• 文献检索
  • 文档翻译
  • 深度研究
  • 学术资讯
  • Suppr Zotero 插件Zotero 插件
  • 邀请有礼
  • 套餐&价格
  • 历史记录
应用&插件
Suppr Zotero 插件Zotero 插件浏览器插件Mac 客户端Windows 客户端微信小程序
定价
高级版会员购买积分包购买API积分包
服务
文献检索文档翻译深度研究API 文档MCP 服务
关于我们
关于 Suppr公司介绍联系我们用户协议隐私条款
关注我们

Suppr 超能文献

核心技术专利:CN118964589B侵权必究
粤ICP备2023148730 号-1Suppr @ 2026

文献检索

告别复杂PubMed语法,用中文像聊天一样搜索,搜遍4000万医学文献。AI智能推荐,让科研检索更轻松。

立即免费搜索

文件翻译

保留排版,准确专业,支持PDF/Word/PPT等文件格式,支持 12+语言互译。

免费翻译文档

深度研究

AI帮你快速写综述,25分钟生成高质量综述,智能提取关键信息,辅助科研写作。

立即免费体验

导致 X 连锁性歌舞伎综合征 2 型的致病性 KDM6A 变异的临床特征、性别差异及基因型-表型相关性。

Clinical delineation, sex differences, and genotype-phenotype correlation in pathogenic KDM6A variants causing X-linked Kabuki syndrome type 2.

机构信息

Division of Evolution & Genomic Sciences, School of Biological Sciences, Faculty of Biology, Medicine and Health, University of Manchester, Manchester, UK.

Laboratorio de Genética y Enfermedades Metabólicas, Instituto de Nutrición y Tecnología de los Alimentos (INTA), Universidad de Chile, Santiago, Chile.

出版信息

Genet Med. 2021 Jul;23(7):1202-1210. doi: 10.1038/s41436-021-01119-8. Epub 2021 Mar 5.

DOI:10.1038/s41436-021-01119-8
PMID:33674768
原文链接:https://pmc.ncbi.nlm.nih.gov/articles/PMC8257478/
Abstract

PURPOSE

The variant spectrum and the phenotype of X-linked Kabuki syndrome type 2 (KS2) are poorly understood.

METHODS

Genetic and clinical details of new and published individuals with pathogenic KDM6A variants were compiled and analyzed.

RESULTS

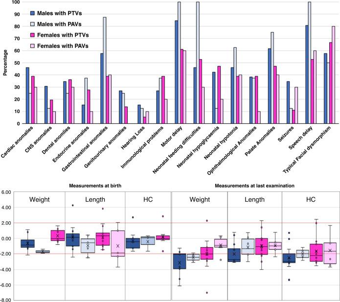
Sixty-one distinct pathogenic KDM6A variants (50 truncating, 11 missense) from 80 patients (34 males, 46 females) were identified. Missense variants clustered in the TRP 2, 3, 7 and Jmj-C domains. Truncating variants were significantly more likely to be de novo. Thirteen individuals had maternally inherited variants and one had a paternally inherited variant. Neonatal feeding difficulties, hypoglycemia, postnatal growth retardation, poor weight gain, motor delay, intellectual disability (ID), microcephaly, congenital heart anomalies, palate defects, renal malformations, strabismus, hearing loss, recurrent infections, hyperinsulinism, seizures, joint hypermobility, and gastroesophageal reflux were frequent clinical findings. Facial features of over a third of patients were not typical for KS. Males were significantly more likely to be born prematurely, have shorter stature, and severe developmental delay/ID.

CONCLUSION

We expand the KDM6A variant spectrum and delineate the KS2 phenotype. We demonstrate that the variability of the KS2 phenotypic depends on sex and the variant type. We also highlight the overlaps and differences between the phenotypes of KS2 and KS1.

摘要

目的

X 连锁歌舞伎综合征 2 型(KS2)的变异谱和表型了解甚少。

方法

对新发现的和已发表的具有致病性 KDM6A 变异的个体的遗传和临床详细信息进行了编译和分析。

结果

从 80 名患者(34 名男性,46 名女性)中鉴定出 61 种不同的致病性 KDM6A 变异(50 种截断,11 种错义)。错义变异集中在 TRP2、3、7 和 Jmj-C 结构域。截断变异明显更可能是新生的。13 名患者携带母系遗传变异,1 名患者携带父系遗传变异。新生儿喂养困难、低血糖、出生后生长迟缓、体重增长不良、运动发育迟缓、智力残疾(ID)、小头畸形、先天性心脏畸形、腭裂、肾脏畸形、斜视、听力损失、反复感染、高胰岛素血症、癫痫发作、关节过度活动和胃食管反流是常见的临床发现。超过三分之一患者的面部特征不符合 KS 的典型特征。男性更有可能早产、身材矮小和严重发育迟缓/智力残疾。

结论

我们扩展了 KDM6A 变异谱并描绘了 KS2 表型。我们证明,KS2 表型的可变性取决于性别和变异类型。我们还强调了 KS2 和 KS1 表型之间的重叠和差异。

https://cdn.ncbi.nlm.nih.gov/pmc/blobs/c159/8257478/721dd9563ef5/41436_2021_1119_Fig3_HTML.jpg
https://cdn.ncbi.nlm.nih.gov/pmc/blobs/c159/8257478/03e2448e5efc/41436_2021_1119_Fig1_HTML.jpg
https://cdn.ncbi.nlm.nih.gov/pmc/blobs/c159/8257478/c0b23cc0af94/41436_2021_1119_Fig2_HTML.jpg
https://cdn.ncbi.nlm.nih.gov/pmc/blobs/c159/8257478/721dd9563ef5/41436_2021_1119_Fig3_HTML.jpg
https://cdn.ncbi.nlm.nih.gov/pmc/blobs/c159/8257478/03e2448e5efc/41436_2021_1119_Fig1_HTML.jpg
https://cdn.ncbi.nlm.nih.gov/pmc/blobs/c159/8257478/c0b23cc0af94/41436_2021_1119_Fig2_HTML.jpg
https://cdn.ncbi.nlm.nih.gov/pmc/blobs/c159/8257478/721dd9563ef5/41436_2021_1119_Fig3_HTML.jpg

相似文献

1
Clinical delineation, sex differences, and genotype-phenotype correlation in pathogenic KDM6A variants causing X-linked Kabuki syndrome type 2.导致 X 连锁性歌舞伎综合征 2 型的致病性 KDM6A 变异的临床特征、性别差异及基因型-表型相关性。
Genet Med. 2021 Jul;23(7):1202-1210. doi: 10.1038/s41436-021-01119-8. Epub 2021 Mar 5.
2
Novel KDM6A (UTX) mutations and a clinical and molecular review of the X-linked Kabuki syndrome (KS2).新型KDM6A(UTX)突变以及X连锁歌舞伎综合征(KS2)的临床与分子综述
Clin Genet. 2015 Mar;87(3):252-8. doi: 10.1111/cge.12363. Epub 2014 Mar 27.
3
MLL2 and KDM6A mutations in patients with Kabuki syndrome.卡布列综合征患者中的 MLL2 和 KDM6A 突变。
Am J Med Genet A. 2013 Sep;161A(9):2234-43. doi: 10.1002/ajmg.a.36072. Epub 2013 Aug 2.
4
Mutation Update for Kabuki Syndrome Genes KMT2D and KDM6A and Further Delineation of X-Linked Kabuki Syndrome Subtype 2.歌舞伎综合征相关基因KMT2D和KDM6A的突变更新及X连锁歌舞伎综合征2型的进一步细化
Hum Mutat. 2016 Sep;37(9):847-64. doi: 10.1002/humu.23026. Epub 2016 Jul 7.
5
Identification of KMT2D and KDM6A variants by targeted sequencing from patients with Kabuki syndrome and other congenital disorders.通过对卡布奇综合征和其他先天性疾病患者的靶向测序鉴定 KMT2D 和 KDM6A 变异。
Gene. 2020 Mar 20;731:144360. doi: 10.1016/j.gene.2020.144360. Epub 2020 Jan 11.
6
The phenotypic spectrum of Kabuki syndrome in patients of Chinese descent: A case series.中国血统患者的歌舞伎综合征表型谱:病例系列。
Am J Med Genet A. 2020 Apr;182(4):640-651. doi: 10.1002/ajmg.a.61467. Epub 2019 Dec 28.
7
Clinical and molecular characteristics of Korean patients with Kabuki syndrome.韩国卡布基综合征患者的临床和分子特征。
J Hum Genet. 2024 Sep;69(9):417-423. doi: 10.1038/s10038-024-01258-1. Epub 2024 Jun 1.
8
Investigation of genetic and phenotypic heterogeneity in 37 Turkish patients with Kabuki and Kabuki-like phenotype.37 例土耳其卡布奇诺和卡布奇诺样表型患者的遗传和表型异质性研究。
Am J Med Genet A. 2022 Oct;188(10):2976-2987. doi: 10.1002/ajmg.a.62944. Epub 2022 Aug 8.
9
Sex-specific difference in phenotype of Kabuki syndrome type 2 patients: a matched case-control study.2型歌舞伎综合征患者表型的性别特异性差异:一项匹配病例对照研究。
BMC Pediatr. 2024 Feb 19;24(1):133. doi: 10.1186/s12887-024-04562-z.
10
Under the mask of Kabuki syndrome: Elucidation of genetic-and phenotypic heterogeneity in patients with Kabuki-like phenotype.歌舞伎综合征表象之下:类歌舞伎表型患者遗传及表型异质性的阐释
Eur J Med Genet. 2018 Jun;61(6):315-321. doi: 10.1016/j.ejmg.2018.01.005. Epub 2018 Jan 4.

引用本文的文献

1
Long-term kidney outcomes in patients with Kabuki syndrome.歌舞伎综合征患者的长期肾脏预后
Pediatr Nephrol. 2025 May 28. doi: 10.1007/s00467-025-06815-0.
2
Molecular and clinical aspects of histone-related disorders.组蛋白相关疾病的分子与临床研究进展
Hum Genomics. 2025 Apr 29;19(1):47. doi: 10.1186/s40246-025-00734-9.
3
Clinical delineation and genotype-phenotype correlation in 104 children with kabuki syndrome: A single-center, cross-sectional and follow-up study in China.104例歌舞伎综合征患儿的临床特征及基因型-表型相关性:中国单中心横断面及随访研究
Eur J Pediatr. 2025 Mar 27;184(4):271. doi: 10.1007/s00431-025-06103-x.
4
Epileptic spasms and RNA analysis in a new case of Kabuki syndrome type 2.2型歌舞伎综合征一例中的癫痫性痉挛与RNA分析
Epilepsia. 2025 May;66(5):1747-1750. doi: 10.1111/epi.18362. Epub 2025 Mar 11.
5
The transcriptomic landscape of monosomy X (45,X) during early human fetal and placental development.人类胎儿和胎盘早期发育过程中X单体(45,X)的转录组图谱。
Commun Biol. 2025 Feb 16;8(1):249. doi: 10.1038/s42003-025-07699-4.
6
Case report: Kabuki syndrome and persistent hypoglycemia in neonates.病例报告:新生儿歌舞伎综合征与持续性低血糖症
J Family Med Prim Care. 2024 Dec;13(12):5900-5902. doi: 10.4103/jfmpc.jfmpc_674_24. Epub 2024 Dec 9.
7
Anorectal malformations.肛门直肠畸形。
Nat Rev Dis Primers. 2024 Nov 21;10(1):88. doi: 10.1038/s41572-024-00574-2.
8
Emerging X-linked genes associated with neurodevelopmental disorders in females.新兴的与女性神经发育障碍相关的 X 连锁基因。
Curr Opin Neurobiol. 2024 Oct;88:102902. doi: 10.1016/j.conb.2024.102902. Epub 2024 Aug 20.
9
Congenital Hyperinsulinism and Novel KDM6A Duplications -Resolving Pathogenicity With Genome and Epigenetic Analyses.先天性高胰岛素血症与新型KDM6A重复——通过基因组和表观遗传学分析解决致病性问题
J Clin Endocrinol Metab. 2025 Apr 22;110(5):e1524-e1530. doi: 10.1210/clinem/dgae524.
10
Pathogenic variants in KMT2C result in a neurodevelopmental disorder distinct from Kleefstra and Kabuki syndromes.KMT2C 中的致病性变异导致一种与 Kleefstra 和 Kabuki 综合征不同的神经发育障碍。
Am J Hum Genet. 2024 Aug 8;111(8):1626-1642. doi: 10.1016/j.ajhg.2024.06.009. Epub 2024 Jul 15.