• 文献检索
  • 文档翻译
  • 深度研究
  • 学术资讯
  • Suppr Zotero 插件Zotero 插件
  • 邀请有礼
  • 套餐&价格
  • 历史记录
应用&插件
Suppr Zotero 插件Zotero 插件浏览器插件Mac 客户端Windows 客户端微信小程序
定价
高级版会员购买积分包购买API积分包
服务
文献检索文档翻译深度研究API 文档MCP 服务
关于我们
关于 Suppr公司介绍联系我们用户协议隐私条款
关注我们

Suppr 超能文献

核心技术专利:CN118964589B侵权必究
粤ICP备2023148730 号-1Suppr @ 2026

文献检索

告别复杂PubMed语法,用中文像聊天一样搜索,搜遍4000万医学文献。AI智能推荐,让科研检索更轻松。

立即免费搜索

文件翻译

保留排版,准确专业,支持PDF/Word/PPT等文件格式,支持 12+语言互译。

免费翻译文档

深度研究

AI帮你快速写综述,25分钟生成高质量综述,智能提取关键信息,辅助科研写作。

立即免费体验

羽毛球中侧向后退步时的外侧踝关节扭伤:一起电视转播伤事例报告。

A lateral ankle sprain during a lateral backward step in badminton: A case report of a televised injury incident.

机构信息

National Centre for Sport and Exercise Medicine, School of Sport, Exercise and Health Sciences, Loughborough University, Loughborough, LE11 3TU, UK.

Office of Student Affairs, Lingnan University, Hong Kong 999077, China; Department of Orthopaedics and Traumatology, Prince of Wales Hospital, Faculty of Medicine, The Chinese University of Hong Kong, Hong Kong 999077, China.

出版信息

J Sport Health Sci. 2023 Jan;12(1):139-144. doi: 10.1016/j.jshs.2021.03.007. Epub 2021 Mar 17.

DOI:10.1016/j.jshs.2021.03.007
PMID:33744478
原文链接:https://pmc.ncbi.nlm.nih.gov/articles/PMC9923400/
Abstract

BACKGROUND

This study presents a kinematic analysis of an acute lateral ankle sprain incurred during a televised badminton match. The kinematics of this injury were compared to those of 19 previously reported cases in the published literature.

METHODS

Four camera views of an acute lateral ankle sprain incurred during a televised badminton match were synchronized and rendered in 3-dimensional animation software. A badminton court with known dimensions was built in a virtual environment, and a skeletal model scaled to the injured athlete's height was used for skeletal matching. The ankle joint angle and angular velocity profiles of this acute injury were compared to the summarized findings from 19 previously reported cases in the published literature.

RESULTS

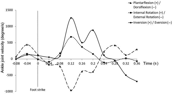
At foot strike, the ankle joint was 2° everted, 33° plantarflexed, and 18° internally rotated. Maximum inversion of 114° and internal rotation of 69° was achieved at 0.24 s and 0.20 s after foot strike, respectively. After the foot strike, the ankle joint moved from an initial position of plantarflexion to dorsiflexion-from 33° plantarflexion to 53° dorsiflexion (range = 86°). Maximum inversion, dorsiflexion, and internal rotation angular velocity were 1262°/s, 961°/s, and 677°/s, respectively, at 0.12 s after foot strike.

CONCLUSION

A forefoot landing posture with a plantarflexed and internally rotated ankle joint configuration could incite an acute lateral ankle sprain injury in badminton. Prevention of lateral ankle sprains in badminton should focus on the control and stability of the ankle joint angle during forefoot landings, especially when the athletes perform a combined lateral and backward step.

摘要

背景

本研究对一起电视转播羽毛球比赛中发生的急性外踝扭伤进行了运动学分析。将该损伤的运动学与已发表文献中 19 例既往报道的病例进行了比较。

方法

对电视转播羽毛球比赛中发生的急性外踝扭伤的四个摄像视角进行了同步处理,并在 3 维动画软件中进行了渲染。在虚拟环境中构建了一个具有已知尺寸的羽毛球场地,并使用与受伤运动员身高成比例的骨骼模型进行骨骼匹配。将该急性损伤的踝关节角度和角速度曲线与已发表文献中 19 例既往报道病例的汇总发现进行了比较。

结果

在足着地时,踝关节外旋 2°,跖屈 33°,内旋 18°。最大内翻 114°和内旋 69°分别在足着地后 0.24 s 和 0.20 s 时达到。足着地后,踝关节从初始跖屈位置移动到背屈位置——从 33°跖屈到 53°背屈(范围为 86°)。最大内翻、背屈和内旋角速度分别为 0.12 s 时的 1262°/s、961°/s 和 677°/s。

结论

前足着地时,踝关节跖屈和内旋的姿势可能会导致羽毛球运动中发生急性外踝扭伤。预防羽毛球中外侧踝关节扭伤应重点控制和稳定前足着地时的踝关节角度,特别是运动员进行侧向和向后跨步时。

https://cdn.ncbi.nlm.nih.gov/pmc/blobs/4ee2/9923400/5eaf322cf185/gr3.jpg
https://cdn.ncbi.nlm.nih.gov/pmc/blobs/4ee2/9923400/1dd82d87962a/ga1.jpg
https://cdn.ncbi.nlm.nih.gov/pmc/blobs/4ee2/9923400/fff7dc5f72c9/gr1.jpg
https://cdn.ncbi.nlm.nih.gov/pmc/blobs/4ee2/9923400/b02d8bab50b0/gr2.jpg
https://cdn.ncbi.nlm.nih.gov/pmc/blobs/4ee2/9923400/5eaf322cf185/gr3.jpg
https://cdn.ncbi.nlm.nih.gov/pmc/blobs/4ee2/9923400/1dd82d87962a/ga1.jpg
https://cdn.ncbi.nlm.nih.gov/pmc/blobs/4ee2/9923400/fff7dc5f72c9/gr1.jpg
https://cdn.ncbi.nlm.nih.gov/pmc/blobs/4ee2/9923400/b02d8bab50b0/gr2.jpg
https://cdn.ncbi.nlm.nih.gov/pmc/blobs/4ee2/9923400/5eaf322cf185/gr3.jpg

相似文献

1
A lateral ankle sprain during a lateral backward step in badminton: A case report of a televised injury incident.羽毛球中侧向后退步时的外侧踝关节扭伤:一起电视转播伤事例报告。
J Sport Health Sci. 2023 Jan;12(1):139-144. doi: 10.1016/j.jshs.2021.03.007. Epub 2021 Mar 17.
2
Kinematics analysis of ankle inversion ligamentous sprain injuries in sports: five cases from televised tennis competitions.运动中踝关节内翻韧带扭伤的运动学分析:来自电视网球比赛的 5 个案例。
Am J Sports Med. 2012 Nov;40(11):2627-32. doi: 10.1177/0363546512458259. Epub 2012 Sep 11.
3
Fatigue increases ankle sprain risk in badminton players: A biomechanical study.疲劳增加羽毛球运动员踝关节扭伤风险:一项生物力学研究。
J Sports Sci. 2020 Jul;38(13):1560-1565. doi: 10.1080/02640414.2020.1748337. Epub 2020 Apr 2.
4
Impact of specialized fatigue and backhand smash on the ankle biomechanics of female badminton players.专项疲劳和反手扣杀对女性羽毛球运动员踝关节生物力学的影响。
Sci Rep. 2024 May 4;14(1):10282. doi: 10.1038/s41598-024-61141-z.
5
An inverted ankle joint orientation at foot strike could incite ankle inversion sprain: Comparison between injury and non-injured cutting motions of a tennis player.足着地时踝关节呈反向倾斜可能会引发踝关节内翻扭伤:网球运动员受伤和未受伤的变向运动之间的比较。
Foot (Edinb). 2021 Sep;48:101853. doi: 10.1016/j.foot.2021.101853. Epub 2021 Jul 12.
6
Lateral Ankle Joint Injuries in Indoor and Court Sports: A Systematic Video Analysis of 445 Nonconsecutive Case Series.室内和场地上的踝关节外侧扭伤:445 例非连续病例系列的系统视频分析。
Am J Sports Med. 2024 May;52(6):1572-1584. doi: 10.1177/03635465241241760. Epub 2024 Apr 18.
7
Lower-Extremity Kinematics During Ankle Inversion Perturbations: A Novel Experimental Protocol That Simulates an Unexpected Lateral Ankle Sprain Mechanism.踝关节内翻干扰时的下肢运动学:一种模拟意外外踝扭伤机制的新型实验方案。
J Sport Rehabil. 2019 Aug 1;28(6):593-600. doi: 10.1123/jsr.2018-0061.
8
Influence of ankle joint plantarflexion and dorsiflexion on lateral ankle sprain: A computational study.踝关节跖屈和背屈对踝关节外侧扭伤的影响:一项计算研究。
Proc Inst Mech Eng H. 2018 May;232(5):458-467. doi: 10.1177/0954411918762955. Epub 2018 Mar 9.
9
Differentiation of ankle sprain motion and common sporting motion by ankle inversion velocity.通过踝关节内翻速度区分踝关节扭伤运动和常见运动。
J Biomech. 2010 Jul 20;43(10):2035-8. doi: 10.1016/j.jbiomech.2010.03.029. Epub 2010 Apr 13.
10
Biomechanical analysis of ankle ligamentous sprain injury cases from televised basketball games: Understanding when, how and why ligament failure occurs.电视转播篮球比赛中踝关节韧带扭伤病例的生物力学分析:了解韧带何时、如何以及为何发生断裂。
J Sci Med Sport. 2017 Dec;20(12):1057-1061. doi: 10.1016/j.jsams.2017.05.006. Epub 2017 May 25.

引用本文的文献

1
Impact of unanticipated and backhand area smash landing on the lower limb biomechanics of female badminton players.意外及反手区域扣杀落地对女子羽毛球运动员下肢生物力学的影响。
Front Bioeng Biotechnol. 2025 May 30;13:1609911. doi: 10.3389/fbioe.2025.1609911. eCollection 2025.
2
Maximizing the performance of badminton athletes through core strength training: Unlocking their full potential using machine learning (ML) modeling.通过核心力量训练提升羽毛球运动员的表现:运用机器学习(ML)建模释放他们的全部潜力。
Heliyon. 2024 Jul 24;10(15):e35145. doi: 10.1016/j.heliyon.2024.e35145. eCollection 2024 Aug 15.
3
Impact of specialized fatigue and backhand smash on the ankle biomechanics of female badminton players.

本文引用的文献

1
Effect of individual ankle taping components on the restriction of ankle external inversion moment.个体踝关节贴扎组件对踝关节外侧反转力矩限制的影响。
Sports Biomech. 2023 Sep;22(9):1181-1191. doi: 10.1080/14763141.2020.1792539. Epub 2020 Jul 27.
2
Ankle bracing's effects during a modified agility task: analysis of sEMG, impulse, and time to complete using a crossover, repeated measures design.踝关节支具在改良敏捷任务中的效果:使用交叉、重复测量设计分析表面肌电图、脉冲和完成时间。
Sports Biomech. 2023 Aug;22(8):1063-1077. doi: 10.1080/14763141.2020.1778777. Epub 2020 Jul 9.
3
Incidence of injuries among amateur badminton players: A cross-sectional study.
专项疲劳和反手扣杀对女性羽毛球运动员踝关节生物力学的影响。
Sci Rep. 2024 May 4;14(1):10282. doi: 10.1038/s41598-024-61141-z.
4
Integrated Rehabilitation Approach Utilizing Swiss Ball Training, Mulligan Taping, and Mobilization With Movement for Simultaneous Management of Sacroiliac Joint Dysfunction and Lateral Ankle Sprain in a Badminton Athlete: A Case Study.综合康复方法:运用瑞士球训练、麦卢卡贴扎技术和动态关节松动术同时治疗一名羽毛球运动员的骶髂关节功能障碍和外侧踝关节扭伤:一项病例研究
Cureus. 2024 Mar 26;16(3):e56942. doi: 10.7759/cureus.56942. eCollection 2024 Mar.
5
Intelligent prediction of lower extremity loadings during badminton lunge footwork in a lab-simulated court.在实验室模拟球场上对羽毛球弓步垫步移动过程中下肢负荷的智能预测
Front Bioeng Biotechnol. 2023 Aug 8;11:1229574. doi: 10.3389/fbioe.2023.1229574. eCollection 2023.
业余羽毛球运动员受伤的发生率:一项横断面研究。
Medicine (Baltimore). 2020 May;99(18):e19785. doi: 10.1097/MD.0000000000019785.
4
Fatigue increases ankle sprain risk in badminton players: A biomechanical study.疲劳增加羽毛球运动员踝关节扭伤风险:一项生物力学研究。
J Sports Sci. 2020 Jul;38(13):1560-1565. doi: 10.1080/02640414.2020.1748337. Epub 2020 Apr 2.
5
Leg stiffness control during drop landing movement in individuals with mechanical and functional ankle disabilities.在机械性和功能性踝关节障碍患者的落地跳跃运动中,对腿部僵直的控制。
Sports Biomech. 2022 Oct;21(9):1093-1106. doi: 10.1080/14763141.2020.1726997. Epub 2020 Mar 10.
6
Contact - but not foul play - dominates injury mechanisms in men's professional handball: a video match analysis of 580 injuries.接触而非恶意犯规主导男子职业手球的损伤机制:对580例损伤的视频比赛分析
Br J Sports Med. 2020 Aug;54(16):984-990. doi: 10.1136/bjsports-2018-100250. Epub 2020 Jan 22.
7
Is chronic ankle instability associated with impaired muscle strength? Ankle, knee and hip muscle strength in individuals with chronic ankle instability: a systematic review with meta-analysis.慢性踝关节不稳是否与肌肉力量下降有关?慢性踝关节不稳患者的踝关节、膝关节和髋关节肌肉力量:系统评价和荟萃分析。
Br J Sports Med. 2020 Jul;54(14):839-847. doi: 10.1136/bjsports-2018-100070. Epub 2020 Jan 14.
8
Biomechanics of ankle giving way: A case report of accidental ankle giving way during the drop landing test.踝关节不稳的生物力学:一例在落地试验中意外出现踝关节不稳的病例报告。
J Sport Health Sci. 2019 Sep;8(5):494-502. doi: 10.1016/j.jshs.2018.01.002. Epub 2018 Feb 2.
9
Biomechanical Analysis Methods to Assess Professional Badminton Players' Lunge Performance.评估职业羽毛球运动员弓步动作表现的生物力学分析方法
J Vis Exp. 2019 Jun 11(148). doi: 10.3791/58842.
10
An Updated Model of Chronic Ankle Instability.慢性踝关节不稳的更新模型。
J Athl Train. 2019 Jun;54(6):572-588. doi: 10.4085/1062-6050-344-18. Epub 2019 Jun 4.