Suppr超能文献

混合价态 CoCo 场支持的单分子磁体:溶剂依赖性结构变化。

A Mixed Valence CoCo Field-Supported Single Molecule Magnet: Solvent-Dependent Structural Variation.

机构信息

Centro de Química Estrutural, Instituto Superior Técnico, Universidade de Lisboa, Av. Rovisco Pais, 1049-001 Lisbon, Portugal.

Department of Chemistry, Faculty of Natural Sciences, University of SS Cyril and Methodius, 91701 Trnava, Slovakia.

出版信息

Molecules. 2021 Feb 18;26(4):1060. doi: 10.3390/molecules26041060.

Abstract

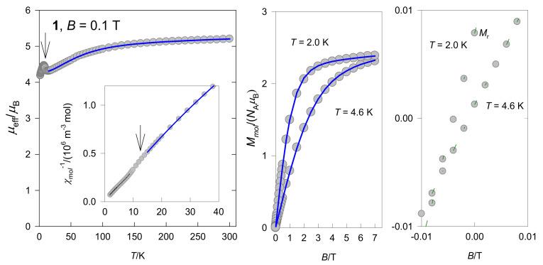
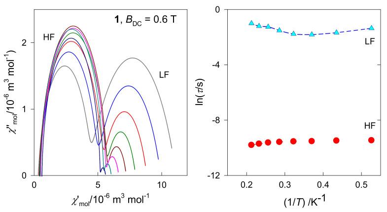
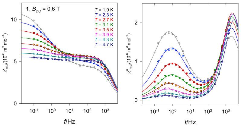
One-pot reaction of the Schiff base ,'-ethylene bis(salicylaldimine) (HL), CoCl.6HO, and [PhSnCl] in acetone produces the mixed valence CoCo compound [CoCo(μ-L)(Ph)(μ-Cl)]·(CH)CO·HO (). Our recent study already revealed that the same reaction mixtures in methanol or ethanol produced a heterometallic SnCo () or monometallic Co complex (), respectively. Comparison of these organometallic systems shows that the 2,1-intermetallic Ph shift occurs in any of those solvents, but their relevant structural features (mononuclear, dinuclear-heterometallic, and trinuclear mixed valence) are solvent dependent. Geometrical structural rotation is also discussed among the related organometallic CoCo systems. The AC magnetic susceptibility measurements indicate that is a single molecule magnet (SMM), exhibiting a field-induced slow magnetic relaxation with two modes. The relaxation time for the low-frequency channel is as slow as ~0.6 s at = 2.0 K and = 1.0 T.

摘要

一锅法反应的希夫碱,'-乙烯双(水杨醛亚胺)(HL),CoCl.6HO 和 [PhSnCl] 在丙酮中产生混合价态 CoCo 化合物 [CoCo(μ-L)(Ph)(μ-Cl)]·(CH)CO·HO ()。我们最近的研究已经表明,相同的反应混合物在甲醇或乙醇中分别产生了异金属 SnCo () 或单金属 Co 配合物 ()。对这些有机金属体系的比较表明,2,1- 间金属 Ph 迁移在任何溶剂中都发生,但它们的相关结构特征(单核、双核异金属和三核混合价态)取决于溶剂。还讨论了相关的有机金属 CoCo 体系之间的几何结构旋转。交流磁强计测量表明是单分子磁体(SMM),表现出具有两种模式的场诱导慢磁弛豫。在 = 2.0 K 和 = 1.0 T 时,低频通道的弛豫时间慢至约 0.6 s。

https://cdn.ncbi.nlm.nih.gov/pmc/blobs/7edb/7922140/6d082fa6b42e/molecules-26-01060-sch001.jpg

文献AI研究员

20分钟写一篇综述,助力文献阅读效率提升50倍。

立即体验

用中文搜PubMed

大模型驱动的PubMed中文搜索引擎

马上搜索

文档翻译

学术文献翻译模型,支持多种主流文档格式。

立即体验