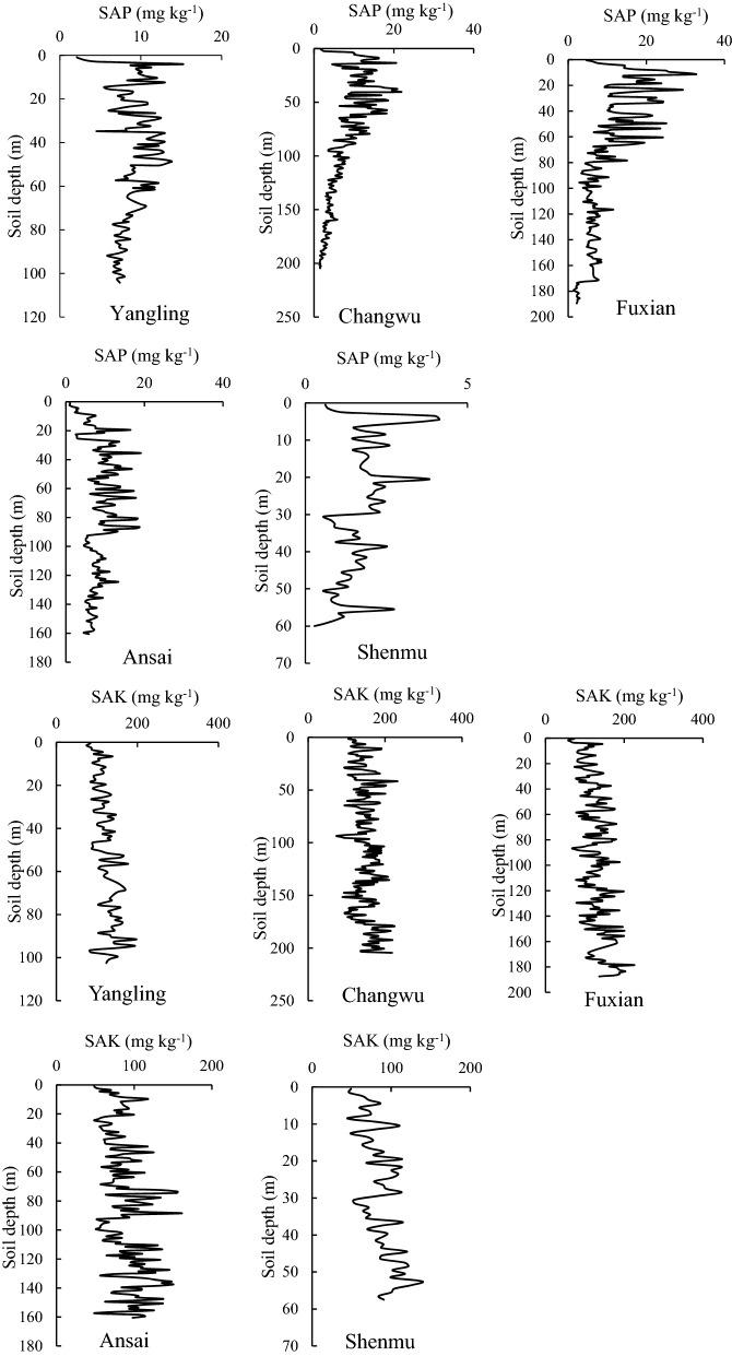
Soil available phosphorus (SAP) and soil available potassium (SAK) are important elements in the growth of plants. However, limited data are available regarding the vertical distribution of SAP and SAK in deep soil profiles. In this study, we investigated the vertical variations in SAP and SAK in the critical zone on the Loess Plateau (50-200 m), China, by using classical statistical and geostatistical methods. The soil samples were collected from the top of the soil profile down to the bedrock by soil core drilling at five typical sites. SAP decreased throughout the profile. Whereas the SAK exhibited an increasing trend at all sites. The mean SAP concentration ranged from 0.94 to 32.56 mg kg at the sampling sites and the SAK concentration ranged from 44.51 to 229.31 mg kg. At all of the sampling sites, SAK was significantly positively correlated with the depth and clay content, but there was a significantly negative correlation between the SAK and the sand content. The exponential model could fit most variograms of SAP and SAK at all sampling sites. The results obtained in this study to improve our comprehension of the SAP or SAK distribution conditions on the Loess Plateau, which is important for reasonable fertilizer application and vegetation planting practices.

摘要

土壤有效磷(SAP)和土壤有效钾(SAK)是植物生长的重要元素。然而,关于深层土壤剖面中 SAP 和 SAK 的垂直分布,数据有限。在这项研究中,我们使用经典的统计和地质统计方法,调查了中国黄土高原(50-200 米)关键带中 SAP 和 SAK 的垂直变化。通过土壤芯钻在五个典型地点从土壤剖面的顶部到底部采集土壤样本。SAP 在整个剖面中逐渐减少。而 SAK 在所有地点都呈现出增加的趋势。在采样地点,SAP 的平均浓度范围为 0.94 至 32.56 mg kg,SAK 的浓度范围为 44.51 至 229.31 mg kg。在所有采样点,SAK 与深度和粘粒含量呈显著正相关,但与砂粒含量呈显著负相关。指数模型可以拟合所有采样点的 SAP 和 SAK 的大多数变异函数。本研究的结果有助于提高我们对黄土高原 SAP 或 SAK 分布条件的理解,这对于合理施肥和植被种植实践非常重要。

https://cdn.ncbi.nlm.nih.gov/pmc/blobs/249b/7862489/7cf412c1bb21/41598_2021_82677_Fig1_HTML.jpg

文献AI研究员

20分钟写一篇综述,助力文献阅读效率提升50倍。

立即体验

用中文搜PubMed

大模型驱动的PubMed中文搜索引擎

马上搜索

文档翻译

学术文献翻译模型,支持多种主流文档格式。

立即体验