Suppr超能文献

抗抑郁药在 75 岁及以上成年人中的使用与自杀率:一项瑞典全国队列研究。

Antidepressant Use and Suicide Rates in Adults Aged 75 and Above: A Swedish Nationwide Cohort Study.

机构信息

Department of Psychiatry and Neurochemistry, Centre for Aging and Health (AGECAP), Gothenburg University, Gothenburg, Sweden.

Statistikkonsulterna AB, Gothenburg, Sweden.

出版信息

Front Public Health. 2021 Feb 19;9:611559. doi: 10.3389/fpubh.2021.611559. eCollection 2021.

Abstract

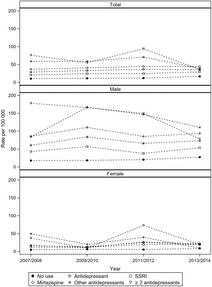
The treatment of depression is a main strategy for suicide prevention in older adults. We aimed to calculate suicide rates by antidepressant prescription patterns in persons aged ≥ 75 years. A further aim was to estimate the contribution of antidepressants to the change in suicide rates over time. Swedish residents aged ≥ 75 years ( = 1,401,349) were followed between 2007 and 2014 in a national register-based retrospective cohort study. Biannual suicide rates were calculated for those with selective serotonin reuptake inhibitor (SSRI) single use, mirtazapine single use, single use of other antidepressants and use of ≥ 2 antidepressants. The contribution of antidepressants to the change in biannual suicide rates was analyzed by decomposition analysis. There were 1,277 suicides. About one third of these were on an antidepressant during their last 3 months of life. In the total cohort, the average biannual suicide rate in non-users of antidepressants was 13 per 100,000 person-years. The corresponding figure in users of antidepressants was 34 per 100,000 person-years. These rates were 25, 42 and 65 per 100,000 person-years in users of SSRI, mirtazapine and ≥ 2 antidepressants, respectively. In the total cohort, antidepressant users contributed by 26% to the estimated increase of 7 per 100,000 in biannual suicide rates. In men, biannual suicide rates increased by 11 suicides per 100,000 over the study period; antidepressant users contributed by 25% of the change. In women, those on antidepressant therapy accounted for 29% of the estimated increase of 4.4 per 100,000. Only one third of the oldest Swedish population who died by suicide filled an antidepressant prescription in their last 3 months of life. Higher suicide rates were observed in mirtazapine users compared to those on SSRIs. Users of antidepressants accounted for only one quarter of the increase in the suicide rate. The identification and treatment of suicidal older adults remains an area for prevention efforts.

摘要

治疗抑郁症是预防老年人自杀的主要策略。我们旨在根据≥75 岁人群的抗抑郁药处方模式计算自杀率。进一步的目的是估计抗抑郁药对随时间变化的自杀率变化的贡献。 在一项全国性基于登记的回顾性队列研究中,对≥75 岁的瑞典居民(=1401349 人)进行了 2007 年至 2014 年的随访。为使用选择性 5-羟色胺再摄取抑制剂(SSRI)单药、米氮平单药、其他抗抑郁药单药和使用≥2 种抗抑郁药的患者计算每两年自杀率。通过分解分析来分析抗抑郁药对每两年自杀率变化的贡献。 共有 1277 例自杀。其中约三分之一的自杀者在生命的最后 3 个月内服用了抗抑郁药。在总队列中,未使用抗抑郁药者的平均每两年自杀率为每 100000 人年 13 例。使用抗抑郁药者的相应数字为每 100000 人年 34 例。SSRI、米氮平及≥2 种抗抑郁药使用者的相应数字分别为每 100000 人年 25、42 和 65 例。在总队列中,抗抑郁药使用者对估计每 100000 人增加 7 例的两年自杀率的增加贡献了 26%。在男性中,研究期间每 100000 人每年增加 11 例自杀;抗抑郁药使用者对此变化的贡献为 25%。在女性中,接受抗抑郁治疗者占估计每 100000 人增加 4.4 例的增加的 29%。 只有三分之一的瑞典自杀的最年长人群在生命的最后 3 个月内服用了抗抑郁药处方。与使用 SSRIs 相比,米氮平使用者的自杀率更高。抗抑郁药使用者仅占自杀率上升的四分之一。识别和治疗有自杀倾向的老年人仍然是预防工作的一个领域。

https://cdn.ncbi.nlm.nih.gov/pmc/blobs/1d7e/7933212/eb601ec479c2/fpubh-09-611559-g0001.jpg

文献AI研究员

20分钟写一篇综述,助力文献阅读效率提升50倍。

立即体验

用中文搜PubMed

大模型驱动的PubMed中文搜索引擎

马上搜索

文档翻译

学术文献翻译模型,支持多种主流文档格式。

立即体验