Suppr超能文献

精氨酸甲基化调控核糖体 CAR 功能。

Arginine Methylation Regulates Ribosome CAR Function.

机构信息

Department of Biology, Wesleyan University, Middletown, CT 06459, USA.

Department of Mathematics and Computer Science, Wesleyan University, Middletown, CT 06459, USA.

出版信息

Int J Mol Sci. 2021 Jan 29;22(3):1335. doi: 10.3390/ijms22031335.

Abstract

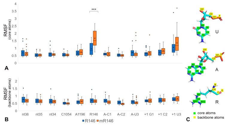
The ribosome CAR interaction surface is hypothesized to provide a layer of translation regulation through hydrogen-bonding to the +1 mRNA codon that is next to enter the ribosome A site during translocation. The CAR surface consists of three residues, 16S/18S rRNA C1054, A1196 ( 16S numbering), and R146 of yeast ribosomal protein Rps3. R146 can be methylated by the Sfm1 methyltransferase which is downregulated in stressed cells. Through molecular dynamics analysis, we show here that methylation of R146 compromises the integrity of CAR by reducing the cation-pi stacking of the R146 guanidinium group with A1196, leading to reduced CAR hydrogen-bonding with the +1 codon. We propose that ribosomes assembled under stressed conditions have unmethylated R146, resulting in elevated CAR/+1 codon interactions, which tunes translation levels in response to the altered cellular context.

摘要

核糖体 CARS 相互作用表面通过氢键与转位过程中即将进入核糖体 A 位的 +1 mRNA 密码子结合,被假设为提供了一层翻译调控。CARS 表面由三个残基组成,即 16S/18S rRNA C1054、A1196(16S 编号)和酵母核糖体蛋白 Rps3 的 R146。R146 可以被 Sfm1 甲基转移酶甲基化,而在应激细胞中,该酶的表达水平会降低。通过分子动力学分析,我们在这里表明,R146 的甲基化通过减少 R146 胍基与 A1196 的阳离子-π 堆积,破坏了 CARS 的完整性,从而导致 CARS 与 +1 密码子的氢键减少。我们提出,在应激条件下组装的核糖体中 R146 未被甲基化,导致 CARS/+1 密码子相互作用增强,从而根据细胞环境的改变来调节翻译水平。

https://cdn.ncbi.nlm.nih.gov/pmc/blobs/fd9f/7866298/b33665553b48/ijms-22-01335-g001.jpg

文献检索

告别复杂PubMed语法,用中文像聊天一样搜索,搜遍4000万医学文献。AI智能推荐,让科研检索更轻松。

立即免费搜索

文件翻译

保留排版,准确专业,支持PDF/Word/PPT等文件格式,支持 12+语言互译。

免费翻译文档

深度研究

AI帮你快速写综述,25分钟生成高质量综述,智能提取关键信息,辅助科研写作。

立即免费体验