• 文献检索
  • 文档翻译
  • 深度研究
  • 学术资讯
  • Suppr Zotero 插件Zotero 插件
  • 邀请有礼
  • 套餐&价格
  • 历史记录
应用&插件
Suppr Zotero 插件Zotero 插件浏览器插件Mac 客户端Windows 客户端微信小程序
定价
高级版会员购买积分包购买API积分包
服务
文献检索文档翻译深度研究API 文档MCP 服务
关于我们
关于 Suppr公司介绍联系我们用户协议隐私条款
关注我们

Suppr 超能文献

核心技术专利:CN118964589B侵权必究
粤ICP备2023148730 号-1Suppr @ 2026

文献检索

告别复杂PubMed语法,用中文像聊天一样搜索,搜遍4000万医学文献。AI智能推荐,让科研检索更轻松。

立即免费搜索

文件翻译

保留排版,准确专业,支持PDF/Word/PPT等文件格式,支持 12+语言互译。

免费翻译文档

深度研究

AI帮你快速写综述,25分钟生成高质量综述,智能提取关键信息,辅助科研写作。

立即免费体验

妊娠的母婴并发症:1 型和 2 型糖尿病的回顾性比较。

Maternal-foetal complications in pregnancy: a retrospective comparison between type 1 and type 2 diabetes mellitus.

机构信息

Dipartimento di Promozione della Salute, Materno-Infantile, Medicina Interna e Specialistica di Eccellenza "G. D'Alessandro" (PROMISE), Sezione di Malattie Endocrine, del Ricambio e della Nutrizione, Università di Palermo, Piazza delle Cliniche 2, 90127, Palermo, Italy.

出版信息

BMC Pregnancy Childbirth. 2021 Mar 22;21(1):243. doi: 10.1186/s12884-021-03702-y.

DOI:10.1186/s12884-021-03702-y
PMID:33752628
原文链接:https://pmc.ncbi.nlm.nih.gov/articles/PMC7986522/
Abstract

BACKGROUND

The aim of the study was a retrospective comparison of the differences in maternal-foetal outcomes between women with type 1 and type 2 diabetes mellitus (T1DM and T2DM).

METHODS

A cohort of 135 patients with pregestational diabetes, 73 with T1DM (mean age 29 ± 5 years) and 62 with T2DM (mean age 33 ± 6 years), in intensive insulin treatment throughout pregnancy were evaluated. Clinical and metabolic parameters and the prevalence of maternal and foetal complications were assessed.

RESULTS

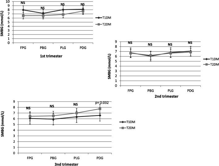
Women with T1DM showed lower pregestational BMI (p < 0.001), pregestational weight (p < 0.001), weight at delivery (p < 0.001), ∆_total_insulin requirement (IR) at the first, second and third trimesters (all p < 0.001) and higher weight gain during pregnancy (p < 0.001), pregestational HbA1c (p = 0.040), HbA1c in the first (p = 0.004), second (p = 0.020) and third (p = 0.010) trimesters compared to T2DM. Women with T1DM had a higher risk of macrosomia (p = 0.005) than T2DM, while women with T2DM showed higher prevalence of abortion (p = 0.037) than T1DM. At multivariate analysis, pregestational BMI and ∆_total_IR of the first trimester were independently associated with abortion in T2DM, while weight gain during pregnancy was independently associated with macrosomia in T1DM.

CONCLUSION

Women with T1DM have a higher risk of macrosomia than T2DM due to weight gain throughout pregnancy. By contrast, women with T2DM have a higher risk of spontaneous abortion than T1DM, due to pregestational BMI and ∆_total_IR in the first trimester.

摘要

背景

本研究旨在回顾性比较 1 型糖尿病(T1DM)和 2 型糖尿病(T2DM)患者母婴结局的差异。

方法

评估了 135 名患有孕前糖尿病的患者,其中 73 名患有 T1DM(平均年龄 29±5 岁),62 名患有 T2DM(平均年龄 33±6 岁),这些患者在整个孕期都接受强化胰岛素治疗。评估了临床和代谢参数以及母婴并发症的发生率。

结果

T1DM 组患者的孕前 BMI(p<0.001)、孕前体重(p<0.001)、分娩体重(p<0.001)、第 1、2 和 3 孕期总胰岛素需求(IR)(均 p<0.001)和孕期体重增加(p<0.001)较低,孕前糖化血红蛋白(HbA1c)(p=0.040)、第 1 孕期(p=0.004)、第 2 孕期(p=0.020)和第 3 孕期(p=0.010)的 HbA1c 较高。与 T2DM 相比,T1DM 患者发生巨大儿的风险更高(p=0.005),而 T2DM 患者流产的发生率更高(p=0.037)。多元分析显示,T2DM 中,孕前 BMI 和第 1 孕期总 IR 是流产的独立危险因素,而 T1DM 中孕期体重增加是巨大儿的独立危险因素。

结论

与 T2DM 相比,T1DM 患者由于整个孕期体重增加,发生巨大儿的风险更高。相比之下,由于孕前 BMI 和第 1 孕期总 IR,T2DM 患者发生自然流产的风险高于 T1DM。

https://cdn.ncbi.nlm.nih.gov/pmc/blobs/77e6/7986522/4b06f657d67d/12884_2021_3702_Fig3_HTML.jpg
https://cdn.ncbi.nlm.nih.gov/pmc/blobs/77e6/7986522/575a2a519eb7/12884_2021_3702_Fig1_HTML.jpg
https://cdn.ncbi.nlm.nih.gov/pmc/blobs/77e6/7986522/abfaae10e9e6/12884_2021_3702_Fig2_HTML.jpg
https://cdn.ncbi.nlm.nih.gov/pmc/blobs/77e6/7986522/4b06f657d67d/12884_2021_3702_Fig3_HTML.jpg
https://cdn.ncbi.nlm.nih.gov/pmc/blobs/77e6/7986522/575a2a519eb7/12884_2021_3702_Fig1_HTML.jpg
https://cdn.ncbi.nlm.nih.gov/pmc/blobs/77e6/7986522/abfaae10e9e6/12884_2021_3702_Fig2_HTML.jpg
https://cdn.ncbi.nlm.nih.gov/pmc/blobs/77e6/7986522/4b06f657d67d/12884_2021_3702_Fig3_HTML.jpg

相似文献

1
Maternal-foetal complications in pregnancy: a retrospective comparison between type 1 and type 2 diabetes mellitus.妊娠的母婴并发症:1 型和 2 型糖尿病的回顾性比较。
BMC Pregnancy Childbirth. 2021 Mar 22;21(1):243. doi: 10.1186/s12884-021-03702-y.
2
Fetal overgrowth in women with type 1 and type 2 diabetes mellitus.1型和2型糖尿病女性的胎儿过度生长。
PLoS One. 2017 Nov 9;12(11):e0187917. doi: 10.1371/journal.pone.0187917. eCollection 2017.
3
Obstetric and perinatal outcomes in pregnancies complicated by diabetes, and control pregnancies, in Kronoberg, Sweden.在瑞典 Kronoberg,患有糖尿病的妊娠和对照妊娠的产科和围产期结局。
BMC Pregnancy Childbirth. 2019 May 7;19(1):159. doi: 10.1186/s12884-019-2269-8.
4
Glycemic control and pregnancy outcomes in women with type 2 diabetes from Poland. The impact of pregnancy planning and a comparison with type 1 diabetes subjects.波兰 2 型糖尿病女性的血糖控制与妊娠结局。妊娠计划的影响及与 1 型糖尿病患者的比较。
Endocrine. 2011 Oct;40(2):243-9. doi: 10.1007/s12020-011-9475-0. Epub 2011 Apr 29.
5
Type 2 diabetes mellitus in pregnancy: The impact of maternal weight and early glycaemic control on outcomes.妊娠合并2型糖尿病:母体体重及早期血糖控制对结局的影响。
Eur J Obstet Gynecol Reprod Biol. 2019 Feb;233:53-57. doi: 10.1016/j.ejogrb.2018.12.008. Epub 2018 Dec 13.
6
Risk of macrosomia remains glucose-dependent in a cohort of women with pregestational type 1 diabetes and good glycemic control.在孕前1型糖尿病且血糖控制良好的一组女性中,巨大儿风险仍然依赖于血糖水平。
Endocrine. 2017 Feb;55(2):447-455. doi: 10.1007/s12020-016-1134-z. Epub 2016 Oct 11.
7
Risk factors for large-for-gestational age infants in pregnant women with type 1 diabetes.1型糖尿病孕妇中大于胎龄儿的危险因素。
BMC Pregnancy Childbirth. 2016 Jul 15;16(1):162. doi: 10.1186/s12884-016-0958-0.
8
Predictors of Large-for-Gestational-Age Birthweight Among Pregnant Women With Type 1 and Type 2 Diabetes: A Retrospective Cohort Study.预测 1 型和 2 型糖尿病孕妇巨大儿出生体重的因素:一项回顾性队列研究。
Can J Diabetes. 2019 Dec;43(8):560-566. doi: 10.1016/j.jcjd.2019.08.015. Epub 2019 Sep 4.
9
Continuous subcutaneous insulin infusion does not correspond with pregnancy outcomes despite better glycemic control as compared to multiple daily injections in type 1 diabetes - Significance of pregnancy planning and prepregnancy HbA1c.与1型糖尿病多次皮下注射相比,持续皮下胰岛素输注尽管能更好地控制血糖,但与妊娠结局并无关联——妊娠计划和孕前糖化血红蛋白的意义。
Diabetes Res Clin Pract. 2021 Feb;172:108628. doi: 10.1016/j.diabres.2020.108628. Epub 2020 Dec 22.
10
Effect of pregnancy on insulin requirements differs between type 1 and type 2 diabetes: A cohort study of 222 pregnancies.妊娠对1型和2型糖尿病胰岛素需求量的影响不同:一项对222例妊娠的队列研究。
Aust N Z J Obstet Gynaecol. 2016 Aug;56(4):352-7. doi: 10.1111/ajo.12446. Epub 2016 Feb 8.

引用本文的文献

1
Pregnancy outcomes in type 2 versus type 1 diabetes: systematic review with meta-analyses.2型糖尿病与1型糖尿病的妊娠结局:系统评价与荟萃分析
Endocr Connect. 2024 Nov 25;13(12). doi: 10.1530/EC-24-0066. Print 2024 Dec 1.
2
Exploring maternal and neonatal outcomes in women with Type-1 Diabetes: A study from Pakistan.探索1型糖尿病女性的母婴结局:一项来自巴基斯坦的研究。
Pak J Med Sci. 2024 Aug;40(7):1349-1354. doi: 10.12669/pjms.40.7.9199.
3
Therapeutic Potential of Thunbergia laurifolia L. Extract in Gestational Diabetes Mellitus: Insights from a Rat Model.

本文引用的文献

1
Gestational diabetes - modern management and therapeutic approach (Review).妊娠期糖尿病——现代管理与治疗方法(综述)
Exp Ther Med. 2021 Jan;21(1):81. doi: 10.3892/etm.2020.9512. Epub 2020 Nov 26.
2
The experiences of pregnant women with gestational diabetes mellitus: a systematic review of qualitative evidence.妊娠期糖尿病孕妇的体验:定性证据的系统评价。
Rev Endocr Metab Disord. 2021 Dec;22(4):777-787. doi: 10.1007/s11154-020-09610-4. Epub 2020 Nov 12.
3
Pregnancy loss is associated with type 2 diabetes: a nationwide case-control study.
山小橘提取物治疗妊娠期糖尿病的潜力:大鼠模型的研究结果。
Chin J Integr Med. 2024 Sep;30(9):788-798. doi: 10.1007/s11655-024-3764-y. Epub 2024 Jun 28.
4
Prematurity and congenital malformations differ according to the type of pregestational diabetes.早产和先天性畸形因孕前糖尿病的类型而异。
BMC Pregnancy Childbirth. 2024 May 2;24(1):335. doi: 10.1186/s12884-024-06470-7.
5
Myoinositol supplementation in the treatment of gestational diabetes mellitus: effects on glycaemic control and maternal-foetal outcomes.肌醇补充治疗妊娠期糖尿病:对血糖控制和母婴结局的影响。
BMC Pregnancy Childbirth. 2022 Jun 26;22(1):516. doi: 10.1186/s12884-022-04852-3.
6
Bone Mass Accrual in First Six Months of Life: Impact of Maternal Diabetes, Infant Adiposity, and Cord Blood Adipokines.生命最初六个月的骨量积累:母体糖尿病、婴儿肥胖和脐血脂肪因子的影响。
Calcif Tissue Int. 2022 Sep;111(3):248-255. doi: 10.1007/s00223-022-00990-0. Epub 2022 May 27.
7
Is Glycated Hemoglobin A1c Level Associated with Adverse Pregnancy Outcomes of Women Affected by Pre-Gestational Diabetes?糖化血红蛋白 A1c 水平与孕前糖尿病女性的不良妊娠结局相关吗?
Medicina (Kaunas). 2021 May 9;57(5):461. doi: 10.3390/medicina57050461.
妊娠丢失与 2 型糖尿病相关:一项全国性病例对照研究。
Diabetologia. 2020 Aug;63(8):1521-1529. doi: 10.1007/s00125-020-05154-z. Epub 2020 May 20.
4
Pregestational diabetes in pregnancy: Complications, management, surveillance, and mechanisms of disease-A review.妊娠前糖尿病:并发症、管理、监测和疾病机制——综述。
Prenat Diagn. 2020 Aug;40(9):1092-1098. doi: 10.1002/pd.5718. Epub 2020 May 23.
5
Risk factors for pregnancy outcomes in Type 1 and Type 2 diabetes.1 型和 2 型糖尿病患者妊娠结局的危险因素。
Intern Med J. 2021 Jan;51(1):78-86. doi: 10.1111/imj.14840.
6
Perinatal outcomes in pregnancies complicated by type 1 diabetes mellitus.妊娠合并 1 型糖尿病的围产结局。
Gynecol Endocrinol. 2020 Oct;36(10):879-884. doi: 10.1080/09513590.2020.1727432. Epub 2020 Feb 19.
7
Evaluation of Glycaemic Control, Glucose Variability and Hypoglycaemia on Long-Term Continuous Subcutaneous Infusion vs. Multiple Daily Injections: Observational Study in Pregnancies With Pre-Existing Type 1 Diabetes.长期持续皮下输注与多次每日注射对血糖控制、血糖变异性及低血糖的影响:对孕前即患1型糖尿病孕妇的观察性研究
Diabetes Ther. 2020 Apr;11(4):845-858. doi: 10.1007/s13300-020-00780-7. Epub 2020 Feb 15.
8
1. Improving Care and Promoting Health in Populations: -.改善人群的医疗服务和促进健康:-。
Diabetes Care. 2020 Jan;43(Suppl 1):S7-S13. doi: 10.2337/dc20-S001.
9
Predictors of Large-for-Gestational-Age Birthweight Among Pregnant Women With Type 1 and Type 2 Diabetes: A Retrospective Cohort Study.预测 1 型和 2 型糖尿病孕妇巨大儿出生体重的因素:一项回顾性队列研究。
Can J Diabetes. 2019 Dec;43(8):560-566. doi: 10.1016/j.jcjd.2019.08.015. Epub 2019 Sep 4.
10
Type 2 Diabetes in Pregnancy.妊娠期 2 型糖尿病。
Endocrinol Metab Clin North Am. 2019 Sep;48(3):511-531. doi: 10.1016/j.ecl.2019.05.009. Epub 2019 Jun 26.