• 文献检索
  • 文档翻译
  • 深度研究
  • 学术资讯
  • Suppr Zotero 插件Zotero 插件
  • 邀请有礼
  • 套餐&价格
  • 历史记录
应用&插件
Suppr Zotero 插件Zotero 插件浏览器插件Mac 客户端Windows 客户端微信小程序
定价
高级版会员购买积分包购买API积分包
服务
文献检索文档翻译深度研究API 文档MCP 服务
关于我们
关于 Suppr公司介绍联系我们用户协议隐私条款
关注我们

Suppr 超能文献

核心技术专利:CN118964589B侵权必究
粤ICP备2023148730 号-1Suppr @ 2026

文献检索

告别复杂PubMed语法,用中文像聊天一样搜索,搜遍4000万医学文献。AI智能推荐,让科研检索更轻松。

立即免费搜索

文件翻译

保留排版,准确专业,支持PDF/Word/PPT等文件格式,支持 12+语言互译。

免费翻译文档

深度研究

AI帮你快速写综述,25分钟生成高质量综述,智能提取关键信息,辅助科研写作。

立即免费体验

一名9岁男孩患赖氨酸尿性蛋白不耐受症,酷似N-乙酰谷氨酸合成酶缺乏症。

Lysinuric protein intolerance mimicking -acetylglutamate synthase deficiency in a nine-year-old boy.

作者信息

Al-Qattan Sarah, Malcolmson Caroline, Mercimek-Andrews Saadet

机构信息

Division of Clinical and Metabolic Genetics, Department of Pediatrics, University of Toronto, The Hospital for Sick Children, Toronto, Ontario, Canada.

Division of Hematology, Department of Pediatrics, University of Toronto, The Hospital for Sick Children, Toronto, Ontario, Canada.

出版信息

Mol Genet Metab Rep. 2021 Mar 13;27:100741. doi: 10.1016/j.ymgmr.2021.100741. eCollection 2021 Jun.

DOI:10.1016/j.ymgmr.2021.100741
PMID:33763330
原文链接:https://pmc.ncbi.nlm.nih.gov/articles/PMC7973239/
Abstract

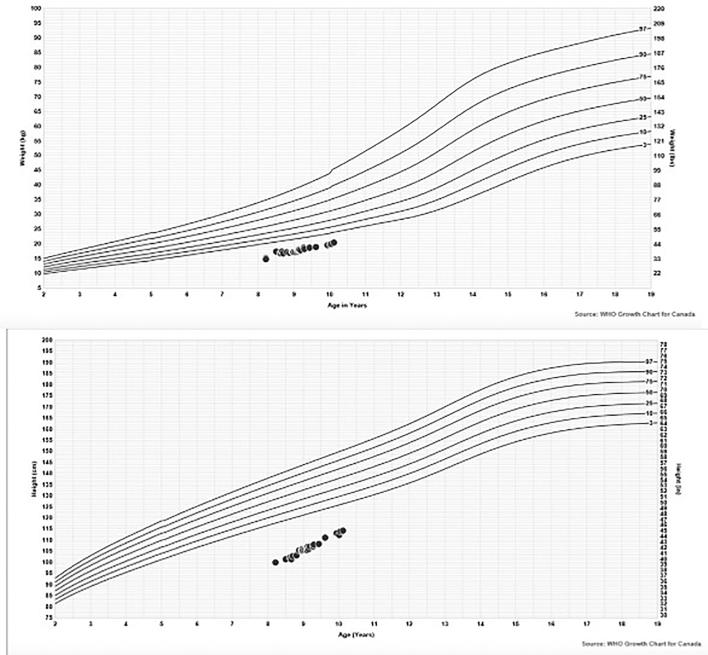
We report a 9-year-old boy with lysinuric protein intolerance (LPI). He had developmental delay, short stature, failure to thrive, high-protein food aversion, hypothyroidism, growth hormone deficiency, features of hemophagocytic lymphohistiocytosis (HLH), decreased bone mineral density and multiple thoracic spine compression fractures on X-ray. LPI was suspected, but urine amino acid profile and normal orotic acid did not suggest biochemical diagnosis of LPI. Targeted next generation sequencing panel for HLH (including ) was organized. Due to elevated glutamine in plasma amino acid analysis, a metabolic consultation was initiated and his asymptomatic post-prandial ammonia was 295 μmol/L. We then suspected -acetylglutamate synthase or carbamoyl-phosphate synthase I deficiency due to marked hyperammonemia, elevated glutamine level, normal orotic acid, and normalization of ammonia at 2 h of carglumic acid (200 mg/kg/d). His targeted next generation sequencing panel for HLH revealed homozygous pathogenic variant in ((NM_001126106.2): c.726G>A (p.Trp242*)) and confirmed the diagnosis of LPI. We emphasize the importance of genetic investigations in the diagnosis of LPI.

摘要

我们报告了一名9岁的赖氨酸尿性蛋白不耐受(LPI)男孩。他有发育迟缓、身材矮小、生长发育不良、对高蛋白食物厌恶、甲状腺功能减退、生长激素缺乏、噬血细胞性淋巴组织细胞增生症(HLH)的特征、骨密度降低以及X线显示多个胸椎压缩性骨折。怀疑为LPI,但尿氨基酸谱及正常乳清酸不支持LPI的生化诊断。于是组织了针对HLH的靶向二代测序 panel(包括……)。由于血浆氨基酸分析中谷氨酰胺升高,启动了代谢会诊,其无症状餐后血氨为295 μmol/L。鉴于显著高氨血症、谷氨酰胺水平升高、乳清酸正常以及服用卡谷氨酸(200 mg/kg/d)2小时后血氨正常,我们随后怀疑是N - 乙酰谷氨酸合酶或氨甲酰磷酸合酶I缺乏。他针对HLH的靶向二代测序panel显示SLC7A7(NM_001126106.2)存在纯合致病性变异:c.726G>A(p.Trp242*),从而确诊为LPI。我们强调基因检测在LPI诊断中的重要性。

https://cdn.ncbi.nlm.nih.gov/pmc/blobs/d29d/7973239/9056eba4679e/gr1.jpg
https://cdn.ncbi.nlm.nih.gov/pmc/blobs/d29d/7973239/9056eba4679e/gr1.jpg
https://cdn.ncbi.nlm.nih.gov/pmc/blobs/d29d/7973239/9056eba4679e/gr1.jpg

相似文献

1
Lysinuric protein intolerance mimicking -acetylglutamate synthase deficiency in a nine-year-old boy.一名9岁男孩患赖氨酸尿性蛋白不耐受症,酷似N-乙酰谷氨酸合成酶缺乏症。
Mol Genet Metab Rep. 2021 Mar 13;27:100741. doi: 10.1016/j.ymgmr.2021.100741. eCollection 2021 Jun.
2
Familial hemophagocytic lymphohistiocytosis syndrome due to lysinuric protein intolerance: a patient with a novel compound heterozygous pathogenic variant in SLC7A7.由于赖氨酸尿蛋白不耐受导致的家族性噬血细胞性淋巴组织细胞增生症:一名携带 SLC7A7 新型复合杂合致病性变异的患者。
Int J Hematol. 2022 Oct;116(4):635-638. doi: 10.1007/s12185-022-03375-z. Epub 2022 May 9.
3
Lysinuric protein intolerance caused by a homozygous deletion and presented with hyperferritinemia and osteoporosis in two siblings.由纯合缺失引起的赖氨酸尿性蛋白不耐受,在两名同胞中表现为高铁蛋白血症和骨质疏松症。
Mol Genet Metab Rep. 2023 Nov 16;37:101022. doi: 10.1016/j.ymgmr.2023.101022. eCollection 2023 Dec.
4
Lysinuric Protein Intolerance Presenting with Multiple Fractures.以多发性骨折为表现的赖氨酸尿性蛋白不耐受症
Mol Genet Metab Rep. 2014;1:176-183. doi: 10.1016/j.ymgmr.2014.03.004.
5
Lysinuric protein intolerance exhibiting renal tubular acidosis/Fanconi syndrome in a Japanese woman.一名日本女性患有的赖氨酸尿性蛋白不耐受症伴肾小管酸中毒/范科尼综合征
JIMD Rep. 2023 Sep 7;64(6):410-416. doi: 10.1002/jmd2.12392. eCollection 2023 Nov.
6
Lysinuric protein intolerance: Pearls to detect this otherwise easily missed diagnosis.赖氨酸尿性蛋白不耐受症:有助于诊断这一易被漏诊疾病的要点。
Transl Sci Rare Dis. 2020 Aug 3;5(1-2):81-86. doi: 10.3233/TRD-190035.
7
The utility of reverse phenotyping: a case of lysinuric protein intolerance presented with childhood osteoporosis.反向表型分析的实用性:一例以儿童骨质疏松为表现的赖氨酸尿蛋白不耐受症。
J Pediatr Endocrinol Metab. 2021 Apr 7;34(7):957-960. doi: 10.1515/jpem-2021-0018. Print 2021 Jul 27.
8
Clinical and genetic features of lysinuric protein intolerance in Japan.日本赖氨酸尿性蛋白不耐受症的临床与遗传特征
Pediatr Int. 2016 Oct;58(10):979-983. doi: 10.1111/ped.12946. Epub 2016 Jun 8.
9
Immune Dysregulation Mimicking Systemic Lupus Erythematosus in a Patient With Lysinuric Protein Intolerance: Case Report and Review of the Literature.赖氨酸尿性蛋白不耐受患者中模仿系统性红斑狼疮的免疫失调:病例报告及文献综述
Front Pediatr. 2021 May 20;9:673957. doi: 10.3389/fped.2021.673957. eCollection 2021.
10
[Clinical features of children with lysinuric protein intolerance and SLC7A7 gene mutation: an analysis of 3 cases].赖氨酸尿性蛋白不耐受症合并SLC7A7基因突变患儿的临床特征:3例分析
Zhongguo Dang Dai Er Ke Za Zhi. 2019 Apr;21(4):375-380. doi: 10.7499/j.issn.1008-8830.2019.04.014.

引用本文的文献

1
A novel variant in a Chinese boy with lysinuric protein intolerance: A case report and literature review.一名患有赖氨酸尿性蛋白不耐受症的中国男孩中的一种新型变异:病例报告及文献综述
Heliyon. 2024 Feb 24;10(5):e27044. doi: 10.1016/j.heliyon.2024.e27044. eCollection 2024 Mar 15.
2
Delayed skeletal development and IGF-1 deficiency in a mouse model of lysinuric protein intolerance.赖氨酸尿蛋白不耐受症小鼠模型中的骨骼发育迟缓及 IGF-1 缺乏
Dis Model Mech. 2023 Aug 1;16(8). doi: 10.1242/dmm.050118. Epub 2023 Aug 17.

本文引用的文献

1
Lysinuric protein intolerance: Pearls to detect this otherwise easily missed diagnosis.赖氨酸尿性蛋白不耐受症:有助于诊断这一易被漏诊疾病的要点。
Transl Sci Rare Dis. 2020 Aug 3;5(1-2):81-86. doi: 10.3233/TRD-190035.
2
CUGC for lysinuric protein intolerance (LPI).赖氨酸尿性蛋白不耐受症(LPI)的瓜氨酸尿症筛查(CUGC)
Eur J Hum Genet. 2020 Aug;28(8):1129-1134. doi: 10.1038/s41431-020-0617-9. Epub 2020 Apr 6.
3
Overview of symptoms and treatment for lysinuric protein intolerance.赖氨酸尿蛋白不耐受症的症状和治疗概述。
J Hum Genet. 2019 Sep;64(9):849-858. doi: 10.1038/s10038-019-0620-6. Epub 2019 Jun 18.
4
Suggested guidelines for the diagnosis and management of urea cycle disorders: First revision.尿素循环障碍的诊断和管理建议指南:第一版修订。
J Inherit Metab Dis. 2019 Nov;42(6):1192-1230. doi: 10.1002/jimd.12100. Epub 2019 May 15.
5
Abnormal coagulation and enhanced fibrinolysis due to lysinuric protein intolerance associates with bleeds and renal impairment.赖氨酸尿蛋白不耐受症导致的异常凝血和纤维蛋白溶解增强与出血和肾功能损害有关。
Haemophilia. 2018 Sep;24(5):e312-e321. doi: 10.1111/hae.13543. Epub 2018 Aug 2.
6
Lysinuric protein intolerance in a family of Mexican ancestry with a novel SLC7A7 gene deletion. Case report and review of the literature.一个具有新型SLC7A7基因缺失的墨西哥裔家族中的赖氨酸尿性蛋白不耐受。病例报告及文献复习。
Mol Genet Metab Rep. 2015 Jan 10;2:47-50. doi: 10.1016/j.ymgmr.2014.12.005. eCollection 2015 Mar.
7
Update on Lysinuric Protein Intolerance, a Multi-faceted Disease Retrospective cohort analysis from birth to adulthood.赖氨酸尿性蛋白不耐受症最新进展:一项从出生到成年的多方面疾病回顾性队列分析
Orphanet J Rare Dis. 2017 Jan 5;12(1):3. doi: 10.1186/s13023-016-0550-8.
8
Lysinuric Protein Intolerance Presenting with Recurrent Hyperammonemic Encephalopathy.以复发性高氨血症性脑病为表现的赖氨酸尿性蛋白不耐受症
Indian Pediatr. 2016 Aug 8;53(8):732-4. doi: 10.1007/s13312-016-0920-2.
9
Clinical and genetic features of lysinuric protein intolerance in Japan.日本赖氨酸尿性蛋白不耐受症的临床与遗传特征
Pediatr Int. 2016 Oct;58(10):979-983. doi: 10.1111/ped.12946. Epub 2016 Jun 8.
10
Erratum to: Growth Hormone Deficiency and Lysinuric Protein Intolerance: Case Report and Review of the Literature.《生长激素缺乏症与赖氨酸尿性蛋白不耐受:病例报告及文献综述》勘误
JIMD Rep. 2015;19:1. doi: 10.1007/8904_2015_433. Epub 2015 Apr 5.