Suppr超能文献

铺路过程中的职业暴露-现场实验中热拌沥青与温拌沥青的比较。

Occupational Exposure during Asphalt Paving-Comparison of Hot and Warm Mix Asphalt in Field Experiments.

机构信息

National Institute of Occupational Health, Majorstuen, Oslo, Norway.

Department of Occupational and Environmental Medicine, Faculty of Medicine and Health, Örebro University, Örebro, Sweden.

出版信息

Ann Work Expo Health. 2021 May 3;65(4):446-457. doi: 10.1093/annweh/wxaa129.

Abstract

OBJECTIVES

Several studies have demonstrated an increased risk of adverse health effects, including reduced lung function and lung cancer among asphalt pavers, which has been related to occupational exposure to contaminants during asphalt paving. Consequently, occupational exposure among asphalt pavers must be reduced. The aim of this study was to compare the impact of hot mix asphalt (HMA) and warm mix asphalt (WMA) paving on occupational exposure levels during road paving in field experiments. Asphalt temperatures when paving with WMA are usually lower than when paving with HMA due to differences in the asphalt's composition and method of application.

METHODS

On 11 different road sections, one lane was paved with WMA and one with HMA during the same work shift under approximately identical weather conditions. The weather conditions and asphalt surface temperature were monitored during paving. Fifty-seven samples of fumes and vapor, organic and elemental carbon, amines, and respirable, thoracic, and inhalable particulate matter (PM) fractions were collected by stationary sampling. In addition, 30 samples of fumes and vapor were collected by personal sampling.

RESULTS

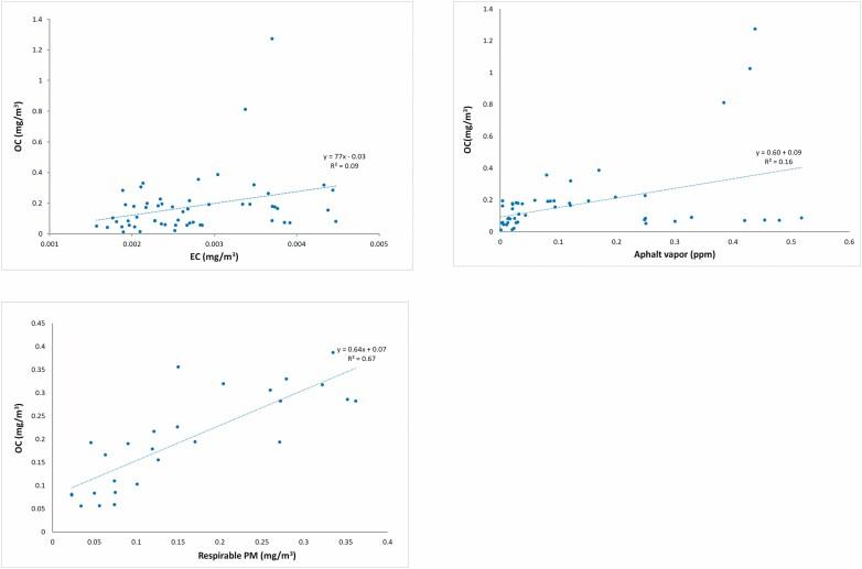
Compared to paving with HMA, paving with WMA significantly (P < 0.05; paired Student's t-test) reduced the geometric mean (GM) air concentration of asphalt vapor (0.04 versus 0.08 p.p.m.), organic carbon (OC; 0.09 versus 0.18 mg m-3), and respirable PM (0.12 versus 0.22 mg m-3). Additionally, the air concentration of OC correlated strongly with the respirable fraction of PM (Pearson's correlation coefficient 0.83).

CONCLUSIONS

Measured airborne concentrations of respirable PM, OC, and asphalt vapor were lower when paving with WMA than with HMA. Because exposure to airborne contaminants generated during asphalt paving is believed to be responsible for the adverse health effects observed among asphalt pavers, paving with WMA rather than HMA may have health benefits.

摘要

目的

多项研究表明,与铺筑沥青相关的职业暴露会使沥青摊铺机操作人员面临更高的健康风险,包括肺功能降低和肺癌,因此必须降低沥青摊铺机操作人员的职业暴露。本研究的目的是比较热拌沥青(HMA)和温拌沥青(WMA)在道路铺筑过程中的职业暴露水平。由于沥青组成和应用方法的不同,WMA 铺筑时的沥青温度通常低于 HMA 铺筑时的温度。

方法

在 11 个不同的路段,在相同的工作班次、大致相同的天气条件下,一个车道用 WMA 铺筑,另一个车道用 HMA 铺筑。在铺筑过程中监测天气条件和沥青表面温度。通过固定采样收集 57 个烟雾和蒸气、有机和元素碳、胺以及可吸入、胸腔和可吸入颗粒物(PM)分数的样本。此外,通过个人采样收集 30 个烟雾和蒸气样本。

结果

与 HMA 铺筑相比,WMA 铺筑显著降低了(P < 0.05;配对学生 t 检验)沥青蒸气(0.04 与 0.08 p.p.m.)、有机碳(OC;0.09 与 0.18 mg m-3)和可吸入 PM(0.12 与 0.22 mg m-3)的几何平均值(GM)空气浓度。此外,OC 的空气浓度与可吸入 PM 分数呈很强的相关性(皮尔逊相关系数 0.83)。

结论

与 HMA 铺筑相比,WMA 铺筑时可吸入 PM、OC 和沥青蒸气的空气浓度较低。由于沥青铺筑过程中产生的空气污染物暴露被认为是导致沥青摊铺机操作人员健康不良的原因,因此使用 WMA 铺筑而非 HMA 可能对健康有益。

https://cdn.ncbi.nlm.nih.gov/pmc/blobs/9a4c/8091472/3959d78489d7/wxaa129_fig1.jpg

文献检索

告别复杂PubMed语法,用中文像聊天一样搜索,搜遍4000万医学文献。AI智能推荐,让科研检索更轻松。

立即免费搜索

文件翻译

保留排版,准确专业,支持PDF/Word/PPT等文件格式,支持 12+语言互译。

免费翻译文档

深度研究

AI帮你快速写综述,25分钟生成高质量综述,智能提取关键信息,辅助科研写作。

立即免费体验