Suppr超能文献

主动脉搏动指数可预测心力衰竭的临床结局:ESCAPE试验的亚组分析。

Aortic pulsatility index predicts clinical outcomes in heart failure: a sub-analysis of the ESCAPE trial.

作者信息

Belkin Mark N, Alenghat Francis J, Besser Stephanie A, Nguyen Ann B, Chung Ben B, Smith Bryan A, Kalantari Sara, Sarswat Nitasha, Blair John E A, Kim Gene H, Pinney Sean P, Grinstein Jonathan

机构信息

University of Chicago Medicine, Section of Cardiology, Chicago, IL, USA.

出版信息

ESC Heart Fail. 2021 Apr;8(2):1522-1530. doi: 10.1002/ehf2.13246. Epub 2021 Feb 17.

Abstract

AIMS

Aortic pulsatility index (API), calculated as (systolic-diastolic blood pressure)/pulmonary capillary wedge pressure (PCWP), is a novel haemodynamic measurement representing both cardiac filling pressures and contractility. We hypothesized that API would better predict clinical outcomes than traditional haemodynamic metrics of cardiac function.

METHODS AND RESULTS

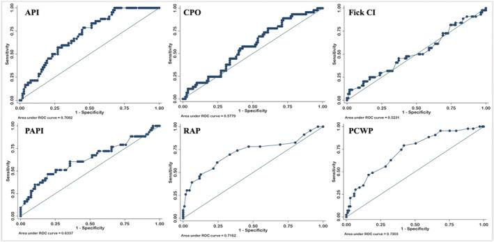
The Evaluation Study of Congestive Heart Failure and Pulmonary Artery Catheterization Effectiveness (ESCAPE) trial individual-level data were used. Routine haemodynamic measurements, including Fick cardiac index (CI), and the advanced haemodynamic metrics of API, cardiac power output (CPO), and pulmonary artery pulsatility index (PAPI) were calculated after final haemodynamic-monitored optimization. The primary outcome was a composite endpoint of death or need for orthotopic heart transplant (OHT) or left ventricular assist device (LVAD) at 6 months. A total of 433 participants were enrolled in the ESCAPE trial of which 145 had final haemodynamic data. Final API measurements predicted the primary outcome, OR 0.47 (95% CI 0.32-0.70, P < 0.001), while CI, CPO, and PAPI did not. Receiver operator characteristic analyses of final advanced haemodynamic measurements indicated API best predicted the primary outcome with a cutoff of 2.9 (sensitivity 76.2%, specificity 55.3%, correctly classified 61.4%, area-under-the-curve 0.71), compared with CPO, CI, and PAPI. Kaplan-Meier analyses indicated API ≥ 2.9 was associated with greater freedom from the primary outcome (83.5%), compared with API < 2.9 (58.4%), P = 0.001. While PAPI was also significantly associated, CI and CPO were not.

CONCLUSIONS

The novel haemodynamic measurement API better predicted clinical outcomes in the ESCAPE trial when compared with traditional invasive haemodynamic metrics of cardiac function.

摘要

目的

主动脉搏动指数(API)计算方法为(收缩压 - 舒张压)/肺毛细血管楔压(PCWP),是一种代表心脏充盈压和收缩力的新型血流动力学测量指标。我们假设,与传统的心脏功能血流动力学指标相比,API能更好地预测临床结局。

方法与结果

使用了充血性心力衰竭和肺动脉导管插入术有效性评估研究(ESCAPE)试验的个体水平数据。在最终血流动力学监测优化后,计算常规血流动力学测量指标,包括菲克心指数(CI),以及API、心脏功率输出(CPO)和肺动脉搏动指数(PAPI)等先进血流动力学指标。主要结局是6个月时死亡、需要原位心脏移植(OHT)或左心室辅助装置(LVAD)的复合终点。共有433名参与者参加了ESCAPE试验,其中145名有最终血流动力学数据。最终的API测量结果可预测主要结局,比值比为0.47(95%置信区间0.32 - 0.70,P < 0.001),而CI、CPO和PAPI则不能。最终先进血流动力学测量的受试者工作特征分析表明,与CPO、CI和PAPI相比,API预测主要结局的效果最佳,截断值为2.9(敏感性76.2%,特异性55.3%,正确分类率61.4%,曲线下面积0.71)。Kaplan - Meier分析表明,与API < 2.9(58.4%)相比,API≥2.9与主要结局的无事件生存率更高(83.5%)相关,P = 0.001。虽然PAPI也有显著相关性,但CI和CPO没有。

结论

与传统的有创心脏功能血流动力学指标相比,新型血流动力学测量指标API在ESCAPE试验中能更好地预测临床结局。

https://cdn.ncbi.nlm.nih.gov/pmc/blobs/1de3/8006667/bac917ad62cc/EHF2-8-1522-g002.jpg

文献AI研究员

20分钟写一篇综述,助力文献阅读效率提升50倍。

立即体验

用中文搜PubMed

大模型驱动的PubMed中文搜索引擎

马上搜索

文档翻译

学术文献翻译模型,支持多种主流文档格式。

立即体验